Comparison of Drying Shrinkage of Concrete Specimens Recycled Heavyweight Waste Glass and Steel Slag as Aggregate
Abstract
1. Introduction
2. Materials and Methods
2.1. Materials
2.1.1. Binder
2.1.2. Coarse Aggregate
2.1.3. Heavyweight Waste Glass
2.1.4. Steel Slag
2.2. Test Variables and Mix Proportions
2.3. Test Method
2.3.1. Experimental Setup for the Properties of Fresh Concrete
2.3.2. Experimental Setup for the Compressive Strength and Elastic Modulus
2.3.3. Experimental Setup for the Drying Shrinkage Test
3. Results
3.1. Fundamental Properties
3.1.1. Slump and Air Content of Concrete with Steel Slag and Heavyweight Waste Glass
3.1.2. Compressive Strength and Elastic Modulus of Concrete with Steel Slag and Heavyweight Waste Glass
3.2. Drying Shrinkage
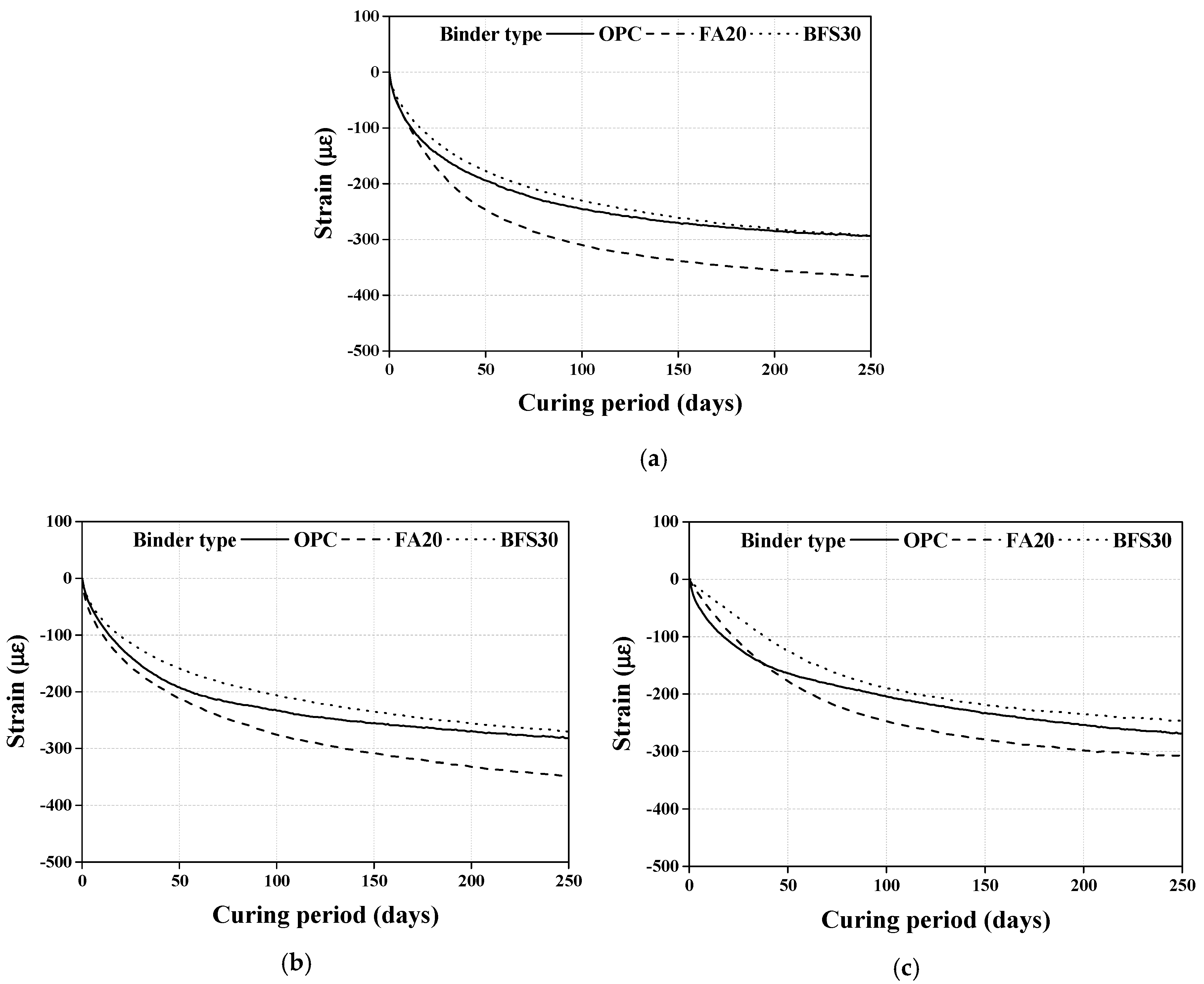
3.2.1. Test Results of Drying Shrinkage
3.2.2. Comparison with Prediction Models of Drying Shrinkage
3.2.3. Investigation of Effects of Model Parameters in Drying Shrinkage
4. Conclusions
- (1)
- When steel slag is used as the coarse aggregate in concrete, drying shrinkage decreases with the increase in the substitution ratio of steel slag, since it is affected more by the higher density than the higher water absorption of steel slag. Thus, steel slag can be used to reduce drying shrinkage in concrete.
- (2)
- The existing prediction models do not effectively predict the drying shrinkage that is affected by the properties of the aggregate, and need to be corrected for concrete using steel slag as the coarse aggregate and heavyweight waste glass as the fine aggregate.
- (3)
- The B3 model best predicts the drying shrinkage because it reflects various material properties such as moisture content, compressive strength and binder content. In contrast, the GL 2000 model predicted distinctly different results compared to the other prediction models.
- (4)
- When steel slag is replaced as the coarse aggregate of concrete, the elasticity modulus can be improved, due to the high density of steel slag, by approximately 14.7–42.3%, as compared to a substitution ratio of 0%.
- (5)
- Conclusively, to effectively predict the drying shrinkage of concrete specimens using industrial waste aggregates, a correction of the existing prediction model is required.
Author Contributions
Funding
Conflicts of Interest
References
- Mehta, P.K.; Monterio, P.J.M. Concrete: Microstructure, Properties, and Materials; MC Graw-Hill: New York, NY, USA, 2014. [Google Scholar]
