Low-Temperature Magnetocaloric Properties of V12 Polyoxovanadate Molecular Magnet: A Theoretical Study
Abstract
1. Introduction
2. Theoretical Model and Its Solution
2.1. Theoretical Low-Temperature Model of V12 and Its General Thermodynamics
2.2. Thermodynamic Quantities of Interest from the Magnetocaloric Point of View
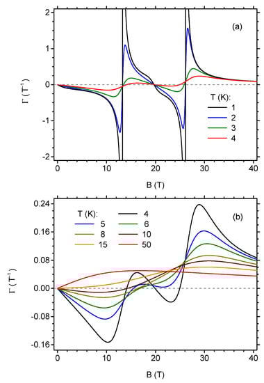
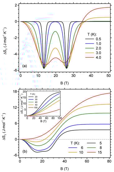
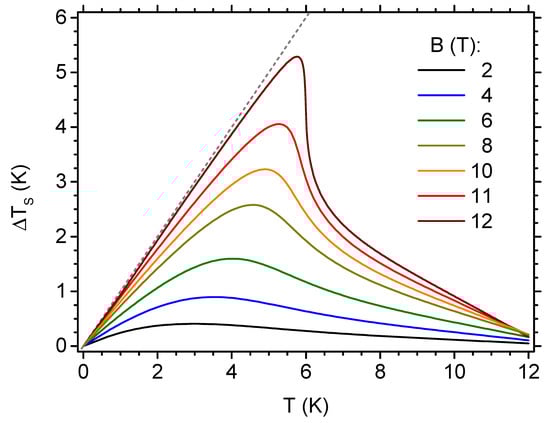
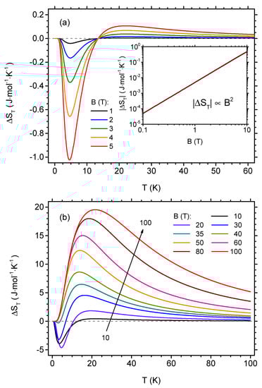
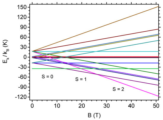
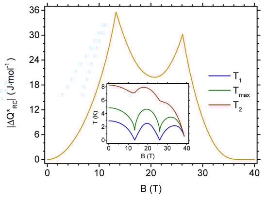
3. Numerical Results and Discussion
4. Final Remarks
Funding
Conflicts of Interest
Abbreviations
| V12 | (NH(CH))[VVAsO(HO)]·HO |
| MCE | magnetocaloric effect |
Appendix A. Ground State of the Tetramer for Various Magnetic Fields and the Critical Magnetic Fields
References
- Kahn, O. Molecular Magnetism; VCH-Verlag: Weinheim, NY, USA, 1993. [Google Scholar]
- Sieklucka, B.; Pinkowicz, D. (Eds.) Molecular Magnetic Materials: Concepts and Applications; Wiley-VCH: Weinheim, NY, USA, 2017. [Google Scholar]
- Blundell, S.J. Molecular Magnets. Contemp. Phys. 2007, 48, 275–290. [Google Scholar] [CrossRef]
- Coronado, E.; Gómez-García, C.J. Molecular Magnetic Materials from Polyoxometalates. In Polyoxometalates: From Platonic Solids to Anti-Retroviral Activity; Pope, M.T., Müller, A., Eds.; Topics in Molecular Organization and Engineering; Springer: Dordrecht, The Netherlands, 1994; pp. 233–243. [Google Scholar] [CrossRef]
- Delgado, O.; Dress, A.; Müller, A.; Pope, M.T. Polyoxometalates: A Class of Compounds with Remarkable Topology. In Polyoxometalates: From Platonic Solids to Anti-Retroviral Activity; Pope, M.T., Müller, A., Eds.; Topics in Molecular Organization and Engineering; Springer: Dordrecht, The Netherlands, 1994; pp. 7–26. [Google Scholar] [CrossRef]
- Müller, A.; Peters, F.; Pope, M.T.; Gatteschi, D. Polyoxometalates: Very Large Clusters—Nanoscale Magnets. Chem. Rev. 1998, 98, 239–272. [Google Scholar] [CrossRef] [PubMed]
- Kögerler, P.; Tsukerblat, B.; Müller, A. Structure-Related Frustrated Magnetism of Nanosized Polyoxometalates: Aesthetics and Properties in Harmony. Dalton Trans. 2010, 39, 21–36. [Google Scholar] [CrossRef] [PubMed]
- Gatteschi, D.; Pardi, L.; Barra, A.L.; Müller, A. Polyoxovanadates: The Missing Link between Simple Paramagnets and Bulk Magnets? In Polyoxometalates: From Platonic Solids to Anti-Retroviral Activity; Pope, M.T., Müller, A., Eds.; Topics in Molecular Organization and Engineering; Springer: Dordrecht, The Netherlands, 1994; pp. 219–231. [Google Scholar] [CrossRef]
- Müller, A.; Sessoli, R.; Krickemeyer, E.; Bögge, H.; Meyer, J.; Gatteschi, D.; Pardi, L.; Westphal, J.; Hovemeier, K.; Rohlfing, R.; et al. Polyoxovanadates: High-Nuclearity Spin Clusters with Interesting Host-Guest Systems and Different Electron Populations. Synthesis, Spin Organization, Magnetochemistry, and Spectroscopic Studies. Inorg. Chem. 1997, 36, 5239–5250. [Google Scholar] [CrossRef]
