The Influence of Heat Treatment on Low Cycle Fatigue Properties of Selectively Laser Melted 316L Steel
Abstract
1. Introduction
- ‒
- microstructural slipping during loading;
- ‒
- macroscopic plastic behavior;
- ‒
- properties anisotropy;
- ‒
- low ductility of SLM-processed parts,
2. Materials and Methods
2.1. Material
2.2. Additive Manufacturing Process Description
2.3. Heat Treatment
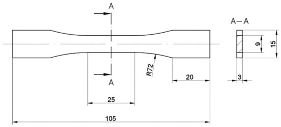
2.4. Low Cycle Fatigue Testing
- N—current number of cycles;
- Nf—number of cycles to failure.
2.5. Microscopical Analysis
3. Results and Discussion
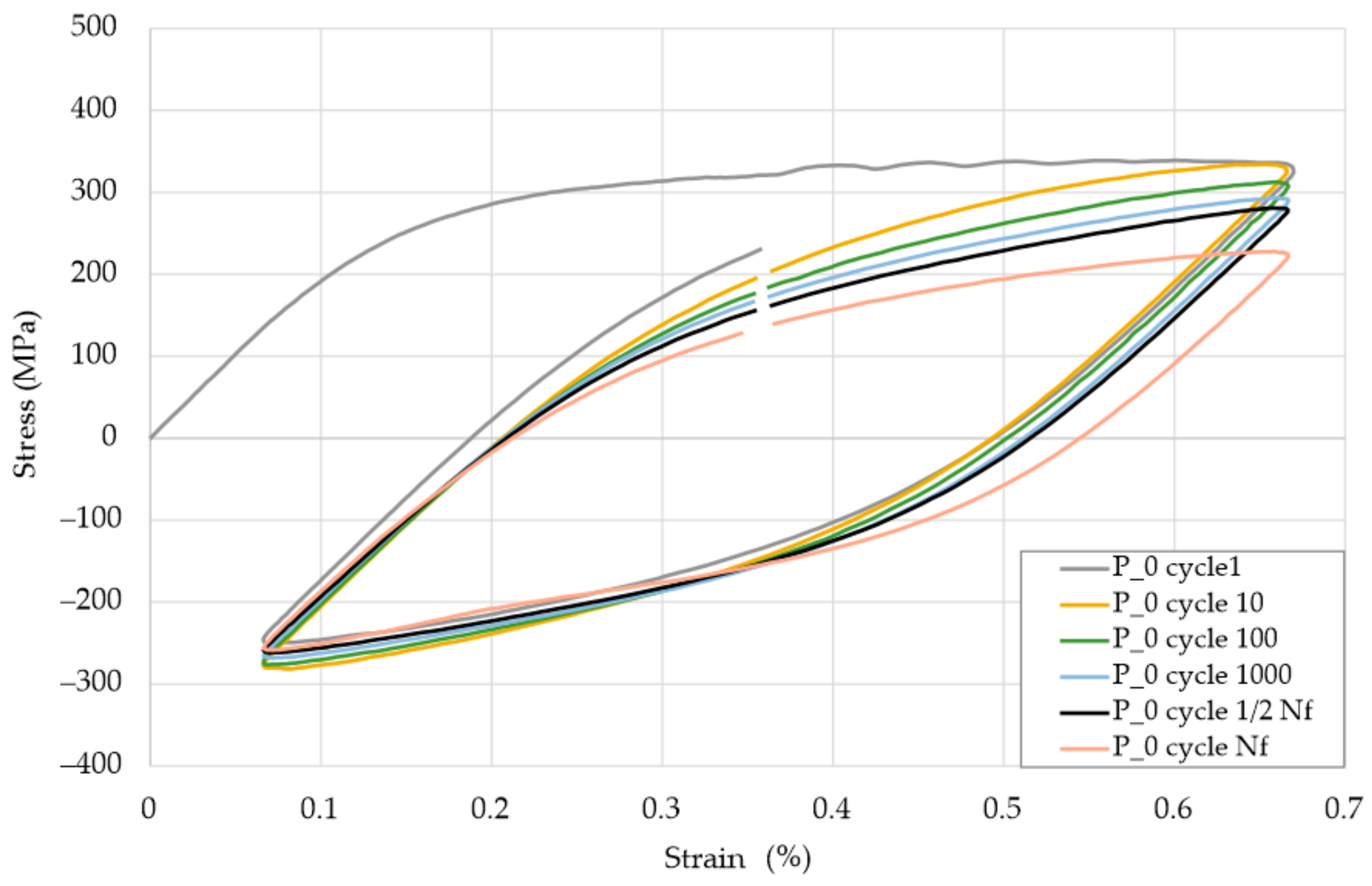
3.1. Low Cycle Fatigue Properties Analysis
- σa—fatigue strength coefficient (MPa);
- εap—fatigue ductility coefficient;
- K′—cyclic strength coefficient;
- n′—cyclic strain hardening exponent.