- De Brito, J.; Ferreira, J.; Pacheco, J.; Soares, D.; Guerreiro, M. Structural, material, mechanical and durability properties and behaviour of recycled aggregates concrete. J. Build. Eng. 2016, 6, 1–16. [Google Scholar] [CrossRef]
- Sadati, S.; Khayat, K.H. Restrained shrinkage cracking of recycled aggregate concrete. Mater. Struct. 2017, 50, 206. [Google Scholar] [CrossRef]
- Sormunen, P.; Kärki, T. Recycled construction and demolition waste as a possible source of materials for composite manufacturing. J. Build. Eng. 2019, 24, 100742. [Google Scholar] [CrossRef]
- Alawais, A.; West, R.P. Ultra-violet and chemical treatment of crumb rubber aggregate in a sustainable concrete mix. J. Struct. Integr. Maint. 2019, 4, 144–152. [Google Scholar] [CrossRef]
- Velay-Lizancos, M.; Martinez-Lage, I.; Vazquez-Burgo, P. The effect of recycled aggregates on the accuracy of the maturity method on vibrated and self-compacting concretes. Arch. Civ. Mech. Eng. 2019, 19, 311–321. [Google Scholar] [CrossRef]
- Disfani, M.M.; Arulrajah, A.; Bo, M.W.; Hankour, R. Recycled crushed glass in road work applications. Waste Manag. 2011, 31, 2341–2351. [Google Scholar] [CrossRef]
- Choi, S.Y.; Choi, Y.S.; Yang, E.I. Effects of heavy weight waste glass recycled as fine aggregate on the mechanical properties of mortar specimens. Ann. Nucl. Energy 2017, 99, 372–382. [Google Scholar] [CrossRef]
- Tan, K.H.; Du, H. Use of waste glass as sand in mortar: Part I—Fresh, mechanical and durability properties. Cem. Concr. Compos. 2013, 35, 109–117. [Google Scholar] [CrossRef]
- Shi, C.; Zheng, K. A review on the use of waste glasses in the production of cement and concrete. Resour. Conserv. Recycl. 2007, 52, 234–247. [Google Scholar] [CrossRef]
- Wang, H.Y. A study of the effects of LCD glass sand on the properties of concrete. Waste Manag. 2009, 29, 335–341. [Google Scholar] [CrossRef]
- Choi, S.-Y.; Choi, Y.-S.; Won, M.-S.; Yang, E.-I. Evaluation on the Applicability of Heavy Weight Waste Glass as Fine Aggregate of Shielding Concrete. J. Korea Inst. Struct. Maint. Insp. 2015, 19, 101–108. [Google Scholar] [CrossRef]
- Kim, Y.-M.; Choi, S.-Y.; Kim, I.-S.; Yang, E.-I. A study on the Mechanical Properties of Concrete using Electronic Waste as Fine Aggregate. J. Korea Inst. Struct. Maint. Insp. 2018, 22, 90–97. [Google Scholar] [CrossRef]
- De Castro, S.; de Brito, J. Evaluation of the durability of concrete made with crushed glass aggregates. J. Clean. Prod. 2013, 41, 7–14. [Google Scholar] [CrossRef]
- Ling, T.C.; Poon, C.S. Development of a method for recycling of CRT funnel glass. Env. Technol. 2012, 33, 2531–2537. [Google Scholar] [CrossRef]
