Experimental Measurements of Mechanical Properties of PUR Foam Used for Testing Medical Devices and Instruments Depending on Temperature, Density and Strain Rate
Abstract
1. Introduction
2. Materials and Methods
2.1. Materials
2.2. Surface Roughness Measurement
2.3. Thermogravimetric Analysis
2.4. Tension Tests
2.5. Compression Tests
3. Results
3.1. Surface Roughness Measurement
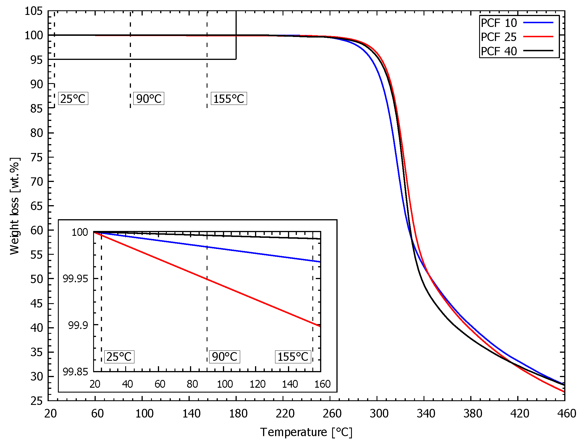
3.2. Thermogravimetric Analysis
3.3. Tension Tests
3.4. Compression Tests
4. Discussion
5. Conclusions
Author Contributions
Funding
Conflicts of Interest
References
- Gama, N.; Ferreira, A.; Barros-Timmons, A. Polyurethane Foams: Past, Present, and Future. Materials 2018, 11, 1841. [Google Scholar] [CrossRef]
- Harith, I.K. Study on polyurethane foamed concrete for use in structural applications. Case Stud. Constr. Mater. 2018, 8, 79–86. [Google Scholar] [CrossRef]
- Wu, H.; Shu, Y.; Liu, Y. Engineering Performance of Polyurethane Bonded Aggregates. Mat. Sci. 2017, 23, 166–172. [Google Scholar] [CrossRef]
- Kumar, A.; Gupta, R. Fundamentals of Polymer Engineering, 3rd ed.; CRC Press: Boca Raton, FL, USA, 2018. [Google Scholar]
- Weil, E.; Levchik, S. Commercial Flame Retardancy of Polyurethanes. J. Fire Sci. 2004, 22, 183–210. [Google Scholar] [CrossRef]
- Nunes, R.; Fonseca, J.; Pereira, M. Polymer-filler Interactions and Mechanical properties of a polyurethane elastomer. Polymer Test. 2000, 19, 93–103. [Google Scholar] [CrossRef]
- Hatakeyama, H.; Matsumura, H.; Hatakeyama, T. Glass transition and thermal degradation of rigid polyurethane foams derived from castor oil-molasses polyols. J. Therm. Anal. Calorim. 2013, 111, 1545–1552. [Google Scholar] [CrossRef]
- Hollensteiner, M.; Esterer, B.; Furst, D.; Schrempf, A.; Augat, P. Development of open-cell polyurethane-based bone surrogates for biomechanical testing of pedicle screws. J. Mech. Behav. Biomed. 2019, 97, 247–253. [Google Scholar] [CrossRef]
- Oroszlany, A.; Nagy, P.; Kovacs, J.G. Compressive Properties of Commercially Available PVC Foams Intended for Use as Mechanical Models for Human Cancellous Bone. Acta Polytech. Hung. 2015, 12, 89–101. [Google Scholar]
- Amirouche, F.; Solitro, G.F.; Magnan, B.P. Stability and Spine Pedicle Screws Fixation Strength—A Comparative Study of Bone Density and Insertion Angle. Spine Def. 2016, 4, 261–267. [Google Scholar] [CrossRef]
- Er, M.S.; Altinel, L.; Eroglu, M.; Verim, O.; Demir, T.; Atmaca, H. Suture anchor fixation strength with or without augmentation in osteopenic and severely osteoporotic bones in rotator cuff repair: A biomechanical study on polyurethane foam model. J. Orthop. Surg. Res. 2014, 48, 247–253. [Google Scholar] [CrossRef][Green Version]
- Nowak, B. Experimental study on the loosening of pedicle screws implanted to synthetic bone vertebra models and under non-pull-out mechanical loads. J. Mech. Behav. Biomed. 2019, 98, 200–204. [Google Scholar] [CrossRef] [PubMed]
- Alam, K. Experimental measurements of temperatures in drilling cortical bone using thermocouples. Sci. Iran. Trans. B 2015, 22, 487–492. [Google Scholar]
- Bogovic, A.; Svete, A.; Rupnik, K.; Bajsic, I. Experimental analysis of the temperature rise during the simulation of an implant drilling process using experimental designs. Measurement 2015, 63, 221–231. [Google Scholar] [CrossRef]
- Cseke, A.; Heinemann, R. The effects of cutting parameters on cutting forces and heat generation when drilling animal bone and biomechanical test materials. Measurement 2018, 51, 24–30. [Google Scholar] [CrossRef] [PubMed]