- —total strain amplitude;
- —elastic strain amplitude;—plastic strain amplitude;
- E—Young’s modulus;
- σ′f—fatigue strength coefficient;
- ε′f—fatigue ductility coefficient;
- b—fatigue strength exponent;
- c—fatigue ductility exponent.
3.2. Fatigue Fractures Analysis
4. Conclusions
- Fatigue life charts created based on the Morrow equation exposed that the strain courses of additively manufactured parts were characterized by a significant share of the plastic component in the process of sample fractures above εac = 0.45%;
- Conventionally made 316L steel (P0) required a lower stress level than additively produced samples, caused by the greater ductility of the conventionally produced material in comparison to AM samples;
- Microfractures analysis showed that the additively manufactured samples were characterized by a more complex morphology than conventionally produced parts. The observed layered structure of as-built samples affected the occurrence of microcracks and multiplanar cracking;
- Additively manufactured material, without any heat treatment, weakened throughout the entire load cycle range. At the same time—conventionally made material (and also additively manufactured after heat treatment) were characterized by a visible stabilization at some cycles range;
- The values of stress amplitude σa versus the number of load reversals showed much smaller changes of stress amplitude in the entire range of load cycle number N than in the case of non-heat-treated samples (less tendency to weakening of the material). In samples S_01H, S_01P, and S_01HP, the cyclic weakening stage is transient;
- The obtained strain courses of additively manufactured parts, including samples subjected to additional heat treatment, indicated a significant share of a plastic component in the process of sample fractures.
Author Contributions
Funding
Conflicts of Interest
References
- Mooney, B.; Kourousis, K.I. A review of factors a ff ecting the mechanical a review of of maraging factors affecting properties of powder bed fusion. Metals 2020, 10, 1273. [Google Scholar] [CrossRef]
- Gu, D.; Chen, H. Selective laser melting of high strength and toughness stainless steel parts: The roles of laser hatch style and part placement strategy. Mater. Sci. Eng. 2018, 725, 419–427. [Google Scholar] [CrossRef]
- Jia, D.; Li, F.; Zhang, Y. 3D-Printing process design of lattice compressor impeller based on residual stress and deformation. Sci. Rep. 2020, 10, 1–11. [Google Scholar] [CrossRef] [PubMed]
- Rokicki, P.; Kozik, B.; Budzik, G.; Dziubek, T.; Bernaczek, J.; Przeszlowski, L.; Markowska, O.; Sobolewski, B.; Rzucidlo, A. Manufacturing of aircraft engine transmission gear with SLS (DMLS) method. Aircr. Eng. Aerosp. Technol. 2016, 88, 397–403. [Google Scholar] [CrossRef]
- Hopkinson, N.; Dickens, P. Rapid prototyping for direct manufacture. Rapid Prototyp. J. 2001, 7, 197–202. [Google Scholar] [CrossRef]
- Malachowski, J.; Damaziak, K.; Platek, P.; Sarzynski, M.; Kupidura, P.; Wozniak, R.; Zahor, M. Numerical and experimental failure analysis of rifle extractor. Eng. Fail. Anal. 2016, 62, 112–127. [Google Scholar] [CrossRef]
- Platek, P.; Damaziak, K.; Malachowski, J.; Kupidura, P.; Wozniak, R.; Zahor, M. Numerical study of modular 5.56 mm standard assault rifle referring to dynamic characteristics. Def. Sci. J. 2015, 65, 431–437. [Google Scholar] [CrossRef]
- Kucewicz, M.; Baranowski, P.; Małachowski, J.; Popławski, A.; Płatek, P. Modelling, and characterization of 3D printed cellular structures. Mater. Des. 2018, 142, 177–189. [Google Scholar] [CrossRef]