- Lee, H.-S.; Lim, H.-S.; Ismail, M.A. Quantitative evaluation of free CaO in electric furnace slag using the ethylene glycol method. Constr. Build. Mater. 2017, 131, 676–681. [Google Scholar] [CrossRef]
- Mo, L.; Yang, S.; Huang, B.; Xu, L.; Feng, S.; Deng, M. Preparation, microstructure and property of carbonated artificial steel slag aggregate used in concrete. Cem. Concr. Compos. 2020, 113, 103715. [Google Scholar] [CrossRef]
- Liu, J.; Yu, B.; Wang, Q. Application of steel slag in cement treated aggregate base course. J. Clean. Prod. 2020, 269, 121733. [Google Scholar] [CrossRef]
- Hou, J.; Lv, Y.; Liu, J.; Wu, Q. Expansibility of cement paste with tri-component f-CaO in steel slag. Mater. Struct. 2018, 51, 113. [Google Scholar] [CrossRef]
- JIS A 5015. Iron and Steel Slag for Road Construction; Japanese Standards Association: Tokyo, Japan, 2018. [Google Scholar]
- Wang, W.C. Feasibility of stabilizing expanding property of furnace slag by autoclave method. Constr. Build. Mater. 2014, 68, 552–557. [Google Scholar] [CrossRef]
- Lim, H.S.; Lee, H.S. Experimental Study on Evaluation on Volume Stability of the Electric Arc Furnace Oxidizing Slag Aggregate. J. Korea Inst. Struct. Maint. Insp. 2017, 21, 78–86. [Google Scholar] [CrossRef]
- Yoo, J.H.; Choi, J.J. A Study on the Residual Expansibility of Electric Arc Furnace Slag Aggregate. J. Korean Recycl. Constr. Resour. Inst. 2006, 2, 128–135. [Google Scholar]
- Chylík, R.; Fládr, J.; Bílý, P.; Trtík, T.; Vráblík, L. An analysis of the applicability of existing shrinkage prediction models to concretes containing steel fibres or crumb rubber. J. Build. Eng. 2019, 24, 100729. [Google Scholar] [CrossRef]
- Shokoohfar, A.; Rahai, A. Prediction model of long-term prestress loss interaction for prestressed concrete containment vessels. Arch. Civ. Mech. Eng. 2017, 17, 132–144. [Google Scholar] [CrossRef]
- Choi, S.Y.; Choi, Y.S.; Yang, E.I. Characteristics of volume change and heavy metal leaching in mortar specimens recycled heavyweight waste glass as fine aggregate. Constr. Build. Mater. 2018, 165, 424–433. [Google Scholar] [CrossRef]
- Kim, I.S.; Choi, S.Y.; Yang, E.I. Evaluation of durability of concrete substituted heavyweight waste glass as fine aggregate. Constr. Build. Mater. 2018, 184, 269–277. [Google Scholar] [CrossRef]
- Kou, S.C.; Poon, C.S. Properties of self-compacting concrete prepared with recycled glass aggregate. Cem. Concr. Compos. 2009, 31, 107–113. [Google Scholar] [CrossRef]
- Ling, T.C.; Poon, C.S. Utilization of recycled glass derived from cathode ray tube glass as fine aggregate in cement mortar. J. Hazard. Mater. 2011, 192, 451–456. [Google Scholar] [CrossRef]
