Investigation of the Critical Behavior, Magnetocaloric Effect and Hyperfine Structure in the Fe72Nb8B20 Powders
Abstract
1. Introduction
2. Experimental Details
3. Results and Discussions
3.1. Hyperfine Structure
3.2. Thermal Analysis
3.3. Magnetic Properties
3.4. Magnetocaloric Effect
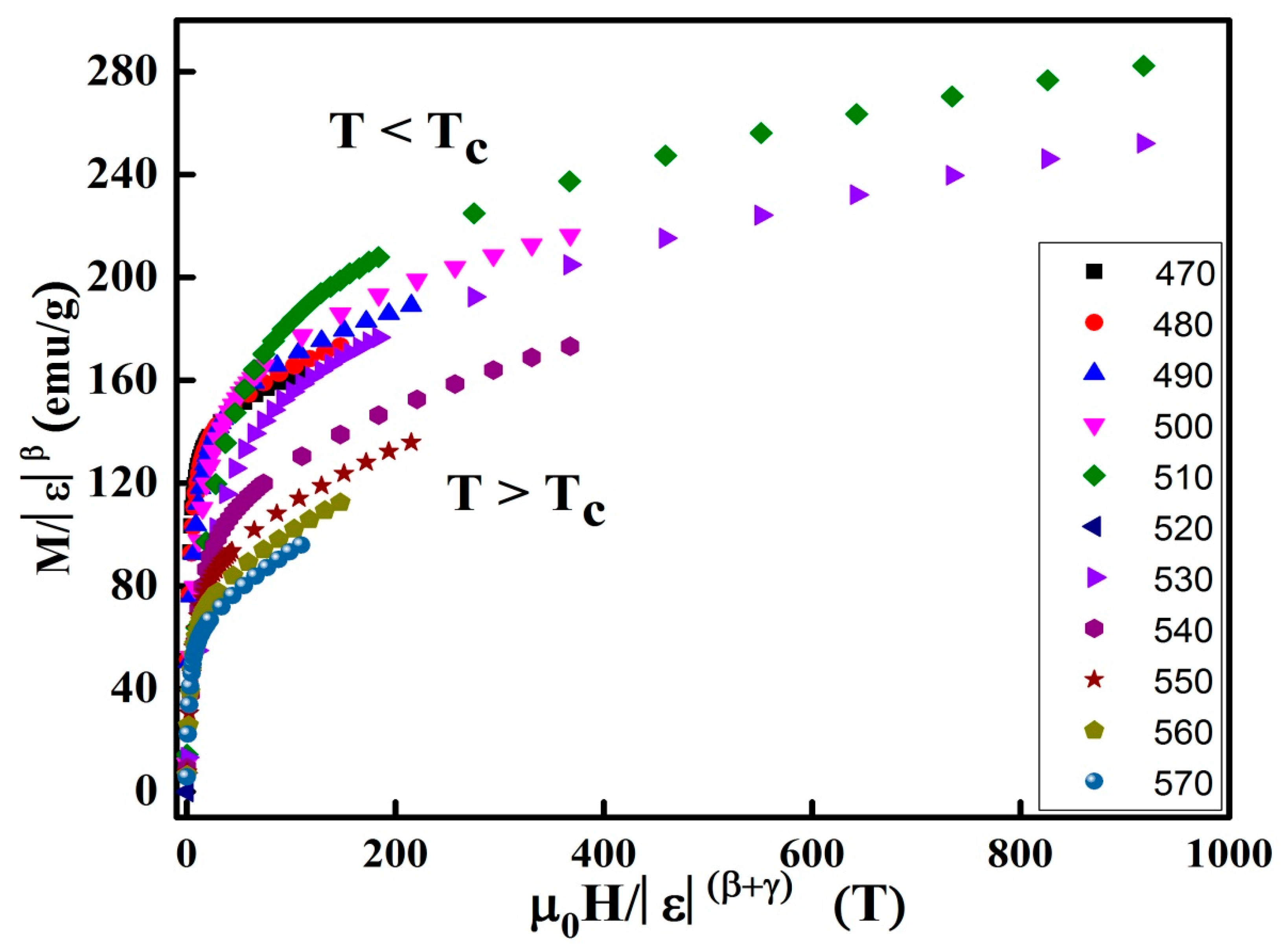
3.5. Critical Behavior
4. Conclusions
Author Contributions
Funding
Conflicts of Interest
References
- Li, L.W. Review of magnetic properties and magnetocaloric effect in the intermetallic compounds of rare earth with low boiling point metals. Chin. Phys. B 2016, 25, 037502. [Google Scholar] [CrossRef]
- Poddar, P.; Srinath, S.; Gass, J.; Prasad, B.L.V.; Srikanth, H.J. Magnetic transition and large magnetocaloric effect associated with surface spin disorder in Co and CocoreAgshell nanoparticles. Phys. Chem. C. 2007, 111, 14060–14066. [Google Scholar] [CrossRef]
- Bjørk, R.; Nielsen, K.K.; Bahl, C.R.H.; Smith, A.; Wulff, A.C. Comparing superconducting and permanent magnets for magnetic refrigeration. AIP ADV. 2016, 6, 056205. [Google Scholar] [CrossRef]
- Skomski, R.; Binek, C.; Mukherjee, T.; Sahoo, S.; Sellmyer, D.J. Temperature and field induced entropy changes in nanomagnets. J. Appl. Phys. 2008, 103, 07B329. [Google Scholar] [CrossRef]
- Franco, V.; Conde, A.; Sidhaye, D.; Prasad, B.L.V.; Poddar, P.J. Field dependence of the magnetocaloric effect in core-shell nanoparticles. J. Appl. Phys. 2010, 107, 09A902. [Google Scholar] [CrossRef]
- Ho, T.A.; Lin, S.H.; Phan, T.L.; Yu, S.C. Universal curves in assessing the order of magnetic transition of La0.7−xPrxCa0.3MnO3 compounds exhibiting giant magnetocaloric effect. J. Alloys Compd. 2017, 692, 687. [Google Scholar] [CrossRef]
- Thang, N.V.; van Dijk, N.H.; Brück, E. Tuneable giant magnetocaloric effect in (Mn,Fe)2(P,Si) materials by Co-B and Ni-B Co-doping. Materials 2017, 10, 14. [Google Scholar] [CrossRef]
- Zaidi, N.; Mnefgui, S.; Dhahri, J.; Hlil, E.K. Structural and critical behavior near the ferromagnetic-paramagnetic phase transition in La0.6Pr0.1Sr0.3Mn1−xRuxO3 (x = 0.00, 0.05 and 0.15) perovskites. J. Magn. Magn. Mat. 2017, 432, 511. [Google Scholar] [CrossRef]
- Tlili, R.; Bejar, M.; Dhahri, E.; Zaoui, A.; Hlil, E.K.; Bessais, L. Influence of crystallite size reduction on the magnetic and magnetocaloric properties of La0.6Sr0.33Ca0.05CoO3 nanoparticles. Polyhedron 2017, 121, 19–24. [Google Scholar] [CrossRef]
