Enhanced Thermal Conductivity and Dielectric Properties of h-BN/LDPE Composites
Abstract
1. Introduction
2. Materials and Methods
2.1. Materials and Reagents
2.2. Sample Preparation
2.3. Characterization
3. Results
3.1. Structure and Characterization
3.2. Thermal Conductivity Test
3.3. Dielectric Properties
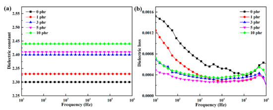
3.3.1. Permittivity and Loss Tangent
3.3.2. Space Charge Test
3.3.3. DC Breakdown Strength Test
4. Conclusions
Author Contributions
Funding
Conflicts of Interest
References
- Yu, J.; Huo, R.; Wu, C.; Wu, X.; Wang, G.; Jiang, P. Influence of interface structure on dielectric properties of epoxy/alumina nanocomposites. Macromol. Res. 2012, 20, 816–826. [Google Scholar] [CrossRef]
- Zhou, X.; Lu, X.; Liu, Y.; Chen, S. Development models and key technologies of future grid in China. Proc. CSEE 2014, 34, 4999–5008. [Google Scholar]
- Lee, K.Y.; Kim, K.Y.; Han, W.Y.; Park, D.H. Thermal, Electrical Characteristics and Morphology of Poly (Ethylene-Co-Ethyl Acrylate)/CNT Nano-composites. IEEE Trans. Dielectr. Electr. Insul. 2008, 15, 205–213. [Google Scholar] [CrossRef]
- Feng, C.; Wan, S.; Wu, W.; Bai, L.; Bao, R.; Liu, Z.; Yang, M.; Chen, J.; Yang, W. Electrically insulating, layer structured SiR/GNPs/BN thermal management materials with enhanced thermal conductivity and breakdown voltage. Compos. Sci. Technol. 2018, 167, 456–462. [Google Scholar] [CrossRef]
- Wu, J.; Yin, Y.; Lan, L.; Wang, Q.; Li, X.; Xiao, D. Effect of nano-filling concentration on space charge behavior in LDPE / Silica nanocomposite media. Proc. CSEE 2012, 28, 177–183. [Google Scholar]
- Feng, C.; Bai, L.; Shao, Y.; Bao, R.; Liu, Z.; Yang, M.; Chen, J.; Ni, H.; Yang, W. A Facile Route to Fabricate Highly Anisotropic Thermally Conductive Elastomeric POE/NG Composites for Thermal Management. Adv. Mater. Interfaces 2017, 5, 1700946. [Google Scholar] [CrossRef]
- Nagao, M.; Kimura, T.; Mizuno, Y.; Kosaki, M.; Ieda, M. Detection of Joule Heating before Dielectric Break-down in Polyethylene Films. IEEE Trans. Electr. Insul. 1990, 25, 715–722. [Google Scholar] [CrossRef]
- Wang, J.; Yi, X. Effects of interfacial thermal barrier resistance and particle shape and size on the thermal conductivity of AlN/PI composites. Compos. Sci. Technol. 2004, 64, 1623–1628. [Google Scholar]
- Gu, J.; Yang, X.; Lv, Z.; Li, N.; Liang, C.; Zhang, Q. Functionalized graphite nanoplatelets/epoxy resin nano-composites with high thermal conductivity. Int. J. Heat Mass Transf. 2016, 92, 15–22. [Google Scholar] [CrossRef]
- Zhu, B.L.; Ma, J.; Wu, J.; Yung, K.C.; Xie, C.S. Study on the properties of the epoxy-matrix composites filled with thermally conductive AlN and h-BN ceramic particles. J. Appl. Polym. Sci. 2010, 118, 2754–2764. [Google Scholar] [CrossRef]
- Zhang, D.; Zha, J.; Li, C.; Li, W.; Wang, S.; Wen, Y.; Dang, Z. High thermal conductivity and excellent electrical insulation performance in double-percolated three-phase polymer nanocomposites. Compos. Sci. Technol. 2017, 144, 36–42. [Google Scholar] [CrossRef]
- Du, B.X.; Xu, H. Effects of thermal conductivity on DC resistance to erosion of silicone rubber/h-BN nanocomposites. IEEE Trans. Dielectr. Electr. Insul. 2014, 21, 511–518. [Google Scholar] [CrossRef]
- Zha, J.W.; Zhu, Y.; Li, W.; Bai, J.; Dang, Z. Low dielectric permittivity and high thermal conductivity silicone rubber composites with micro-nano-sized particles. Appl. Phys. Lett. 2012, 101, 062905. [Google Scholar] [CrossRef]
- Blasé, X.; Rubio, A.; Louie, S.G.; Cohen, M.L. Stability and Band Gap Constancy of Boron Nitride Nanotubes. Europhys. Lett. 1994, 28, 335–340. [Google Scholar] [CrossRef]
- Young, A.F.; Dean, C.R.; Meric, I.; Sorgenfrei, S.; Ren, H.; Watanabe, K.; Taniguchi, T.; Hone, J.; Shepard, K.L.; Kim, P. Electronic compressibility of layer-polarized bilayer graphene. Phys. Rev. B 2012, 85, 235458. [Google Scholar] [CrossRef]
