III-Nitrides Resonant Cavity Photodetector Devices
Abstract
1. Introduction
2. Materials and Methods
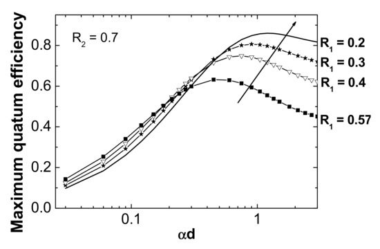
2.1. Design of the RCE Photodetector
2.2. Fabrication of the III-Nitride Based RCE Photodetectors
2.3. Characterization of the III-Nitride RCE Photodetector
3. Results
4. Conclusions
Author Contributions
Funding
Acknowledgments
Conflicts of Interest
References
- Monroy, E.; Calle, F.; Pau, J.L.; Muñoz, E.; Omnès, F.; Beaumont, B.; Gibart, P. AlGaN-based UV photodetectors. J. Crys. Growth 2001, 230, 537–543. [Google Scholar] [CrossRef]
- Rivera, C.; Pereiro, J.; Navarro, A.; Muñoz, E.; Brandt, O.; Grahn, H.T. Advances in Group-III-Nitride Photodetectors. JEEE 2010, 4, 1–9. [Google Scholar] [CrossRef]
- Chen, H.; Liu, K.; Hu, L.; Al-Ghandi, A.A.; Fang, X. New concept ultraviolet photodetectors. Mater. Today 2015, 18, 493–502. [Google Scholar] [CrossRef]
- Lin, C.-F.; Han, J. GaN-based resonant-cavity light-emitting diode with an embedded porous-AlGaN distributed Bragg reflector (Conference Presentation). In Light-Emitting Devices, Materials, and Applications, Proceedings of the SPIE, San Francisco, CA, USA, 4–7 February 2019; International Society for Optics and Photonics: Bellingham, WA, USA, 2019; Volume 109400M. [Google Scholar] [CrossRef]
- Zou, Y.; Zhang, Y.; Hu, Y.; Gu, H. Ultraviolet Detectors Based on Wide Bandgap Semiconductor Nanowire: A Review. Sensors 2018, 18, 2072. [Google Scholar] [CrossRef]
- Srour, H.; Salvestrini, J.P.; Ahaitouf, A.; Gautier, S.; Moudakir, T.; Assouar, B.; Abarkan, M.; Hamady, S.; Ougazzaden, A. Solar blind metal-semiconductor-metal ultraviolet photodetectors using quasi-alloy of BGaN/GaN superlattices. Appl. Phys. Lett. 2011, 99, 221101. [Google Scholar] [CrossRef]
- Xie, C.; Lu, X.-T.; Tong, X.-W.; Zhang, Z.-X.; Liang, F.-X.; Liang, L.; Luo, L.-B.; Wu, Y.-C. Recent Progress in Solar-Blind Deep-Ultraviolet Photodetectors Based on Inorganic Ultrawide Bandgap Semiconductors. Adv. Funct. Mater. 2019, 29, 1806006. [Google Scholar] [CrossRef]
- Zheng, W.; Huang, F.; Zheng, R.; Wu, H. Low-Dimensional Structure Vacuum-Ultraviolet-Sensitive (λ < 200 nm) Photodetector with Fast-Response Speed Based on High-Quality AlN Micro/Nanowire. Adv. Mater. 2015, 27, 3921–3927. [Google Scholar] [CrossRef] [PubMed]
- Xu, J.; Zheng, W.; Huang, F. Gallium oxide solar-blind ultraviolet photodetectors: A review. J. Mater. Chem. C 2019, 7, 8753–8770. [Google Scholar] [CrossRef]
- Sun, J.; Zhang, S.; Zhan, T.; Liu, Z.; Wang, J.; Yi, X.; Li, J.; Sarro, P.M.; Zhang, G. A high responsivity and controllable recovery ultraviolet detector based on a WO3 gate AlGaN/GaN heterostructure with an integrated micro-heater. J. Mater. Chem. C 2020, 8, 5409–5416. [Google Scholar] [CrossRef]
- Parish, G.; Keller, S.; Kozodoy, P.; Ibbetson, J.P.; Marchand, H.; Fini, P.T.; Fleischer, S.B.; DenBaars, S.P.; Mishra, U.K.; Tarsa, E.J. High-performance (Al,Ga)N-based solar-blind ultraviolet p–i–n detectors on laterally epitaxially overgrown GaN. Appl. Phys. Lett. 1999, 75, 247–249. [Google Scholar] [CrossRef]