- Formela, K.; Hejna, A.; Zedler, L.; Przybysz, M.; Ryl, J.; Saeb, M.R.; Piszczyk, L. Structural, thermal and physico-mechanical properties of polyurethane brewers spent grain composite foams modified with ground tire rubber. Ind. Crop. Prod. 2017, 108, 844–852. [Google Scholar] [CrossRef]
- Zhang, M.; Pan, H.; Zhang, L.; Hu, L.; Zhou, Y. Study of the mechanical, thermal properties and flame retardancy of ofrigid polyurethane foams prepared from modified castor-oil-basedpolyols. Ind. Crop. Prod. 2014, 59, 1595–1599. [Google Scholar] [CrossRef]
- Chen, W.; Lu, F.; Winfree, N. High-strain-rate Compressive Behavior of a Rigid Polyurethane Foam with Various Densities. Exp. Mech. 2002, 42, 65–73. [Google Scholar] [CrossRef]
- Linul, E.; Marsavina, L.; Voiconi, T.; Sadowski, T. Study of factors influencing the mechanical properties of polyurethane foams under dynamic compression. J. Phys. Conf. Ser. 2013, 451, 012002. [Google Scholar] [CrossRef]
- Mane, J.V.; Chandra, S.; Sharma, S.; Ali, H.; Chavan, V.M.; Manjunath, B.S.; Patel, R.J. Mechanical Property Evaluation of Polyurethane Foam under Quasi-static and Dynamic Strain Rates- An Experimental Study. Procedia Eng. 2017, 173, 726–731. [Google Scholar] [CrossRef]
- Burgaz, E.; Kendirlioglu, C. Thermomechanical behavior and thermal stability of polyurethane rigid nanocomposite foams containing binary nanoparticle mixtures. Polym. Test. 2019, 77, 105930. [Google Scholar] [CrossRef]
- Wu, N.; Niu, F.; Lang, W.; Yu, J.; Fu, G. Synthesis of reactive phenylphosphoryl glycol ether oligomer and improved flame retardancy and mechanical property of modified rigid polyurethane foams. Mat. Des. 2019, 181, 107929. [Google Scholar] [CrossRef]
- Jin, H.; Lu, W.Y.; Scheffel, S.; Hinnerichs, T.D.; Neilsen, M.K. Full-field characterization of mechanical behavior of polyurethane foams. Int. J. Solids. Struct. 2007, 44, 6930–6944. [Google Scholar] [CrossRef][Green Version]
- Liow, S.S.; Lipik, V.T.; Widjaja, L.K.; Venkatraman, S.S.; Abadie, M.J. Enhancing mechanical properties of thermoplastic polyurethane elastomers with 1,3-trimethylene carbonate, epsilon-caprolactone and L-lactide copolymers via soft segment crystallization. Express Polym. Lett. 2011, 5, 897–910. [Google Scholar] [CrossRef]
- Oh, J.H.; Bae, J.H.; Kim, J.H.; Lee, C.S.; Lee, J.M. Effects of Kevlar pulp on the enhancement of cryogenic mechanical properties of polyurethane foam. Polym. Test. 2019, 80, 106093. [Google Scholar] [CrossRef]
- Koumlis, S.; Lamberson, L. Strain Rate Dependent Compressive Response of Open Cell Polyurethane Foam. Exp. Mech. 2019, 59, 1087–1103. [Google Scholar] [CrossRef]
- Li, P.; Guo, Y.B.; Zhou, M.W.; Shim, V.P. Response of anisotropic polyurethane foam to compression at different loading angles and strain rates. Int. J. Impact. Eng. 2019, 127, 154–168. [Google Scholar] [CrossRef]
- Saint-Michel, F.; Chazeau, L.; Cavaille, J.Y.; Chabert, E. Mechanical properties of high density polyurethane foams: I. Effect of the density. Compos. Sci. Technol. 2006, 66, 2700–2708. [Google Scholar] [CrossRef]
- Qiu, D.; He, Y.; Yu, Z. Investigation on Compression Mechanical Properties of Rigid Polyurethane Foam Treated under Random Vibration Condition: An Experimental and Numerical Simulation Study. Materials 2019, 12, 3385. [Google Scholar] [CrossRef]
- Demirel, S.; Tuna, B.E. Evaluation of the cyclic fatigue performance of polyurethane foam in different density and category. Polym. Test. 2019, 76, 146–153. [Google Scholar] [CrossRef]
- Johnson, A.; Keller, T. Mechanical properties of open-cell foam synthetic thoracic vertebrae. J. Mater. Sci. Mater. Med. 2008, 19, 1317–1323. [Google Scholar] [CrossRef]