- Dhahri, M.; Dhahri, J.; Hlil, E.K. Critical behavior near the ferromagnetic to paramagnetic phase transition temperature in polycrystalline La0.5Sm0.1Sr0.4Mn1−xInxO3 (0 ≤ x ≤ 0.1). J. Magn. Magn. Mat. 2017, 434, 100. [Google Scholar] [CrossRef]
- Huang, K. Statistical mechanics, 2nd ed.; Wiley: New York, NY, USA, 1987. [Google Scholar]
- Makino, A.; Inoue, A.; Masumoto, T. Nanocrystalline soft magnetic Fe-M-B (M = Zr, Hf, Nb), Fe-M-O (M= Zr, Hf, rare earth) alloy and their applications. Nanostr. Mater. 1999, 12, 825–828. [Google Scholar] [CrossRef]
- Makino, A.; Hatanai, T.; Inoue, A.; Matsumoto, T. Nanocrystalline soft magnetic Fe-M-B (M = Zr, Hf, Nb) and their applications. Mater. Sci. Eng. A 1997, 226–228, 594–602. [Google Scholar] [CrossRef]
- McHenry, M.E.; Willard, M.A.; Laughlin, D.E. Amorphous and nanocrystalline materials for applications as soft magnets. Prog. Mater. Sci. 1999, 44, 291–433. [Google Scholar] [CrossRef]
- Li, W.; Yang, Y.Z.; Xu, J.; Xie, C.X. High field magnetization and mean field theory in amorphous Co75Er17B8 ribbons. J. Supercond. Nov. Magn. 2017, 30, 1877. [Google Scholar] [CrossRef]
- Stoica, M.; Hajlaoui, K.; Das, J.; Eckert, J.; Yavari, A.R. FeNbB bulk metallic glass with high boron content. Rev. Adv. Mater. Sci. 2008, 18, 61–65. [Google Scholar]
- Min, S.G.; Kim, K.S.; Yu, S.C.; Lee, K.W. The magnetization behavior and magnetocaloric effect in amorphous Fe-Nb-B ribbons. Mat. Sci. Eng. 2007, 451, 423–425. [Google Scholar] [CrossRef]
- Škorvánek, I.; Kováč, J. Magnetocaloric behavior in amorphous and nanocrystalline FeNbB soft magnetic alloys. Czechoslovak J. Phys. 2004, 54, 189–192. [Google Scholar] [CrossRef]
- Alleg, S.; Souilah, S.; Dadda, K.; Suñol, J.J.; Hlil, E.K.; Lassri, H. Investigation on the critical behavior and magnetocaloric properties in the nanocrystalline CuNi powders. J. Magn. Magn. Mat. 2017, 444, 54–60. [Google Scholar] [CrossRef]
- Riahi, A.; Messaoui, I.; Cheikhrouhou-Koubaa, W.; Mercone, S.; Leridon, B.; Koubaa, M.; Cheikhrouhou, A. Effect of synthesis route on the structural, magnetic and magnetocaloric properties of La0.78Dy0.02Ca0.2MnO3 manganite: A comparison between sol-gel, high-energy ball-milling and solid state process. J. Alloys Compd. 2016, 688, 1028–1038. [Google Scholar] [CrossRef]
- Assoudi, N.; Walha, I.; Dhahri, E.; Alleg, S.; Hlil, E.K. Structural, magnetic and magnetocaloric properties near the paramagnetic to ferromagnetic phase transition in La0.5SrxCa0.4MnO3 compounds. Sol. Stat. Comm. 2018, 277, 13–18. [Google Scholar] [CrossRef]