- Monroy, E.; Palacios, T.; Hainaut, O.; Omnès, F.; Calle, F.; Hochedez, J.-F. Assessment of GaN metal–semiconductor–metal photodiodes for high-energy ultraviolet photodetection. Appl. Phys. Lett. 2002, 80, 3198–3200. [Google Scholar] [CrossRef]
- Biyikli, N.; Kartaloglu, T.; Aytur, O.; Kimukin, I.; Ozbay, E. High-speed visible-blind resonant cavity enhanced AlGaN Schottky photodiodes. MRS Internet J. Nitride Semicond. Res. 2003, 8, 2–7. [Google Scholar] [CrossRef][Green Version]
- Gökkavas, M.; Onat, B.M.; Özbay, E.; Ata, E.P.; Xu, J.; Towe, E.; Ünlü, M.S. Design and optimization of high-speed resonant cavity enhanced Schottky photodiodes. IEEE J. Quantum Electron. 1999, 35, 208–215. [Google Scholar] [CrossRef]
- Ünlü, M.S.; Strite, S. Resonant cavity enhanced photonic devices. J. Appl. Phys. 1995, 78, 607–639. [Google Scholar] [CrossRef]
- Chin, A.; Chang, T.Y. Enhancement of quantum efficiency in thin photodiodes through absorptive resonance. J. Lightwave Technol. 1991, 9, 321–328. [Google Scholar] [CrossRef]
- Tzeng, Y.-C.; Li, S.S.; Ho, P. A GaAs Schottky-barrier photodiode with high quantum efficiency-bandwidth product using a multilayer reflector. IEEE Trans. Electron Devices 1993, 40, 348–352. [Google Scholar] [CrossRef]
- Biyikli, N.; Kimukin, I.; Aytür, O.; Özbay, E. Solar-blind AlGaN-based pin photodiodes with low dark current and high detectivity. IEEE Photon. Technol. Lett. 2004, 16, 1718–1720. [Google Scholar] [CrossRef]
- Im, J.S.; Moritz, A.; Steuber, F.; Härle, V.; Scholz, F.; Hangleiter, A. Radiative carrier lifetime, momentum matrix element, and hole effective mass in GaN. Appl. Phys. Lett. 1997, 70, 631–633. [Google Scholar] [CrossRef]
- Miller, R.A.; So, H.; Heuser, T.A.; Senesky, D.G. High-temperature Ultraviolet Photodetectors: A Review. Appl. Phys. 2018, arXiv:1809.07396. [Google Scholar]
- Casalino, M.; Sirleto, L.; Moretti, L.; Gioffrè, M.; Coppola, G.; Rendina, I. Silicon resonant cavity enhanced photodetector based on the internal photoemission effect at 1.55 μm: Fabrication and characterization. Appl. Phys. Let. 2008, 92, 251104. [Google Scholar] [CrossRef]
- Arnold, M.; Zimina, D.; Zoggb, H. Resonant-cavity-enhanced photodetectors for the mid-infrared. Appl. Phys. Lett. 2005, 87, 141103. [Google Scholar] [CrossRef]
- El-Batawy, Y.M.; Deen, M.J. Resonant Cavity Enhanced Photodetectors (RCE-PDs): Structure, Material, Analysis and Optimization. In Quantum Sensing: Evolution and Revolution from Past to Future, Proceedings of the SPIE, San Jose, CA, USA, 27–30 January 2003; International Society for Optics and Photonics: Bellingham WA, USA, 2003; Volume 4999. [Google Scholar] [CrossRef]
- Hua, Q.; Ma, B.; Hu, W. Aluminum, Gallium, and Indium Nitrides. In Encyclopedia of Materials: Science and Technology; Elsevier: Amsterdam, The Netherlands, 2001; pp. 121–126. [Google Scholar] [CrossRef]
