Multi-Walled Carbon Nanotubes for Magnetic Solid-Phase Extraction of Six Heterocyclic Pesticides in Environmental Water Samples Followed by HPLC-DAD Determination
Abstract
1. Introduction
2. Experimental
2.1. Chemical Reagents and Solutions
2.2. Apparatus
2.3. Preparation of Mag-MWCNTs
2.4. MSPE Process
3. Results and Discussion
3.1. Characterization of the Mag-MWCNTs
3.2. Optimization of MSPE Conditions
3.2.1. Effect of Amount of Mag-MWCNTs
3.2.2. Effect of Extraction Time
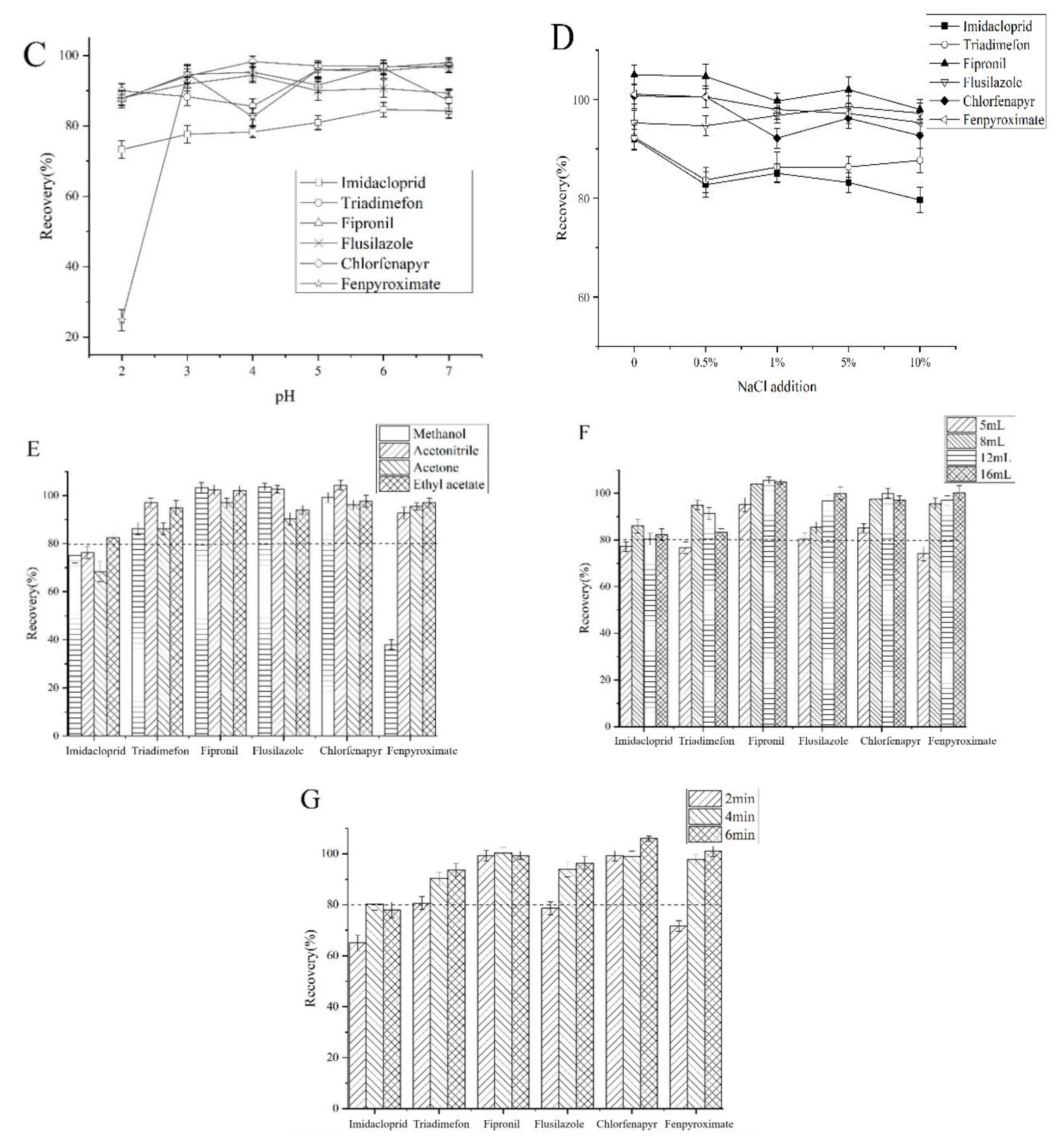
3.2.3. Effect of Solution pH
3.2.4. Effect of Salt Concentration
3.2.5. Effect of Type of Eluent
3.2.6. Effect of Volume of Eluent
3.2.7. Effect of Desorption Time
3.3. Validation of the MSPE-HPLC Method
3.4. Method Application to Real Water Samples
3.5. Method Performance Comparison
4. Conclusions
Author Contributions
Funding
Acknowledgments
Conflicts of Interest
References
- Huijbregts, M.A.J.; Rombouts, L.J.A.; Ragas, A.M.J.; van de Meent, D. Human-toxicological effect and damage factors of carcinogenic and noncarcinogenic chemicals for life cycle impact assessment. Integr. Environ. Assess. Manag. 2005, 1, 181–244. [Google Scholar] [CrossRef]
- Qu, H.R.; Ma, X.; Liu, D.H.; Jing, X.; Wang, F.; Zhou, Z.Q.; Wang, P. The toxicity, bioaccumulation, elimination, conversion of the enantiomers of fipronil in Anodonta woodiana. J. Hazard. Mater. 2016, 312, 169–174. [Google Scholar] [CrossRef]
- Cao, Y.S.; Chen, J.X.; Wang, Y.L.; Liang, J.; Chen, L.H.; Lu, Y.T. HPLC/UV analysis of chlorfenapyr residues in cabbage and soil to study the dynamics of different formulations. Sci. Total Environ. 2005, 350, 38–46. [Google Scholar] [CrossRef]
- Pirsaheb, M.; Fattahi, N.; Pourhaghighat, S.; Shamsipur, M.; Sharafi, K. Simultaneous determination of imidacloprid and diazinon in apple and pear samples using sonication and dispersive liquid–liquid microextraction. LWT Food Sci. Technol. 2015, 60, 825–831. [Google Scholar] [CrossRef]
- Liu, Y.; Zhao, E.; Zhu, W.; Gao, H.X.; Zhou, Z.Q. Determination of four heterocyclic insecticides by ionic liquid dispersive liquid-liquid microextraction in water samples. J. Chromatogr. A 2009, 1216, 885–891. [Google Scholar] [CrossRef]
- Zhang, M.; Bian, K.; Zhou, T.; Song, X.; Liu, Q.; Meng, C.; He, L. Determination of residual fipronil in chicken egg and muscle by LC–MS/MS. J. Chromatogr. B 2016, 1014, 31–36. [Google Scholar] [CrossRef] [PubMed]
- Rahman, M.M.; Choi, J.H.; El-Aty, A.M.A.; Park, J.H.; Park, J.Y.; Im, G.J.; Shim, J.H. Determination of chlorfenapyr in leek grown under greenhouse conditions with GC-μECD and confirmation by mass spectrometry. Biomed. Chromatogr. 2012, 26, 172–177. [Google Scholar] [CrossRef] [PubMed]