- Antolak-Dudka, A.; Płatek, P.; Durejko, T.; Baranowski, P.; Małachowski, J.; Sarzyński, M.; Czujko, T. Static and dynamic loading behavior of Ti6Al4V honeycomb structures manufactured by Laser Engineered Net Shaping (LENSTM) technology. Materials 2019, 12, 1225. [Google Scholar] [CrossRef]
- Kucewicz, M.; Baranowski, P.; Stankiewicz, M.; Konarzewski, M.; Płatek, P.; Małachowski, J. Modelling and testing of 3D printed cellular structures under quasi-static and dynamic conditions. Thin Walled Struct. 2019, 145, 106385. [Google Scholar] [CrossRef]
- Sienkiewicz, J.; Płatek, P.; Jiang, F.; Sun, X.; Rusinek, A. Investigations on the mechanical response of gradient lattice structures manufactured via SLM. Metals 2020, 10, 213. [Google Scholar] [CrossRef]
- Śniezek, L.; Grzelak, K.; Torzewski, J.; Kluczyński, J. Study of the mechanical properties components made by SLM additive technology. In Proceedings of the 11th International Conference on Intelligent Technologies in Logistics and Mechatronics Systems (ITELMS), Panevezys, Lithuania, 28–29 April 2016; pp. 145–153. [Google Scholar]
- Kluczyński, J.; Śnieżek, L.; Kravcov, A.; Grzelak, K.; Svoboda, P.; Szachogłuchowicz, I.; Franek, O.; Morozov, N.; Torzewski, J.; Kubeček, P. The examination of restrained joints created in the process of multi-material FFF additive manufacturing technology. Materials 2020, 13, 903. [Google Scholar] [CrossRef] [PubMed]
- Kluczyński, J.; Śniezek, L.; Grzelak, K.; Mierzyński, J. The influence of exposure energy density on porosity and microhardness of the SLM additive manufactured elements. Materials 2018, 11, 2304. [Google Scholar] [CrossRef]
- Kluczyński, J.; Śniezek, L.; Grzelak, K.; Oziebło, A.; Perkowski, K.; Torzewski, J.; Szachogłuchowicz, I.; Gocman, K.; Wachowski, M.; Kania, B. Comparison of different heat treatment processes of selective laser melted 316L steel based on analysis of mechanical properties. Materials 2020, 13, 3805. [Google Scholar] [CrossRef] [PubMed]
- Kluczyński, J.; Sniezek, L.; Grzelak, K.; Torzewski, J. The influence of layer re-melting on tensile and fatigue strength of selective laser melted 316L steel. In Proceedings of the 12th International Conference on Intelligent Technologies in Logistics and Mechatronics Systems (ITELMS), Panevezys, Lithuania, 26–27 April 2018; pp. 115–123. [Google Scholar]
- Yadollahi, A.; Shamsaei, N.; Thompson, S.M.; Elwany, A.; Bian, L. Effects of building orientation and heat treatment on fatigue behavior of selective laser melted 17-4 PH stainless steel. Int. J. Fatigue 2017, 94, 218–235. [Google Scholar] [CrossRef]
- Lewandowski, J.J.; Seifi, M. Metal additive manufacturing: A review of mechanical properties. Annu. Rev. Mater. Res. 2016, 46, 151–186. [Google Scholar] [CrossRef]
- Leuders, S.; Lieneke, T.; Lammers, S.; Tröster, T.; Niendorf, T. On the fatigue properties of metals manufactured by selective laser melting—The role of ductility. J. Mater. Res. 2014, 29, 1911–1919. [Google Scholar] [CrossRef]
- Zhang, M.; Sun, C.N.; Zhang, X.; Wei, J.; Hardacre, D.; Li, H. High cycle fatigue and ratcheting interaction of laser powder bed fusion stainless steel 316L: Fracture behaviour and stress-based modelling. Int. J. Fatigue 2019, 121, 252–264. [Google Scholar] [CrossRef]
- Riemer, A.; Richard, H.A. Crack propagation in additive manufactured materials and structures. Procedia Struct. Integr. 2016, 2, 1229–1236. [Google Scholar] [CrossRef]
- Kluczyński, J.; Śniezek, L.; Grzelak, K.; Torzewski, J.; Szachogłuchowicz, I.; Wachowski, M.; Łuszczek, J. Crack growth behavior of additively manufactured 316L steel-influence of build orientation and heat treatment. Materials 2020, 13, 3259. [Google Scholar] [CrossRef]