- Gatteschi, D.; Pardi, L.; Barra, A.L.; Müller, A.; Döring, J. Layered Magnetic Structure of a Metal Cluster Ion. Nature 1991, 354, 463–465. [Google Scholar] [CrossRef]
- Luban, M.; Borsa, F.; Bud’ko, S.; Canfield, P.; Jun, S.; Jung, J.K.; Kögerler, P.; Mentrup, D.; Müller, A.; Modler, R.; et al. Heisenberg Spin Triangles in {V6}-Type Magnetic Molecules: Experiment and Theory. Phys. Rev. B 2002, 66, 054407. [Google Scholar] [CrossRef]
- Müller, A.; Meyer, J.; Bögge, H.; Stammler, A.; Botar, A. Trinuclear Fragments as Nucleation Centres: New Polyoxoalkoxyvanadates by (Induced) Self-Assembly. Chem. A Eur. J. 1998, 4, 1388–1397. [Google Scholar] [CrossRef]
- Basler, R.; Chaboussant, G.; Sieber, A.; Andres, H.; Murrie, M.; Kögerler, P.; Bögge, H.; Crans, D.C.; Krickemeyer, E.; Janssen, S.; et al. Inelastic Neutron Scattering on Three Mixed-Valence Dodecanuclear Polyoxovanadate Clusters. Inorg. Chem. 2002, 41, 5675–5685. [Google Scholar] [CrossRef]
- Barbour, A.; Luttrell, R.D.; Choi, J.; Musfeldt, J.L.; Zipse, D.; Dalal, N.S.; Boukhvalov, D.W.; Dobrovitski, V.V.; Katsnelson, M.I.; Lichtenstein, A.I.; et al. Understanding the Gap in Polyoxovanadate Molecule-Based Magnets. Phys. Rev. B 2006, 74, 014411. [Google Scholar] [CrossRef]
- Haraldsen, J.T.; Barnes, T.; Musfeldt, J.L. Neutron Scattering and Magnetic Observables for S=1/2 Spin Clusters and Molecular Magnets. Phys. Rev. B 2005, 71, 064403. [Google Scholar] [CrossRef]
- Irons, H.R.; Quintanilla, J.; Perring, T.G.; Amico, L.; Aeppli, G. Control of Entanglement Transitions in Quantum Spin Clusters. Phys. Rev. B 2017, 96, 224408. [Google Scholar] [CrossRef]
- Ciftja, O. The Irregular Tetrahedron of Classical and Quantum Spins Subjected to a Magnetic Field. J. Phys. A Math. Gen. 2001, 34, 1611–1627. [Google Scholar] [CrossRef]
- Bose, I.; Tribedi, A. Thermal Entanglement Properties of Small Spin Clusters. Phys. Rev. A 2005, 72, 022314. [Google Scholar] [CrossRef]
- Tribedi, A.; Bose, I. Entangled Spin Clusters: Some Special Features. Phys. Rev. A 2006, 74, 012314. [Google Scholar] [CrossRef]
- Pal, A.K.; Bose, I. Quantum Discord in the Ground and Thermal States of Spin Clusters. J. Phys. B At. Mol. Opt. Phys. 2011, 44, 045101. [Google Scholar] [CrossRef]
- Hagiwara, M.; Narumi, Y.; Matsuo, A.; Yashiro, H.; Kimura, S.; Kindo, K. Magnetic Properties of a Ni Tetramer with a Butterfly Structure in High Magnetic Fields. New J. Phys. 2006, 8, 176. [Google Scholar] [CrossRef]
- Basler, R.; Chaboussant, G.; Andres, H.; Kögerler, P.; Krickemeier, E.; Bögge, H.; Mutka, H.; Müller, A.; Güdel, H.U. Inelastic Neutron Scattering on a Mixed-Valence Dodecanuclear Polyoxovanadate Cluster. Appl. Phys. A 2002, 74, s734–s736. [Google Scholar] [CrossRef]
- Procissi, D.; Shastri, A.; Rousochatzakis, I.; Al Rifai, M.; Kögerler, P.; Luban, M.; Suh, B.J.; Borsa, F. Magnetic Susceptibility and Spin Dynamics of a Polyoxovanadate Cluster: A Proton NMR Study of a Model Spin Tetramer. Phys. Rev. B 2004, 69, 094436. [Google Scholar] [CrossRef]