- Wu, F.; Lu, W.P.; Chen, J.H.; Liu, W.; Zhang, L. Single-walled carbon nanotubes coated fibers for solid-phase microextraction and gas chromatography-mass spectrometric determination of pesticides in tea samples. Talanta 2010, 82, 1038–1043. [Google Scholar] [CrossRef]
- Zhang, N.; Gao, J.; Huang, C.H.; Liu, W.; Tong, P.; Zhang, L. In situ hydrothermal growth of ZnO/g-C3N4 nanoflowers coated solid-phase microextraction fibers coupled with GC-MS for determination of pesticides residues. Anal. Chim. Acta 2016, 934, 122–131. [Google Scholar] [CrossRef]
- Chu, S.P.; Tseng, W.C.; Kong, P.H.; Huang, C.K.; Chen, J.H.; Chen, P.S.; Huang, S.D. Up-and-down-shaker-assisted dispersive liquid-liquid microextraction coupled with gas chromatography-mass spectrometry for the determination of fungicides in wine. Food Chem. 2015, 185, 377–382. [Google Scholar] [CrossRef]
- Nunez, O.; Moyano, E.; Galceran, M.T. Solid-phase extraction and sample stacking-capillary electrophoresis for the determination of quaternary ammonium herbicides in drinking water. J. Chromatogr. A 2002, 946, 275–282. [Google Scholar] [CrossRef]
- Cappelini, L.T.D.; Cordeiro, D.; Brondi, S.H.G.; Prieo, K.R.; Vieira, E.M. Development of methodology for determination of pesticides residue in water by SPE/HPLC/DAD. Environ. Technol. 2012, 33, 2299–2304. [Google Scholar] [CrossRef] [PubMed]
- Martins, M.L.; Donato, F.F.; Prestes, O.D.; Adaime, M.B.; Zanella, R. Determination of pesticide residues and related compounds in water and industrial effluent by solid-phase extraction and gas chromatography coupled to triple quadrupole mass spectrometry. Anal. Bioanal. Chem. 2013, 405, 7697–7709. [Google Scholar] [CrossRef] [PubMed]
- Ma, J.P.; Lu, X.; Xia, Y.; Yan, F.L. Determination of pyrazole and pyrrole pesticides in environmental water samples by solid-phase extraction using multi-walled carbon nanotubes as adsorbent coupled with high-performance liquid chromatography. J. Chromatogr. Sci. 2015, 53, 380–384. [Google Scholar] [CrossRef]
- Vílchez, J.L.; Prieto, A.; Araujo, L.; Navalón, A. Determination of fipronil by solid-phase microextraction and gas chromatography–mass spectrometry. J. Chromatogr. A 2001, 919, 215–221. [Google Scholar] [CrossRef]
- Yu, H.; Merib, J.; Anderson, J.L. Crosslinked polymeric ionic liquids as solid-phase microextraction sorbent coatings for high performance liquid chromatography. J. Chromatogr. A 2016, 1438, 10–21. [Google Scholar] [CrossRef]
- Tang, T.; Qian, K.; Shi, T.; Wang, F.; Li, J.; Cao, Y. Determination of triazole fungicides in environmental water samples by high performance liquid chromatography with cloud point extraction using polyethylene glycol 600 monooleate. Anal. Chim. Acta 2010, 680, 26–31. [Google Scholar] [CrossRef]