- Nezhadfar, P.D.; Burford, E.; Anderson-Wedge, K.; Zhang, B.; Shao, S.; Daniewicz, S.R.; Shamsaei, N. Fatigue crack growth behavior of additively manufactured 17-4 PH stainless steel: Effects of build orientation and microstructure. Int. J. Fatigue 2019, 123, 168–179. [Google Scholar] [CrossRef]
- Blinn, B.; Ley, M.; Buschhorn, N.; Teutsch, R.; Beck, T. Investigation of the anisotropic fatigue behavior of additively manufactured structures made of AISI 316L with short-time procedures PhyBaL LIT and PhyBaL CHT. Int. J. Fatigue 2019, 124, 389–399. [Google Scholar] [CrossRef]
- Awd, M.; Tenkamp, J.; Hirtler, M.; Siddique, S.; Bambach, M.; Walther, F. Comparison of microstructure and mechanical properties of Scalmalloy® produced by selective laser melting and laser metal deposition. Materials 2017, 11, 17. [Google Scholar] [CrossRef] [PubMed]
- Romano, S.; Patriarca, L.; Foletti, S.; Beretta, S. LCF behaviour and a comprehensive life prediction model for AlSi10Mg obtained by SLM. Int. J. Fatigue 2018, 117, 47–62. [Google Scholar] [CrossRef]
- Bressan, S.; Ogawa, F.; Itoh, T.; Berto, F. Low cycle fatigue behavior of additively manufactured Ti-6Al-4V under non-proportional and proportional loading. Frat. Integrità Strutt. 2019, 13, 18–25. [Google Scholar] [CrossRef]
- Tucho, W.M.; Lysne, V.H.; Austbø, H.; Sjolyst-Kverneland, A.; Hansen, V. Investigation of effects of process parameters on microstructure and hardness of SLM manufactured SS316L. J. Alloy. Compd. 2018, 740, 910–925. [Google Scholar] [CrossRef]
- Andreau, O.; Pessard, E.; Koutiri, I.; Penot, J.D.; Dupuy, C.; Saintier, N.; Peyre, P. A competition between the contour and hatching zones on the high cycle fatigue behaviour of a 316L stainless steel: Analyzed using X-ray computed tomography. Mater. Sci. Eng. 2019, 757, 146–159. [Google Scholar] [CrossRef]
- Shifeng, W.; Shuai, L.; Qingsong, W.; Yan, C.; Sheng, Z.; Yusheng, S. Effect of molten pool boundaries on the mechanical properties of selective laser melting parts. J. Mater. Process. Technol. 2014, 214, 2660–2667. [Google Scholar] [CrossRef]
- Elangeswaran, C.; Cutolo, A.; Muralidharan, G.K.; de Formanoir, C.; Berto, F.; Vanmeensel, K.; Van Hooreweder, B. Effect of post-treatments on the fatigue behaviour of 316L stainless steel manufactured by laser powder bed fusion. Int. J. Fatigue 2019, 123, 31–39. [Google Scholar] [CrossRef]
- Horovistiz, A.L.; de Campos, K.A.; Shibata, S.; Prado, C.C.S.; Hein, L.R. de O. Fractal characterization of brittle fracture in ceramics under mode I stress loading. Mater. Sci. Eng. 2010, 527, 48474850. [Google Scholar] [CrossRef]
- Cabanettes, F.; Joubert, A.; Chardon, G.; Dumas, V.; Rech, J.; Grosjean, C.; Dimkovski, Z. Topography of as built surfaces generated in metal additive manufacturing: A multi scale analysis from form to roughness. Precis. Eng. 2018, 52, 249–265. [Google Scholar] [CrossRef]
- Kluczyński, J.; Śnieżek, L.; Grzelak, K.; Janiszewski, J.; Płatek, P.; Torzewski, J.; Szachogłuchowicz, I.; Gocman, K. Influence of selective laser melting technological parameters on the mechanical properties of additively manufactured elements using 316L austenitic steel. Materials 2020, 13, 1449. [Google Scholar] [CrossRef] [PubMed]
- Wang, D.; Liu, Y.; Yang, Y.; Xiao, D. Theoretical and experimental study on surface roughness of 316L stainless steel metal parts obtained through selective laser melting. Rapid Prototyp. J. 2016, 22, 706–716. [Google Scholar] [CrossRef]
- Lo, K.H.; Shek, C.H.; Lai, J.K.L. Recent developments in stainless steels. Mater. Sci. Eng. Rep. 2009, 65, 39–104. [Google Scholar] [CrossRef]
- ASTM E466 96. Standard Practice for Conducting Force Controlled Constant Amplitude Axial Fatigue Tests of Metallic Materials; ASTM Headquarters: West Conshohocken, PA, USA.