- Henchiri, C.; Mnasri, T.; Benali, A.; Hamdi, R.; Dhahri, E.; Valente, M.A.; Costa, B.F.O. Structural study and large magnetocaloric entropy change at room temperature of La1-xSrxMnO3 compounds. RSC Adv. 2020, 10, 8352–8363. [Google Scholar] [CrossRef]
- Dadda, K.; Alleg, S.; Souilah, S.; Suñol, J.J.; Dhahri, E.; Bessais, L.; Hlil, E.K. Critical behavior, magnetic and magnetocaloric properties of melt-spun Ni50Mn35Sn15 ribbons. J. Alloys Compd. 2018, 735, 1662–1672. [Google Scholar] [CrossRef]
- Dadda, K.; Alleg, S.; Suñol, J.J.; Bessais, L.; Hlil, E.K. Structure, manetocaloric effect and crutucal behavior in Ni50Mn30(Sn,In)20 Heusler alloys. J. Supercond. Nov Magn. 2020, 33, 2209–2218. [Google Scholar] [CrossRef]
- Blazquez, J.S.; Ipus, J.J.; Moreno-Ramırez, L.M.; Alvarez-Gomez, J.M.; Sanchez-Jimenez, D.; Lozano-Perez, S.; Franco, V.; Conde, A. Ball milling as a way to produce magnetic and magnetocaloric materials: A review. J. Mater. Sci. 2017, 52, 11834–11850. [Google Scholar] [CrossRef]
- Chabi, T.; Bensebaa, N.; Alleg, S.; Azzaza, S.; Suñol, J.J.; Hlil, E.K. Effect of the boron content on the amorphization process and magnetic properties of the mechanically alloyed Fe92−xNb8Bx powders. J. Supercond. Nov. Magn. 2019, 32, 893–901. [Google Scholar] [CrossRef]
- Varret, F.; Teillet, J. Unpublished Mosfit Program; Université du Maine: Le Mans, France, 1976. [Google Scholar]
- Barinov, V.A.; Tsurin, V.A.; Voronin, V.I.; Novikov, S.I.; Surikov, V.T. Mössbauer investigations of the metastable Fe23B6 phase. Phys. Met. Metallogr. 2006, 101, 496–507. [Google Scholar] [CrossRef]
- Van der Woode, F.; Maring, K.W. The electronic and magnetic properties of iron-sp element alloys. In Proceedings of the Mössbauer Effect ICAME 77, Bucharest Romania, September 1977; Barb, D., Jarinã, D., Eds.; p. 133. [Google Scholar]
- Wang, D.; Ma, L.; Li, L.; Xu, X.L.; Guo, Y.B.; Zhao, S.Q. Characterization of polycrystalline Fe2B compound with high saturation magnetization. J. Supercond Nov Magn 2018, 31, 431–435. [Google Scholar] [CrossRef]
- Alleg, S.; Brahimi, A.; Azzaza, S.; Souilah, S.; Zergoug, M.; Suñol, J.J.; Greneche, J.M. X-ray diffraction, Mössbauer spectrometry and thermal studies of the mechanically alloyed (Fe1−xMnx)2P powders. Adv. Pow. Techn. 2018, 29, 257–265. [Google Scholar] [CrossRef]
- Alleg, S.; Rihia, G.; Sunol, J.J. Structural evolution of the ball milled Ni70P30 powders. Ann. Chim. Sci. Mat. 2009, 34, 267–273. [Google Scholar] [CrossRef]
- Kissinger, H.E. Variation of peak temperature with heating in differential thermal analysis. J. Res. Nat. Bur. Stand. 1956, 57, 217–221. [Google Scholar] [CrossRef]