- Šafaříkova, M.; Šafařík, I. Magnetic solid-phase extraction. J. Magn. Magn. Mater. 1999, 194, 108–112. [Google Scholar] [CrossRef]
- Xie, L.J.; Jiang, R.F.; Zhu, F.; Liu, H.; Ouyang, G.F. Application of functionalized magnetic nanoparticles in sample preparation. Anal. Bioanal. Chem. 2014, 406, 377–399. [Google Scholar] [CrossRef]
- Ma, J.P.; Yan, F.L.; Chen, F.X.; Jiang, L.H.; Li, J.H.; Chen, L.X. C18-Functionalized Magnetic Silica Nanoparticles for Solid Phase Extraction of Microcystin-LR in Reservoir Water Samples Followed by HPLC-DAD Determination. J. Liq. Chromatogr. Relat. Technol. 2015, 38, 655–661. [Google Scholar] [CrossRef]
- Zheng, X.; He, L.; Duan, Y.; Jiang, X.; Xiang, G.; Zhao, W.; Zhang, S. Poly (ionic liquid) immobilized magnetic nanoparticles as new adsorbent for extraction and enrichment of organophosphorus pesticides from tea drinks. J. Chromatogr. A 2014, 1358, 39–45. [Google Scholar] [CrossRef] [PubMed]
- Peng, B.; Zhang, J.H.; Lu, R.H.; Zhang, S.B.; Zhou, W.F.; Gao, H.X. Dispersive micro-solid phase extraction based on selfassembling, ionic liquid-coated magnetic particles for the determination of clofentezine and chlorfenapyr in environmental water samples. Analyst 2013, 138, 6834. [Google Scholar] [CrossRef] [PubMed]
- Ma, J.P.; Jiang, L.H.; Wu, G.G.; Xia, Y.; Lu, W.H.; Li, J.H.; Chen, L.X. Determination of six sulfonylurea herbicides in environmental water samples by magnetic solid-phase extraction using multi-walled carbon nanotubes as adsorbents coupled with high-performance liquid chromatography. J. Chromatogr. A 2016, 1466, 12–20. [Google Scholar] [CrossRef] [PubMed]
- Ma, J.P.; Yao, Z.D.; Hou, L.W.; Lu, W.H.; Yang, Q.P.; Li, J.H.; Chen, L.X. Metal organic frameworks (MOFs) for magnetic solid-phase extraction of pyrazole/pyrrole pesticides in environmental water samples followed by HPLC-DAD determination. Talanta 2016, 161, 686–692. [Google Scholar] [CrossRef] [PubMed]
- Wu, X.Q.; Wang, X.Y.; Lu, W.H.; Wang, X.R.; Li, J.H.; You, H.Y.; Xiong, H.; Chen, L.X. Water-compatible temperature and magnetic dual-responsive molecularly imprinted polymers for recognition and extraction of bisphenol A. J. Chromatogr. A 2016, 1435, 30–38. [Google Scholar] [CrossRef] [PubMed]
- Patel, D.K.; Kim, H.B.; Dutta, S.D.; Ganguly, K.; Lim, K.T. Carbon Nanotubes-Based Nanomaterials and Their Agricultural and Biotechnological Applications. Materials 2020, 13, 1679. [Google Scholar] [CrossRef]
- Ma, Z.L.; Wei, A.J.; Ma, J.Z.; Shao, L.; Jiang, H.; Dong, D.D.; Ji, Z.Y.; Wang, Q.; Kang, S.L. Lightweight, compressible and electrically conductive polyurethane sponges coated with synergistic multiwalled carbon nanotubes and graphene for piezoresistive sensors. Nanoscale 2018, 10, 7116–7126. [Google Scholar] [CrossRef]
