Friction and Wear Properties of Ni3Si Alloy with Ti Addition at High Temperatures
Abstract
:1. Introduction
2. Materials and Methods
3. Results and Discussion
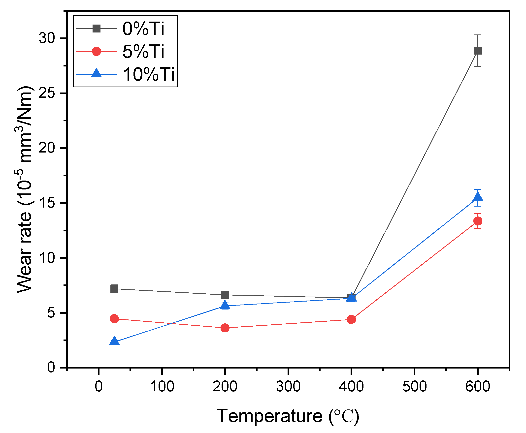
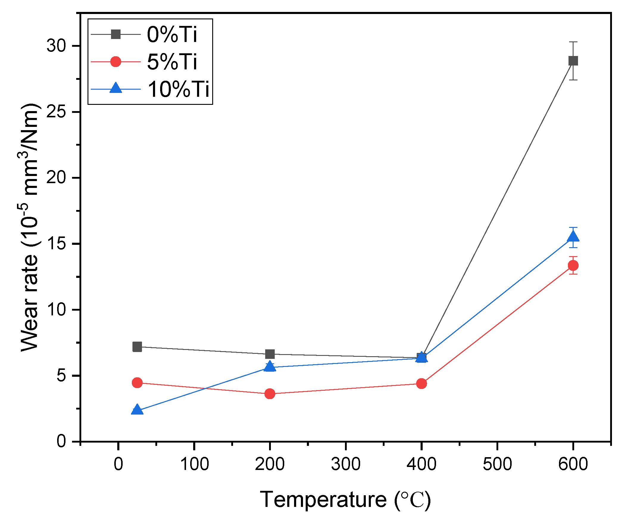
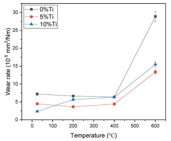
3.1. Tribological Behaviors of the Alloys
3.2. Wear Mechanisms of the Alloys
3.3. Raman Spectrum Analyses of the Alloys
4. Conclusions
- The friction coefficient of Ni3Si alloys showed a declining trend with the increase of temperature. However, the reverse trend was observed between the alloys with Ti addition, and this was due to the different contents of Ti.
- The wear rates of the alloys had a little change in the temperature range of 25–400 °C, but the wear rates increased sharply at 600 °C. There were two reasons for this: First, the yield strength reached a maximum at 400 °C, and then decreased with the increase of temperature; second, the severe oxidation occurred at 600 °C. The Ni3Si alloy with 5% Ti addition showed the best wear resistance at high temperatures as compared to pure Ni3Si alloy and with 10% Ti addition. The wear rates of the tested alloys were in the magnitude of 10−5 mm3/m.
- The wear mechanism of pure Ni3Si alloy was abrasive wear at low temperature, and oxidation wear at high temperature. When the addition of Ti content increased, the wear mechanisms of the alloys changed from abrasive wear to fatigue wear at low temperature, and oxidation wear and fatigue wear at high temperature.
Author Contributions
Funding
Conflicts of Interest
References
- Sukidi, N.; Koch, C.C.; Liu, C.T. The oxidation of Ni3Si-base alloys. Mater. Sci. Eng. A 1995, 191, 223–231. [Google Scholar] [CrossRef]
- Takasugi, T.; Nagashima, M.; Izumi, O. Strengthening and ductilization of Ni3Si by the addition of Ti elements. Acta. Met. Mater. 1990, 38, 747–755. [Google Scholar] [CrossRef]
- Liu, C.T.; George, E.P.; Oliver, W.C. Grain-boundary fracture and boron effect in Ni3Si alloys. Intermetallics 1996, 4, 77–83. [Google Scholar] [CrossRef]
- Pike, L.M.; Liu, C.T. Environmental effects on the tensile properties of two Ni3Si-based alloys. Scr. Mater. 2000, 42, 265–270. [Google Scholar] [CrossRef]
- Dutra, A.T.; Ferrandini, P.L.; Caram, R. Microstructure and mechanical behavior of in situ Ni-Ni3Si composite. J. Alloy. Compd. 2007, 432, 167–171. [Google Scholar] [CrossRef]
- Hsu, J.-H.; Larson, C.M.; Newkirk, J.W.; Brow, R.K.; Zhang, S.-H. The Corrosion Behavior of Ni3(Si,Nb) Alloys in Boiling 70 wt.% Sulfuric Acid. J. Mater. Eng. Perform. 2016, 25, 510–517. [Google Scholar] [CrossRef]
- Wagle, S.; Priyotomo, G.; Kaneno, Y.; Iwase, A.; Takasugi, T.; Nishimura, R. Pitting corrosion of intermetallic compound Ni3(Si,Ti) with 2 at% Mo in sodium chloride solutions. Corros. Sci. 2012, 55, 140–144. [Google Scholar] [CrossRef]
- Priyotomo, G.; Wagle, S.; Okitsu, K.; Iwase, A.; Kaneno, Y.; Nishimura, R.; Takasugi, T. The corrosion behavior of Ni3(Si,Ti) intermetallic compounds with Al, Cr, and Mo in various acidic solutions. Corros. Sci. 2012, 60, 10–17. [Google Scholar] [CrossRef]
- Priyotomo, G.; Okitsu, K.; Iwase, A.; Kaneno, Y.; Nishimura, R.; Takasugi, T. The corrosion behavior of intermetallic compounds Ni3(Si,Ti) and Ni3(Si,Ti) + 2Mo in acidic solutions. Appl. Surf. Sci. 2011, 257, 8268–8274. [Google Scholar] [CrossRef]