- Suñol, J.J.; González, A.; Saurina, J.; Escoda, L.; Bruna, P. Thermal and structural characterization of Fe-Nb-B alloys prepared by mechanical alloying. Mater. Sci. Eng. 2004, 377, 874–880. [Google Scholar]
- Zverev, V.I.; Gimaev, R.R.; Tishin, A.M.; Mudryk, Y.; Gschneidner, K.A., Jr.; Pecharsky, V.K. The role of demagnetization factor in determining the true value of the Curie temperature. J. Magn. Magn. Mater. 2011, 323, 2453–2457. [Google Scholar] [CrossRef]
- Nakajima, T.; Kita, E.; Ino, H. Crystallization process and magnetic properies of Fe100−xBx (10 ≤ x ≤ 35) amorphous alloys and supersaturated state of boron in α-Fe. J. Mater. Sci. 1988, 23, 1279–1288. [Google Scholar] [CrossRef]
- Shishkin, D.A.; Volegov, A.S.; Baranov, N.V. The thermomechanical stability of Fe based amorphous ribbons exhibiting magnetocaloric effect. App. Phys. A: Mater. Sci. Proces. 2016, 122, 1002. [Google Scholar] [CrossRef]
- Ipus, J.J.; Blázquez, J.S.; Franco, V.; Conde, A.; Kiss, L.F. Magnetocaloric response of Fe75Nb10B15 powders partially amorphized by ball milling. J. App. Phys. 2009, 105, 123922. [Google Scholar] [CrossRef]
- Ipus, J.J.; Blázquez, J.S.; Conde, C.F.; Borrego, J.M.; Franco, V.; Lozano-Pérez, S.; Conde, A. Relationship between mechanical amorphization and boron integration during processing of Fe-Nb-B alloys. Intermetallics 2014, 49, 98–105. [Google Scholar] [CrossRef]
- Wood, M.E.; Potter, W.H. General analysis of magnetic refrigeration and its optimization using a new concept: Maximization of refrigerant capacity. Cryogenics 1985, 25, 667–683. [Google Scholar] [CrossRef]
- Arrott, A.; Noakes, J.E. Approximative equation of state for nickel near its critical temperature. Phys. Rev. Lett. 1967, 19, 789. [Google Scholar] [CrossRef]
- Fisher, M.E.; Ma, S.K.; Nickel, B.G. Critical exponents for long-range interactions. Phys. Rev. Lett. 1972, 29, 917–920. [Google Scholar] [CrossRef]
- Kouvel, J.S.; Fisher, M.E. Detailed magnetic behavior of nickel near its Curie point. Phys. Rev. 1964, 136, 1626–1632. [Google Scholar] [CrossRef]
- Widom, B. Surface tension and molecular correlations near the critical point. J. Chem. Phys. 1965, 43, 3892–3897. [Google Scholar] [CrossRef]
- Stanley, H.E. Introduction to phase transitions and critical phenomena (International series of monographs on Physics); Oxford University Press: London, UK, 1971. [Google Scholar]












| Phases | Site | Bhf (T) ±0.2 | IS (mm/s) ±0.01 | 2ε or QS (mm/s) ±0.01 | Γ (mm/s) ±0.2 | Relative area ±1 (%) |