- Center, J.; Nguyen, T.; Pocock, N.; Eisman, J. Volumetric Bone Density at the Femoral Neck as a Common Measure of Hip Fracture Risk for Men and Women. J. Clin. Endocrinol. Metab. 2004, 89, 2776–2782. [Google Scholar] [CrossRef] [PubMed]
- Lowell, S.; Shields, J.; Thomas, M.; Thommes, M. Characterization of Porous Solids and Powders: Surface Area, Pore Size and Density; Springer Science and Business Media: New York, NY, USA, 2012. [Google Scholar]
- Saha, M.; Kabir, M.; Jeelani, S. Enhancement in thermal and mechanical properties of polyurethane foam infused with nanoparticles. Mat. Sci. Eng. A Struct. 2008, 479, 213–222. [Google Scholar] [CrossRef]
Publisher’s Note: MDPI stays neutral with regard to jurisdictional claims in published maps and institutional affiliations. |




| Sample | Density (PCF) | Density (g/cm3) | Volume Fraction | Shore D Harness |
|---|---|---|---|---|
| PCF 10 | 10 | 0.16 | 0.14 | 15 |
| PCF 25 | 25 | 0.40 | 0.34 | 43 |
| PCF 40 | 40 | 0.64 | 0.54 | 65 |
| Density | (μm) | (μm) | (μm) |
|---|---|---|---|
| PCF 10 | |||
| PCF 25 | |||
| PCF 40 |
| Density | Weight Loss (wt.%) at Temperature (°C) | ||
|---|---|---|---|
| 25 °C | 90 °C | 155 °C | |
| PCF 10 | |||
| PCF 25 | |||
| PCF 40 | |||
| Sample | 25 °C | 90 °C | 155 °C | |||
|---|---|---|---|---|---|---|
| Tensile Modulus (MPa) | Tensile Strength (MPa) | Tensile Modulus (MPa) | Tensile Strength (MPa) | Tensile Modulus (MPa) | Tensile Strength (MPa) | |
| Strain Rate 4.5 mm/min at Temperature (°C) | ||||||
| PCF 10 | ||||||
| PCF 25 | ||||||
| PCF 40 | ||||||
| Strain Rate 45 mm/min at Temperature (°C) | ||||||
| PCF 10 | ||||||
| PCF 25 | ||||||
| PCF 40 | ||||||
| Sample | 25 °C | 90 °C | 155 °C | |||
|---|---|---|---|---|---|---|
| Compressive Modulus (MPa) | Compressive Strength (MPa) | Compressive Modulus (MPa) | Compressive Strength (MPa) | Compressive Modulus (MPa) | Compressive Strength (MPa) | |
| Strain Rate 4.5 mm/min at Temperature (°C) | ||||||
| PCF 10 | ||||||
| PCF 25 | ||||||
| PCF 40 | ||||||
| Strain Rate 45 mm/min at Temperature (°C) | ||||||
| PCF 10 | ||||||
| PCF 25 | ||||||
| PCF 40 | ||||||
© 2020 by the authors. Licensee MDPI, Basel, Switzerland. This article is an open access article distributed under the terms and conditions of the Creative Commons Attribution (CC BY) license (http://creativecommons.org/licenses/by/4.0/).
Share and Cite
Horak, Z.; Dvorak, K.; Zarybnicka, L.; Vojackova, H.; Dvorakova, J.; Vilimek, M. Experimental Measurements of Mechanical Properties of PUR Foam Used for Testing Medical Devices and Instruments Depending on Temperature, Density and Strain Rate. Materials 2020, 13, 4560. https://doi.org/10.3390/ma13204560
Horak Z, Dvorak K, Zarybnicka L, Vojackova H, Dvorakova J, Vilimek M. Experimental Measurements of Mechanical Properties of PUR Foam Used for Testing Medical Devices and Instruments Depending on Temperature, Density and Strain Rate. Materials. 2020; 13(20):4560. https://doi.org/10.3390/ma13204560
Chicago/Turabian StyleHorak, Zdenek, Karel Dvorak, Lucie Zarybnicka, Hana Vojackova, Jana Dvorakova, and Miloslav Vilimek. 2020. "Experimental Measurements of Mechanical Properties of PUR Foam Used for Testing Medical Devices and Instruments Depending on Temperature, Density and Strain Rate" Materials 13, no. 20: 4560. https://doi.org/10.3390/ma13204560
APA StyleHorak, Z., Dvorak, K., Zarybnicka, L., Vojackova, H., Dvorakova, J., & Vilimek, M. (2020). Experimental Measurements of Mechanical Properties of PUR Foam Used for Testing Medical Devices and Instruments Depending on Temperature, Density and Strain Rate. Materials, 13(20), 4560. https://doi.org/10.3390/ma13204560