- Bi, Q.L.; La, P.Q.; Liu, W.M.; Xue, Q.J.; Ding, Y.T. Microstructure and properties of Ni3Si alloyed with Cr fabricated by self-propagating high-temperature synthesis casting route. Met. Mater. Trans. A 2005, 36, 1301–1307. [Google Scholar] [CrossRef]
- Bi, Q.L.; Liu, W.M.; Ma, J.Q.; Yang, J.; Pu, Y.P.; Xue, Q.J. Tribocorrosion behavior of Ni-17.5Si-29.3Cr alloy in sulfuric acid solution. Tribol. Int. 2009, 42, 1081–1087. [Google Scholar] [CrossRef]
- Bi, Q.L.; Liu, W.M.; Yang, J.; Ma, J.Q.; Xue, Q.J. Tribological properties of Ni-17.5Si-29.3Cr alloy at room and elevated temperatures. Tribol. Int. 2010, 43, 136–143. [Google Scholar] [CrossRef]
- Bi, Q.L.; Liu, W.M.; Yang, J.; Xue, Q.J. Sliding wear of Ni–17.5Si–29.3Cr alloy under water lubrication. Tribol. Lett. 2005, 20, 149–156. [Google Scholar] [CrossRef]
- Niu, M.; Zhang, X.; Chen, J.; Yang, X. Friction and wear properties of Ni3Si alloy under different vacuum conditions. Vacuum 2019, 161, 443–449. [Google Scholar] [CrossRef]
- Niu, M.; Zhang, X.; Tu, F.; Liang, J. The tribological properties of Ni3Si alloys with Ti addition against different counterface materials under seawater condition. Mat. Res. Express 2018, 5, 116533. [Google Scholar] [CrossRef]
- Gui, Y.L.; Song, C.Y.; Yang, L.; Qin, X.L. Microstructure and tribological properties of NiMo/Mo2Ni3Si intermetallic “in-situ” composites. J. Alloy. Compd. 2011, 509, 4987–4991. [Google Scholar]
- Gui, Y.L.; Wang, H.M. Microstructure and dry sliding wear resistance of Moss-toughened Mo2Ni3Si metal silicide alloys. Int. J. Refract. Met. Hard Mater. 2007, 25, 433–439. [Google Scholar] [CrossRef]
- Fang, Y.L.; Wang, H.M. High-temperature sliding wear resistance of a ductile metal-toughened Cr13Ni5Si2 ternary metal silicide alloy. J. Alloy. Compd. 2007, 433, 114–119. [Google Scholar] [CrossRef]
- Wang, H.M.; Cao, F.; Cai, L.X.; Tang, H.B.; Yu, R.L.; Zhang, L.Y. Microstructure and tribological properties of laser clad Ti2Ni3Si/NiTi intermetallic coatings. Acta Mater. 2003, 51, 6319–6327. [Google Scholar] [CrossRef]
- Takasugi, T.; Kawai, H.; Kaneno, Y. The effect of Cr addition on mechanical and chemical properties of Ni3Si alloys. Mater. Sci. Eng. A 2002, 329, 446–454. [Google Scholar] [CrossRef]
- Ohira, K.; Kaneno, Y.; Takasugi, T. Microstructure, mechanical property and oxidation property in Ni3Si-Ni3Ti-Ni3Nb multi-phase intermetallic alloys. Mater. Sci. Eng. A 2005, 399, 332–343. [Google Scholar] [CrossRef]
- Allam, I. Solid lubricants for applications at elevated temperatures. J. Mater. Sci. 1991, 26, 3977–3984. [Google Scholar] [CrossRef]
- Zhu, S.; Cheng, J.; Qiao, Z.; Yang, J. High temperature solid-lubricating materials: A review. Tribol. Int. 2019, 133, 206–223. [Google Scholar] [CrossRef]
- Zhang, X.; Niu, M.; Wu, C.; Chen, J. The effect of titanium addition on the microstructure, mechanical and tribological properties of Ni3Si alloys prepared by powder metallurgy method. Mater. Werkst. 2019, 50, 1537–1544. [Google Scholar] [CrossRef]
- Oliver, W. The development of alloys based on Ni3Si. Mater. Res. Soc. Symp. Proc. 1988, 133, 397–402. [Google Scholar] [CrossRef]