- ASTM C127. Standard Test Method for Relative Density (Specific Gravity) and Absorption of Coarse Aggregate; ASTM International: West Conshohocken, PA, USA, 2015. [Google Scholar]
- ASTM C136. Standard Test Method for Sieve Analysis of Fine and Coarse Aggregates; ASTM International: West Conshohocken, PA, USA, 2019. [Google Scholar]
- ASTM C128. Standard Test Method for Relative Density (Specific Gravity) and Absorption of Fine Aggregate; ASTM International: West Conshohocken, PA, USA, 2015. [Google Scholar]
- KS F 2527. Concrete Aggregate; Korean Standards Association: Seoul, Korea, 2018. [Google Scholar]
- ASTM C143. Standard Test Method for Slump of Hydraulic-Cement Concrete; ASTM International: West Conshohocken, PA, USA, 2019. [Google Scholar]
- ASTM C231. Standard Test Method for Air Content of Freshly Mixed Concrete by the Pressure Method; ASTM International: West Conshohocken, PA, USA, 2017. [Google Scholar]
- ASTM C39. Standard Test Method for Compressive Strength of Cylindrical Concrete Specimens; ASTM International: West Conshohocken, PA, USA, 2020. [Google Scholar]
- ASTM C469. Standard Test Method for Static Modulus of Elasticity and Poisson’s Ratio of Concrete in Compression; ASTM International: West Conshohocken, PA, USA, 2014. [Google Scholar]
- ASTM C157. Standard Test Method for Length Change of Hardened Hydraulic-Cement Mortar and Concrete; ASTM International: West Conshohocken, PA, USA, 2017. [Google Scholar]
- Wongkeo, W.; Thongsanitgarn, P.; Chaipanich, A. Compressive strength and drying shrinkage of fly ash-bottom ash-silica fume multi-blended cement mortars. Mater. Des. (1980–2015) 2012, 36, 655–662. [Google Scholar] [CrossRef]
- Rao, G.A. Long-term drying shrinkage of mortar-influence of silica fume andsize of fine aggregate. Cem. Concr. Res. 2001, 31, 171–175. [Google Scholar] [CrossRef]
- Silva, R.V.; de Brito, J.; Dhir, R.K. Prediction of the shrinkage behavior of recycled aggregate concrete: A review. Constr. Build. Mater. 2015, 77, 327–339. [Google Scholar] [CrossRef]
- ACI-209R. Prediction of Creep, Shrinkage, and Temperature Effects in Concrete Structures; American Concrete Institute ACI: Detroit, MI, USA, 1992. [Google Scholar]
- Narayanan, R.S.; Beeby, A.W. Designers’ Guide to EN 1992-1-1 and EN 1992-1-2. Eurocode 2: Design of Concrete Structures: General Rules and Rules for Buildings and Structural Fire Design; Thomas Telford: Telford, UK, 2005. [Google Scholar]
- Bazant, Z.P.; Murphy, W.P. Creep and shrinkage prediction model for analysis and desing of concrete structures-model B3. Mater. Struct. 1995, 28, 357–365. [Google Scholar]