|---|---|---|---|---|---|---|
| α-Fe | SS1 | 33.0 | 0.011 | −0.016 | 0.42 | 12.5 |
| Fe2B | SS2 | 23.2 | 0.062 | 0.163 | 0.60 | 13.5 |
| Doublet | SS3 | −0.203 | 0.996 | 0.56 | 05.0 | |
| Amorphous | HFD | 10.5 | 0.281 | 69.0 |
| Composition | Sample Shape | Structure | TC (K) | µoH (T) | -ΔSM(T) (J/kg·K) | Ref. |
|---|---|---|---|---|---|---|
| Fe72Nb8B20 | Powder | Partially am. | 480 | 2 | 0.66 | This work |
| Fe84Nb7B9 | Ribbons | Amorphous | 335 | 1.5 | 0.80 | [37] |
| Fe80.5Nb7B12.5 | Ribbons | Amorphous | 363 | 0.7 | 0.72 | [18] |
| Fe75Nb10B15 | Powder | Amorphous | 250 | 1.5 | 0.60 | [38] |
| Fe79Nb7B14 | Ribbons | Amorphous | 372 | 1.5 | 1.07 | [17] |
| Fe75Nb10B15 | Powder | Partially am. | 395 | 1.5 | 0.95 | [39] |
| Model | Technique | Ref. | |||
|---|---|---|---|---|---|
| MAP | 0.457 ± 0.012 | 0.863 ± 0.136 | 2.888 ± 0.124 | This work | |
| K−F | 0.432 ±0.015 | 1.002 ± 0.093 | |||
| CI | 3.090 ± 0.004 | ||||
| Mean field | 0.5 | 1.0 | 3.0 | [11] | |
| 3D-Heisenberg | 0.365 | 1.336 | 4.80 | ||
| 3D-Ising | 0.325 | 1.241 | 4.82 | ||
| Tricritical mean field | 0.25 | 1.0 | 5.0 |
© 2020 by the authors. Licensee MDPI, Basel, Switzerland. This article is an open access article distributed under the terms and conditions of the Creative Commons Attribution (CC BY) license (http://creativecommons.org/licenses/by/4.0/).
Share and Cite
Alleg, S.; Chabi, T.; Bensebaa, N.; Saurina, J.; Escoda, L.; Hlil, E.-K.; Suñol, J.-J. Investigation of the Critical Behavior, Magnetocaloric Effect and Hyperfine Structure in the Fe72Nb8B20 Powders. Materials 2020, 13, 4476. https://doi.org/10.3390/ma13204476
Alleg S, Chabi T, Bensebaa N, Saurina J, Escoda L, Hlil E-K, Suñol J-J. Investigation of the Critical Behavior, Magnetocaloric Effect and Hyperfine Structure in the Fe72Nb8B20 Powders. Materials. 2020; 13(20):4476. https://doi.org/10.3390/ma13204476
Chicago/Turabian StyleAlleg, Safia, Thaounza Chabi, Nadia Bensebaa, Joan Saurina, Lluisa Escoda, El-Kebir Hlil, and Joan-Josep Suñol. 2020. "Investigation of the Critical Behavior, Magnetocaloric Effect and Hyperfine Structure in the Fe72Nb8B20 Powders" Materials 13, no. 20: 4476. https://doi.org/10.3390/ma13204476
APA StyleAlleg, S., Chabi, T., Bensebaa, N., Saurina, J., Escoda, L., Hlil, E.-K., & Suñol, J.-J. (2020). Investigation of the Critical Behavior, Magnetocaloric Effect and Hyperfine Structure in the Fe72Nb8B20 Powders. Materials, 13(20), 4476. https://doi.org/10.3390/ma13204476