- Lin, Y.; Wu, S.H.; Yang, C.P.; Chen, M.; Li, X. Preparation of size-controlled silver phosphate catalysts and their enhanced photocatalysis performance via synergetic effect with MWCNTs and PANI. Appl. Catal. B Environ. 2019, 245, 71–86. [Google Scholar] [CrossRef]
- Zhou, Y.Y.; He, Y.Z.; Xiang, Y.J.; Meng, S.J.; Liu, X.C.; Yu, J.F.; Yang, J.; Zhang, J.C.; Qin, P.F.; Luo, L. Single and simultaneous adsorption of pefloxacin and Cu(II) ions from aqueous solutions by oxidized multiwalled carbon nanotube. Sci. Total Environ. 2019, 646, 29–36. [Google Scholar] [CrossRef]
- Ma, J.P.; Xiao, R.H.; Li, J.H.; Yu, J.B.; Zhang, Y.Q.; Chen, L.X. Determination of 16 polycyclic aromatic hydrocarbons in environmental water samples by solid-phase extraction using multi-walled carbon nanotubes as adsorbent coupled with gas chromatography–mass spectrometry. J. Chromatogr. A 2010, 1217, 5462–5469. [Google Scholar] [CrossRef]
- Ding, J.; Gao, Q.; Li, X.S.; Huang, W.; Shi, Z.G.; Feng, Y.Q. Magnetic solid-phase extraction based on magnetic carbon nanotube for the determination of estrogens in milk. J. Sep. Sci. 2011, 34, 2498–2504. [Google Scholar] [CrossRef] [PubMed]
- Luo, Y.B.; Yu, Q.W.; Yuan, B.F.; Feng, Y.Q. Fast microextraction of phthalate acid esters from beverage, environmental water and perfume samples by magnetic multi-walled carbon nanotubes. Talanta 2012, 90, 123–131. [Google Scholar] [CrossRef] [PubMed]
- Rastkari, N.; Ahmadkhaniha, R. Magnetic solid-phase extraction based on magnetic multi-walled carbon nanotubes for the determination of phthalate monoesters in urine samples. J. Chromatogr. A 2013, 1286, 22–28. [Google Scholar] [CrossRef] [PubMed]
- Jalilian, N.; Ebrahimzadeh, H.; Asgharinezhad, A.A. Dispersive micro-solid phase extraction of aromatic amines based on an efficient sorbent made from poly(1,8-diaminonaphtalen) and magnetic multiwalled carbon nanotubes composite. J. Chromatogr. A 2017, 1499, 38–47. [Google Scholar] [CrossRef]
- Wang, Y.; Xie, J.; Wu, Y.; Hu, X.; Yang, C.; Xu, Q. Determination of trace amounts of Se (IV) by hydride generation atomic fluorescence spectrometry after solid-phase extraction using magnetic multi-walled carbon nanotubes. Talanta 2013, 112, 123–128. [Google Scholar] [CrossRef]
- 75/440/EEC. Concerning the Quality Required of Surface Water Intended for the Abstraction of Drinking Water in the Member States (EU); Office for Official Publications of the European Communities: Luxembourg, 1991; p. 72.
- 98/83/EC on the Quality of Water Intended for Human Consumption (EU); Official Journal of the European Communities: Bruxelles, Belgium, 1998; p. 12.