- Lockman, M.J.; Gardner, N.J. Design Provisions for Drying Shrinkage and Creep of Normal-Strength Concrete. Mater. J. 2001, 98, 159–167. [Google Scholar]










| Binder | OPC | FA | BFS | |
|---|---|---|---|---|
| Properties | ||||
| Physical | Specific gravity | 3.15 | 2.19 | 2.92 |
| Blaine (cm2/g) | 3200 | 3200 | 6300 | |
| Chemical (%) | SiO2 | 21.36 | 51.74 | 33.54 |
| Al2O3 | 5.03 | 21.47 | 15.22 | |
| Fe2O3 | 3.31 | 3.16 | 0.51 | |
| CaO | 63.18 | 1.10 | 43.88 | |
| MgO | 2.89 | - | 2.62 | |
| SO3 | 2.30 | - | 2.54 | |
| LOI | 1.40 | 2.56 | 0.01 |
| Type | Density (g/cm3) | Absorption (%) | Fineness Modulus |
|---|---|---|---|
| Coarse | 2.68 | 0.97 | 7.01 |
| Heavyweight waste glass | 3.00 | 0.00 | 3.34 |
| Product | Type 1 | Type 2 | Type 3 | Type 4 | Avg. | |
|---|---|---|---|---|---|---|
| Properties | ||||||
| Physical | Specific gravity | 3.0 | ||||
| Fineness Modulus | 3.34 | |||||
| Chemical (%) | Fe2O3 | 49.9 | 40.3 | 40.3 | 42.0 | 43.1 |
| PbO | 15.1 | 12.7 | 12.7 | 12.8 | 13.3 | |
| Cr2O3 | 16.7 | 14.4 | 14.4 | 14.4 | 15.0 | |
| SiO2 | 9.6 | 20.4 | 20.4 | 18.7 | 17.3 | |
| K2O | 1.8 | 2.8 | 2.7 | 2.6 | 2.5 | |
| Other | 6.8 | 9.4 | 9.5 | 9.5 | 8.8 | |
| Type | Standard | Specification Value | Test Results | Standard Deviation |
|---|---|---|---|---|
| Property of immersion expansion | JIS A 5015 [20] | Below 2% | 0.07% | ±0.01% |
| Density | KS F 2527 [33] | 3.1 g/cm3 and above | 3.65 | ±0.03 g/cm3 |
| Unit weight volume | KS F 2527 [33] | 1.6 g/cm3 and above | 2.2 | ±0.01 g/cm3 |
| Absorption ratio | KS F 2527 [33] | Below 2% | 2.05% | ±0.01% |
| Type | CaO | MgO | FeO |
|---|---|---|---|
| Specification (KS F 2527) value (%) | Below 40 | Below 10 | Below 50 |
| Test results (%) | 24.4 | 0.5 | 51.5 |
| Items | Contents |
|---|---|
| W/B ratio | 45% |
| Mineral admixture (replacement ratio) | FA (20%), BFS (30%) |
| Heavyweight waste glass substitution ratio | 100 (%) |
| Steel slag substitution ratio | 0, 50, 100 (%) |
| Fresh concrete | Slump, Air contents |
| Specimen size | Ø100 mm × 200 mm (Compressive strength test, Elastic modulus test) |
| 100 mm × 100 mm × 400 mm (drying shrinkage) | |
| Curing condition | Water curing (20 ± 3 °C) |
| Specimen ID | W/B (%) | S.R * | Unit Weight (kg/m3) | Additives (Binder × %) | |||||||
|---|---|---|---|---|---|---|---|---|---|---|---|
| Water | Cement | H.G ** | G *** | S.S **** | FA | BFS | AE Agent | S.P. | |||
| 45OPC-0 | 45 | 0 | 170 | 378 | 851 | 1008 | - | - | - | 0.02 | 0.5 |