- Suzuoki, Y.; Cai, G.; Mizutani, T.; Ieda, M. TSC Study on Interfacial Phenomena in PE (Polyethylene)-EVA (Ethylene-vinylacetate Copolymer) Laminated Films. Jpn. J. Appl. Phys. 1982, 21, 1759–1761. [Google Scholar] [CrossRef]
- Kim, K.; Kim, M.; Kim, J. Enhancement of the thermal and mechanical propertyes of a surface-modifed boron nitride-polyurethane composite. Polym. Adv. Technol. 2014, 25, 791–798. [Google Scholar] [CrossRef]
- Huang, X.; Jiang, P.; Tanaka, T. A review of dielectric polymer composites with high thermal conductivity. IEEE Electr. Insul. Mag. 2011, 27, 8–16. [Google Scholar] [CrossRef]
- Takahashi, S.; Imai, Y.; Kan, A.; Hotta, Y.; Ogawa, H. Dielectric and thermal properties of isotactic polypropy-lene/hexagonal boron nitride composites for high-frequency applications. J. Alloys Compd. 2014, 615, 141–145. [Google Scholar] [CrossRef]
- Huang, X.; Jiang, P.; Yin, Y. Nanoparticle surface modification induced space charge suppression in linear low density polyethylene. Appl. Phys. Lett. 2009, 95, 1546. [Google Scholar] [CrossRef]
- Lan, L.; Wu, J.; Yin, Y.; Li, X.; Li, Z. Effect of temperature on space charge trapping and conduction in cross-linked polyethylene. IEEE Trans. Dielectr. Electr. Insul. 2014, 21, 1784–1791. [Google Scholar] [CrossRef]
- Roy, L.S.; Segur, P.; Teyssedre, G.; Laurent, C. Description of bipolar charge transport in polyethylene using a fluid model with a constant mobility: Model prediction. J. Phys. D Appl. Phys. 2004, 37, 298–305. [Google Scholar] [CrossRef]
- Li, S.T.; Min, D.; Wang, W. Modelling of dielectric breakdown through charge dynamics for polymer nano-composites. IEEE Trans. Dielectr. Electr. Insul. 2017, 23, 3476–3485. [Google Scholar] [CrossRef]
- Wang, Q.; Li, Z.; Yin, Y. Thermal conductivity and breakdown strength study of micro/nano-alumina/epoxy resin composite. Insul. Mater. 2013, 46, 49–52. [Google Scholar]
- Zhao, H.; Yan, Z.; Yang, J.; Zheng, C.; Wang, X.; Han, B. Two-phase interface and its charging behavior in polyethylene nanocomposite. High Volt. Eng. 2017, 43, 2425–2432. [Google Scholar]
- Tanaka, T.; Kozako, M.; Fuse, N.; Ohki, Y. Proposal of a multi-core model for polymer nanocomposite dielectrics. IEEE Trans. Dielectr. Electr. Insul. 2005, 12, 669–681. [Google Scholar] [CrossRef]
- Liu, S.; Tian, F.; Wang, Y.; Yi, L. Study on electrical insulation properties of polyimide based h-BN nano-composites. Insul. Mater. 2017, 50, 24–29. [Google Scholar]









| Sample | Weibull Parameter | |
|---|---|---|
| β | E0 | |
| LDPE | 8.29 | 298.2 |
| 1 phr h-BN/LDPE | 8.99 | 313.0 |
| 3 phr h-BN/LDPE | 8.82 | 340.7 |
| 5 phr h-BN/LDPE | 9.24 | 246.6 |
| 10 phr h-BN/LDPE | 5.56 | 225.4 |
Publisher’s Note: MDPI stays neutral with regard to jurisdictional claims in published maps and institutional affiliations. |
© 2020 by the authors. Licensee MDPI, Basel, Switzerland. This article is an open access article distributed under the terms and conditions of the Creative Commons Attribution (CC BY) license (http://creativecommons.org/licenses/by/4.0/).
Share and Cite
He, L.; Zeng, J.; Huang, Y.; Yang, X.; Li, D.; Chen, Y.; Yang, X.; Wang, D.; Zhang, Y.; Fu, Z. Enhanced Thermal Conductivity and Dielectric Properties of h-BN/LDPE Composites. Materials 2020, 13, 4738. https://doi.org/10.3390/ma13214738
He L, Zeng J, Huang Y, Yang X, Li D, Chen Y, Yang X, Wang D, Zhang Y, Fu Z. Enhanced Thermal Conductivity and Dielectric Properties of h-BN/LDPE Composites. Materials. 2020; 13(21):4738. https://doi.org/10.3390/ma13214738
Chicago/Turabian StyleHe, Lijuan, Junji Zeng, Yuewu Huang, Xiong Yang, Dawei Li, Yu Chen, Xiangyu Yang, Dongbo Wang, Yunxiao Zhang, and Zhendong Fu. 2020. "Enhanced Thermal Conductivity and Dielectric Properties of h-BN/LDPE Composites" Materials 13, no. 21: 4738. https://doi.org/10.3390/ma13214738
APA StyleHe, L., Zeng, J., Huang, Y., Yang, X., Li, D., Chen, Y., Yang, X., Wang, D., Zhang, Y., & Fu, Z. (2020). Enhanced Thermal Conductivity and Dielectric Properties of h-BN/LDPE Composites. Materials, 13(21), 4738. https://doi.org/10.3390/ma13214738