- Stott, F.H.; Lin, D.S.; Wood, G.C. The structure and mechanism of formation of the ’glaze’ oxide layers produced on nickel-based alloys during wear at high temperatures. Corros. Sci. 1973, 13, 449–469. [Google Scholar] [CrossRef]
- Mo, J.L.; Zhu, M.H. Tribological oxidation behaviour of PVD hard coatings. Tribol. Int. 2009, 42, 1758–1764. [Google Scholar] [CrossRef]
- Amanov, A.; Cho, I.-S.; Kim, D.-E.; Pyun, Y.-S. Fretting wear and friction reduction of CP titanium and Ti–6Al–4V alloy by ultrasonic nanocrystalline surface modification. Surf. Coat. Technol. 2012, 207, 135–142. [Google Scholar] [CrossRef]
- McMillan, P. Structural studies of silicate glasses and melts—applications and limitations of Raman spectroscopy. Am. Miner.. 1984, 69, 622–644. [Google Scholar]
- Deschamps, T.; Martinet, C.; Bruneel, J.L.; Champagnon, B. Soda-lime silicate glass under hydrostatic pressure and indentation: a micro-Raman study. J. Phys.: Condens. Matter 2011, 23, 035402. [Google Scholar] [CrossRef]
- Mironova-Ulmane, N.; Kuzmin, A.; Sildos, I.; Pärs, M. Polarisation dependent Raman study of single-crystal nickel oxide. Cent. Eur. J. Phys. 2011, 9, 1096–1099. [Google Scholar] [CrossRef]
- Pérez, P.; González-Carrasco, J.; Adeva, P. Oxidation behavior of a Ni3Al PM alloy. Oxid. Met. 1997, 48, 143–170. [Google Scholar] [CrossRef]
- Robinet, L.; Coupry, C.; Eremin, K.; Hall, C. Raman investigation of the structural changes during alteration of historic glasses by organic pollutants. J. Raman Spectrosc. 2006, 37, 1278–1286. [Google Scholar] [CrossRef]
- Wang, L.; Yu, H.; Wang, S.; Qiao, L.; Sun, D. In-situ XAFS and SERS study of self-healing of passive film on Ti in Hank’s physiological solution. Appl. Surf. Sci. 2019, 496, 143657. [Google Scholar] [CrossRef]
- Wang, Z.; Cheng, L. Structural evolution of CeO2-doped alkali boroaluminosilicate glass and the correlation with physical properties based on a revised structural parameter analysis. Rsc Adv. 2016, 6, 5456–5465. [Google Scholar] [CrossRef]
- Shimizu, M.; Miura, K.; Sakakura, M.; Nishi, M.; Shimotsuma, Y.; Kanehira, S.; Nakaya, T.; Hirao, K. Space-selective phase separation inside a glass by controlling compositional distribution with femtosecond-laser irradiation. Appl. Phys. A 2010, 100, 1001–1005. [Google Scholar] [CrossRef]








© 2020 by the authors. Licensee MDPI, Basel, Switzerland. This article is an open access article distributed under the terms and conditions of the Creative Commons Attribution (CC BY) license (http://creativecommons.org/licenses/by/4.0/).
Share and Cite
Wu, C.; Niu, M.; Bao, S.; Sun, Y.; Zhang, X. Friction and Wear Properties of Ni3Si Alloy with Ti Addition at High Temperatures. Materials 2020, 13, 982. https://doi.org/10.3390/ma13040982
Wu C, Niu M, Bao S, Sun Y, Zhang X. Friction and Wear Properties of Ni3Si Alloy with Ti Addition at High Temperatures. Materials. 2020; 13(4):982. https://doi.org/10.3390/ma13040982
Chicago/Turabian StyleWu, Changyin, Muye Niu, Shuai Bao, Yuhang Sun, and Xinghua Zhang. 2020. "Friction and Wear Properties of Ni3Si Alloy with Ti Addition at High Temperatures" Materials 13, no. 4: 982. https://doi.org/10.3390/ma13040982
APA StyleWu, C., Niu, M., Bao, S., Sun, Y., & Zhang, X. (2020). Friction and Wear Properties of Ni3Si Alloy with Ti Addition at High Temperatures. Materials, 13(4), 982. https://doi.org/10.3390/ma13040982
 
        