| 45OPC-50 | 45 | 50 | 170 | 378 | 851 | 504 | 686 | - | - | 0.02 | 0.5 |
| 45OPC-100 | 45 | 100 | 170 | 378 | 851 | - | 1373 | - | - | 0.02 | 0.5 |
| 45FA20-0 | 45 | 0 | 170 | 302 | 838 | 992 | - | 76 | - | 0.02 | 0.5 |
| 45FA20-50 | 45 | 50 | 170 | 302 | 838 | 496 | 676 | 76 | - | 0.02 | 0.5 |
| 45FA20-100 | 45 | 100 | 170 | 302 | 838 | - | 1351 | 76 | - | 0.02 | 0.5 |
| 45BFS30-0 | 45 | 0 | 170 | 265 | 848 | 1004 | - | - | 113 | 0.02 | 0.5 |
| 45BFS30-50 | 45 | 50 | 170 | 265 | 848 | 502 | 684 | - | 113 | 0.02 | 0.5 |
| 45BFS30-100 | 45 | 100 | 170 | 265 | 848 | - | 1367 | - | 113 | 0.02 | 0.5 |
| Factors | ACI 209 | EC 2 | KCI 2012 | B3 | GL2000 | ||
|---|---|---|---|---|---|---|---|
| Concrete composition | Binder | Grade, blain, and type | |||||
| Content | - | Content | - | ||||
| Aggregate | Content | - | S/C | - | |||
| Water | - | Content | - | ||||
| Properties of concrete | Slump | Compressive strength | |||||
| Air contents | - | Elastic modulus | |||||
| Geometry | Size and shape | Volume–surface ratio | Notional size of cross section | Volume–surface ratio | |||
| Time | Initial Curing | Condition (moist or steam) | |||||
| Temperature | |||||||
| After loading | Exposed to drying (age when drying begins) | ||||||
| Age of concrete | |||||||
| Moisture | Relative humidity | ||||||
Publisher’s Note: MDPI stays neutral with regard to jurisdictional claims in published maps and institutional affiliations. |
© 2020 by the authors. Licensee MDPI, Basel, Switzerland. This article is an open access article distributed under the terms and conditions of the Creative Commons Attribution (CC BY) license (http://creativecommons.org/licenses/by/4.0/).
Share and Cite
Choi, S.Y.; Kim, I.S.; Yang, E.I. Comparison of Drying Shrinkage of Concrete Specimens Recycled Heavyweight Waste Glass and Steel Slag as Aggregate. Materials 2020, 13, 5084. https://doi.org/10.3390/ma13225084
Choi SY, Kim IS, Yang EI. Comparison of Drying Shrinkage of Concrete Specimens Recycled Heavyweight Waste Glass and Steel Slag as Aggregate. Materials. 2020; 13(22):5084. https://doi.org/10.3390/ma13225084
Chicago/Turabian StyleChoi, So Yeong, Il Sun Kim, and Eun Ik Yang. 2020. "Comparison of Drying Shrinkage of Concrete Specimens Recycled Heavyweight Waste Glass and Steel Slag as Aggregate" Materials 13, no. 22: 5084. https://doi.org/10.3390/ma13225084
APA StyleChoi, S. Y., Kim, I. S., & Yang, E. I. (2020). Comparison of Drying Shrinkage of Concrete Specimens Recycled Heavyweight Waste Glass and Steel Slag as Aggregate. Materials, 13(22), 5084. https://doi.org/10.3390/ma13225084