- Li, X.; Chen, J.; He, X.; Wang, Z.; Wu, D.; Zheng, X.; Zheng, L.; Wang, B. Simultaneous determination of neonicotinoids and fipronil and its metabolites in environmental water from coastal bay using disk-based solid-phase extraction and high-performance liquid chromatography–tandem mass spectrometry. Chemosphere 2019, 234, 224–231. [Google Scholar] [CrossRef]








| Pesticides | Regression Equation a | R2 | Linear Range (μg/L) | LODs (μg/L) | LOQs (μg/L) |
|---|---|---|---|---|---|
| Imidacloprid | y = 9.24x + 0.3 | 0.998 | 0.05–10.0 | 0.01 | 0.04 |
| Triadimefon | y = 4.78x + 0.22 | 0.998 | 0.10–10.0 | 0.02 | 0.08 |
| Fipronil | y = 7.98x − 0.75 | 0.998 | 0.10–10.0 | 0.02 | 0.08 |
| Flusilazole | y = 7.45x − 0.46 | 0.999 | 0.10–10.0 | 0.03 | 0.12 |
| Chlorfenapyr | y = 8.01x + 0.02 | 0.998 | 0.05–10.0 | 0.01 | 0.04 |
| Fenpyroximate | y = 6.90x − 0.43 | 0.998 | 0.10–10.0 | 0.03 | 0.12 |
| Pesticides | Spiked (μg/L) | Intra-Day (n = 6) | Inter-Day (n = 6) |
|---|---|---|---|
| Imidacloprid | 0.1 | 2.8 | 8.8 |
| 1.0 | 2.2 | 2.0 | |
| 8.0 | 1.9 | 1.7 | |
| Triadimefon | 0.1 | 8.8 | 8.4 |
| 1.0 | 11.2 | 11.0 | |
| 8.0 | 2.9 | 2.9 | |
| Fipronil | 0.1 | 7.3 | 7.7 |
| 1.0 | 8.6 | 9.7 | |
| 8.0 | 1.8 | 2.2 | |
| Flusilazole | 0.1 | 7.1 | 9.0 |
| 1.0 | 4.8 | 8.3 | |
| 8.0 | 1.1 | 1.8 | |
| Chlorfenapyr | 0.1 | 2.9 | 10.5 |
| 1.0 | 3.8 | 7.2 | |
| 8.0 | 5.6 | 5.1 | |
| Fenpyroximate | 0.1 | 2.0 | 8.2 |
| 1.0 | 2.8 | 3.4 | |
| 8.0 | 2.3 | 2.9 |
| Pesticides | Spiked (µg/L) | Tap Water | River Water | Reservoir Water | |||
|---|---|---|---|---|---|---|---|
| Found (µg/L) | Recovery (%, n = 3) | Found (µg/L) | Recovery (%, n = 3) | Found (µg/L) | Recovery (%, n = 3) | ||
| Imidacloprid | 0 | UD a | UD | UD | |||
| 0.2 | 0.14 | 72.2 ± 11.9 b | 0.16 | 82.6 ± 12.6 | 0.17 | 84.7 ± 4.4 | |
| 1.0 | 0.88 | 86.8 ± 4.7 | 0.81 | 81.2 ± 8.8 | 0.82 | 81.7 ± 10.2 | |
| 8.0 | 6.8 | 85.2 ± 5.4 | 6.61 | 82.7 ± 4.7 | 7.41 | 92.7 ± 1.6 | |
| Triadimefon | 0 | UD | UD | ||||
| 0.2 | 0.16 | 80.1 ± 7.1 | 0.19 | 93.5 ± 9.1 | 0.17 | 83.6 ± 5.0 | |
| 1.0 | 1.05 | 105.0 ± 2.2 | 0.94 | 94.0 ± 3.7 | 0.98 | 98.1 ± 8.3 | |
| 8.0 | 7.89 | 98.7 ± 4.0 | 6.95 | 86.8 ± 2.6 | 7.75 | 96.9 ± 3.5 | |
| Fipronil | 0 | UD | UD | UD | |||
| 0.2 | 0.18 | 93.4 ± 1.6 | 0.16 | 83.5 ± 5.0 | 0.16 | 82.0 ± 9.6 | |
| 1.0 | 0.95 | 95.7 ± 2.8 | 0.83 | 83.7 ± 3.6 | 0.86 | 85.6 ± 4.0 | |
| 8.0 | 8.19 | 102.3 ± 2.5 | 7.95 | 99.4 ± 3.9 | 8.60 | 107.5 ± 3.8 | |
| Flusilazole | 0 | UD | UD | UD | |||
| 0.2 | 0.16 | 79.7 ± 1.83 | 0.16 | 81.7 ± 1.8 | 0.163 | 81.7 ± 3.5 | |
| 1.0 | 0.88 | 88.6 ± 5.5 | 0.81 | 81.1 ± 3.7 | 0.96 | 95.9 ± 4.1 | |
| 8.0 | 7.84 | 98.0 ± 3.2 | 7.45 | 93.1 ± 2.2 | 7.44 | 93.0 ± 4.1 | |
| Chlorfenapyr | 0 | UD | UD | UD | |||