- Fernández, S.; Naranjo, F.B.; Calle, F.; Calleja, E.; Trampert, A.; Plogg, K.H. Growth and characterization of high-quality 10-period AlGaN/GaN Bragg reflectors grown by molecular beam epitaxy. Mater. Sci. Eng. B 2002, 93, 1–3. [Google Scholar] [CrossRef]
- Yonemaru, M.; Kikuchi, A.; Kishino, K. Improved Responsivity of AlGaN-Based Resonant Cavity-Enhanced UV Photodetectors Grown on Sapphire by RF-MBE. Phys. Stat. Sol. 2002, 192, 292–295. [Google Scholar] [CrossRef]
- Fernandez, S.; Naranjo, F.B.; Calle, F.; Sánchez-García, M.A.; Calleja, E.; Vennegues, P.; Trampert, A.; Ploog, K.H. MBE-grown high-quality (Al,Ga)N/GaN distributed Bragg reflectors for resonant cavity LEDs. Semicond. Sci. Technol. 2001, 16, 913–917. [Google Scholar] [CrossRef]
- Ren, B.; Liao, M.; Sumiya, M.; Huang, J.; Wang, L.; Koide, Y.; Sang, L. Vertical-Type Ni/GaN UV Photodetectors Fabricated on Free-Standing GaN Substrates. Appl. Sci. 2019, 9, 2895. [Google Scholar] [CrossRef]
- Garg, M.; Kumar, A.; Nagarajan, S.; Sopanen, M.; Singh, R. Investigation of significantly high barrier height in Cu/GaN Schottky diode. AIP Adv. 2016, 6, 015206. [Google Scholar] [CrossRef]
- Monroy, E.; Calle, F.; Pau, J.L.; Sánchez, F.J.; Muñoz, E. Analysis and modeling of AlxGa1−xN-based Schottky barrier photodiodes. J. Appl. Phys. 2000, 88, 2081–2091. [Google Scholar] [CrossRef]
- Miller, R.A.; So, H.; Chiamori, H.C.; Suria, A.J.; Chapin, C.A.; Senesky, D.G. A microfabricated sun sensor using GaN-on-sapphire ultraviolet photodetector arrays. Rev. Sci. Instrum. 2016, 87, 095003. [Google Scholar] [CrossRef]










| Type of Device | Device Diameter (µm) | β Au (75 Å) | β Au (100 Å) | β Au (175 Å) |
| Conventional | 200 | 1.5 | 1.3 | 2.1 |
| 400 | 2.2 | 3.9 | 1.7 | |
| 600 | 1.9 | 4.4 | 2.7 | |
| Resonant | 200 | 1.4 | 1.53 | 1.4 |
| 400 | 1.2 | 3.2 | 1.36 | |
| 600 | 1.2 | 2.6 | 2.1 |
© 2020 by the authors. Licensee MDPI, Basel, Switzerland. This article is an open access article distributed under the terms and conditions of the Creative Commons Attribution (CC BY) license (http://creativecommons.org/licenses/by/4.0/).
Share and Cite
Fernández, S.; Naranjo, F.B.; Sánchez-García, M.Á.; Calleja, E. III-Nitrides Resonant Cavity Photodetector Devices. Materials 2020, 13, 4428. https://doi.org/10.3390/ma13194428
Fernández S, Naranjo FB, Sánchez-García MÁ, Calleja E. III-Nitrides Resonant Cavity Photodetector Devices. Materials. 2020; 13(19):4428. https://doi.org/10.3390/ma13194428
Chicago/Turabian StyleFernández, Susana, Fernando B. Naranjo, Miguel Ángel Sánchez-García, and Enrique Calleja. 2020. "III-Nitrides Resonant Cavity Photodetector Devices" Materials 13, no. 19: 4428. https://doi.org/10.3390/ma13194428
APA StyleFernández, S., Naranjo, F. B., Sánchez-García, M. Á., & Calleja, E. (2020). III-Nitrides Resonant Cavity Photodetector Devices. Materials, 13(19), 4428. https://doi.org/10.3390/ma13194428