- ASTM Description E 606-80. Standard Recommended Practice for Constant-Amplitude Low-Cycle Fatigue Testing; ASTM Headquarters: West Conshohocken, PA, USA.
- PN-84/H-04334 Low Cycle Fatigue Testing of Metallic Materials; Standards Committee of Poland (PKN): Warsaw, Poland.
- Ho, H.S.; Zhou, W.L.; Li, Y.; Liu, K.K.; Zhang, E. Low-Cycle fatigue behavior of austenitic stainless steels with gradient structured surface layer. Int. J. Fatigue 2020, 134, 105481. [Google Scholar] [CrossRef]

















| C | Cu | Mn | Si | O | P | S | N | Cr | Mo | Ni |
|---|---|---|---|---|---|---|---|---|---|---|
| Weight (%) | ||||||||||
| 0.027 | 0.02 | 0.98 | 0.72 | 0.02 | 0.011 | 0.004 | 0.09 | 17.8 | 2.31 | 12.8 |
| Parameters Set | Laser Power LP (W) | Exposure Velocity ev (mm/s) | Hatching Distanc ehd (mm) | Layer Thickness (mm) | Energy Density ρE (J/mm3) |
|---|---|---|---|---|---|
| S_01 | 190 | 900 | 0.12 | 0.03 | 58.64 |
| S_17 | 180 | 990 | 0.13 | 0.03 | 46.62 |
| S_30 | 120 | 300 | 0.08 | 0.03 | 166.67 |
Publisher’s Note: MDPI stays neutral with regard to jurisdictional claims in published maps and institutional affiliations. |
© 2020 by the authors. Licensee MDPI, Basel, Switzerland. This article is an open access article distributed under the terms and conditions of the Creative Commons Attribution (CC BY) license (http://creativecommons.org/licenses/by/4.0/).
Share and Cite
Kluczyński, J.; Śnieżek, L.; Grzelak, K.; Torzewski, J.; Szachogłuchowicz, I.; Oziębło, A.; Perkowski, K.; Wachowski, M.; Małek, M. The Influence of Heat Treatment on Low Cycle Fatigue Properties of Selectively Laser Melted 316L Steel. Materials 2020, 13, 5737. https://doi.org/10.3390/ma13245737
Kluczyński J, Śnieżek L, Grzelak K, Torzewski J, Szachogłuchowicz I, Oziębło A, Perkowski K, Wachowski M, Małek M. The Influence of Heat Treatment on Low Cycle Fatigue Properties of Selectively Laser Melted 316L Steel. Materials. 2020; 13(24):5737. https://doi.org/10.3390/ma13245737
Chicago/Turabian StyleKluczyński, Janusz, Lucjan Śnieżek, Krzysztof Grzelak, Janusz Torzewski, Ireneusz Szachogłuchowicz, Artur Oziębło, Krzysztof Perkowski, Marcin Wachowski, and Marcin Małek. 2020. "The Influence of Heat Treatment on Low Cycle Fatigue Properties of Selectively Laser Melted 316L Steel" Materials 13, no. 24: 5737. https://doi.org/10.3390/ma13245737
APA StyleKluczyński, J., Śnieżek, L., Grzelak, K., Torzewski, J., Szachogłuchowicz, I., Oziębło, A., Perkowski, K., Wachowski, M., & Małek, M. (2020). The Influence of Heat Treatment on Low Cycle Fatigue Properties of Selectively Laser Melted 316L Steel. Materials, 13(24), 5737. https://doi.org/10.3390/ma13245737