| 0.2 | 0.17 | 85.1 ± 2.1 | 0.17 | 89.2 ± 9.6 | 0.16 | 79.8 ± 4.5 | |
| 1.0 | 1.00 | 100.4 ± 3.7 | 0.90 | 90.1 ± 9.2 | 0.91 | 90.9 ± 2.4 | |
| 8.0 | 8.27 | 103.4 ± 2.4 | 7.94 | 99.2 ± 4.9 | 8.3 | 104.4 ± 2.6 | |
| Fenpyroximate | 0 | UD | UD | UD | |||
| 0.2 | 0.19 | 96.9 ± 2.3 | 0.17 | 98.0 ± 3.5 | 0.18 | 92.3 ± 8.0 | |
| 1.0 | 0.88 | 88.4 ± 1.9 | 0.84 | 84.1 ± 6.0 | 0.92 | 92.5 ± 2.9 | |
| 8.0 | 8.08 | 101.0 ± 2.8 | 7.75 | 96.8 ± 2.4 | 7.58 | 94.7 ± 7.6 | |
| Matrix | Methods | Compounds a | LODs (μg/L) | Pretreatment Time | Reference |
|---|---|---|---|---|---|
| Tap water, underground water | SPME-GC-MS | 1 | 0.08 | 35 min | [15] |
| Reservoir water, sea water | SPE-HPLC-DAD | 4 | 0.008–0.019 | ≈4 h | [13] |
| Tap water, lake water, spring water | DLLME-HPLC-DAD | 4 | 0.53–1.28 | ≈15 min | [5] |
| Tap water, river water | CPE-HPLC-UV | 4 | 0.0068–0.0345 | >15 min | [17] |
| River water | MSPE-HPLC-VW | 2 | 0.4–0.5 | >25 min | [22] |
| Reservoir water, sea water, river water | MSPE-HPLC-DAD | 4 | 0.3–1.5 | >25 min | [24] |
| Seawater and river water | SPE-UPLC-MS/MS | 11 | 0.02–0.1 ng/L | >40 min | [38] |
| Tap water, river water, reservoir water | MSPE-HPLC-DAD | 6 | 0.01–0.03 | ≈25 min | This work |
Publisher’s Note: MDPI stays neutral with regard to jurisdictional claims in published maps and institutional affiliations. |
© 2020 by the authors. Licensee MDPI, Basel, Switzerland. This article is an open access article distributed under the terms and conditions of the Creative Commons Attribution (CC BY) license (http://creativecommons.org/licenses/by/4.0/).
Share and Cite
Ma, J.; Hou, L.; Wu, G.; Wang, L.; Wang, X.; Chen, L. Multi-Walled Carbon Nanotubes for Magnetic Solid-Phase Extraction of Six Heterocyclic Pesticides in Environmental Water Samples Followed by HPLC-DAD Determination. Materials 2020, 13, 5729. https://doi.org/10.3390/ma13245729
Ma J, Hou L, Wu G, Wang L, Wang X, Chen L. Multi-Walled Carbon Nanotubes for Magnetic Solid-Phase Extraction of Six Heterocyclic Pesticides in Environmental Water Samples Followed by HPLC-DAD Determination. Materials. 2020; 13(24):5729. https://doi.org/10.3390/ma13245729
Chicago/Turabian StyleMa, Jiping, Liwei Hou, Gege Wu, Liyan Wang, Xiaoyan Wang, and Lingxin Chen. 2020. "Multi-Walled Carbon Nanotubes for Magnetic Solid-Phase Extraction of Six Heterocyclic Pesticides in Environmental Water Samples Followed by HPLC-DAD Determination" Materials 13, no. 24: 5729. https://doi.org/10.3390/ma13245729
APA StyleMa, J., Hou, L., Wu, G., Wang, L., Wang, X., & Chen, L. (2020). Multi-Walled Carbon Nanotubes for Magnetic Solid-Phase Extraction of Six Heterocyclic Pesticides in Environmental Water Samples Followed by HPLC-DAD Determination. Materials, 13(24), 5729. https://doi.org/10.3390/ma13245729