- Suh, B.J.; Procissi, D.; Kögerler, P.; Micotti, E.; Lascialfari, A.; Borsa, F. 1H NMR Study of Dodecanuclear Polyoxovanadate Cluster {V12}. J. Magn. Magn. Mater. 2004, 272–276, E759–E761. [Google Scholar] [CrossRef]
- Bianchi, A.; Carretta, S.; Santini, P.; Amoretti, G. Relaxation of the Magnetization in a Molecule Containing S = 12 Ions: V12. J. Magn. Magn. Mater. 2007, 310, 1450–1451. [Google Scholar] [CrossRef]
- Borsa, F. NMR in Magnetic Single Molecule Magnets. In NMR-MRI, μSR and Mössbauer Spectroscopies in Molecular Magnets; Carretta, P., Lascialfari, A., Eds.; Springer: Milano, Italy, 2007; pp. 29–70. [Google Scholar] [CrossRef]
- Coronado, E. Molecular Magnetism: From Chemical Design to Spin Control in Molecules, Materials and Devices. Nat. Rev. Mater. 2020, 5, 87–104. [Google Scholar] [CrossRef]
- Sessoli, R. Chilling with Magnetic Molecules. Angew. Chem. Int. Ed. 2012, 51, 43–45. [Google Scholar] [CrossRef] [PubMed]
- Zheng, Y.Z.; Zhou, G.J.; Zheng, Z.; Winpenny, R.E.P. Molecule-Based Magnetic Coolers. Chem. Soc. Rev. 2014, 43, 1462–1475. [Google Scholar] [CrossRef] [PubMed]
- Franco, V.; Blázquez, J.S.; Ipus, J.J.; Law, J.Y.; Moreno-Ramírez, L.M.; Conde, A. Magnetocaloric Effect: From Materials Research to Refrigeration Devices. Prog. Mater. Sci. 2018, 93, 112–232. [Google Scholar] [CrossRef]
- Liu, J.L.; Chen, Y.C.; Guo, F.S.; Tong, M.L. Recent Advances in the Design of Magnetic Molecules for Use as Cryogenic Magnetic Coolants. Coord. Chem. Rev. 2014, 281, 26–49. [Google Scholar] [CrossRef]
- Fitta, M.; Pełka, R.; Konieczny, P.; Bałanda, M. Multifunctional Molecular Magnets: Magnetocaloric Effect in Octacyanometallates. Crystals 2019, 9, 9. [Google Scholar] [CrossRef]
- Evangelisti, M.; Brechin, E.K. Recipes for Enhanced Molecular Cooling. Dalton Trans. 2010, 39, 4672–4676. [Google Scholar] [CrossRef]
- Liu, J.L.; Chen, Y.C.; Tong, M.L. Molecular Design for Cryogenic Magnetic Coolants. Chem. Rec. 2016, 16, 825–834. [Google Scholar] [CrossRef]
- Holleis, L.; Shivaram, B.S.; Balachandran, P.V. Machine Learning Guided Design of Single-Molecule Magnets for Magnetocaloric Applications. Appl. Phys. Lett. 2019, 114, 222404. [Google Scholar] [CrossRef]
- Schnack, J. Frustration Effects in Magnetic Molecules. J. Low Temp. Phys. 2006, 142, 279–284. [Google Scholar] [CrossRef][Green Version]
- Schnack, J.; Schmidt, R.; Richter, J. Enhanced Magnetocaloric Effect in Frustrated Magnetic Molecules with Icosahedral Symmetry. Phys. Rev. B 2007, 76, 054413. [Google Scholar] [CrossRef]
- Beckmann, C.; Ehrens, J.; Schnack, J. Rotational Magnetocaloric Effect of Anisotropic Giant-Spin Molecular Magnets. J. Magn. Magn. Mater. 2019, 482, 113–119. [Google Scholar] [CrossRef]
- Konieczny, P.; Pełka, R.; Czernia, D.; Podgajny, R. Rotating Magnetocaloric Effect in an Anisotropic Two-Dimensional CuII[WV(CN)8]3- Molecular Magnet with Topological Phase Transition: Experiment and Theory. Inorg. Chem. 2017, 56, 11971–11980. [Google Scholar] [CrossRef]
- Furrer, A.; Waldmann, O. Magnetic Cluster Excitations. Rev. Mod. Phys. 2013, 85, 367–420. [Google Scholar] [CrossRef]
- Chakraborty, T.; Mitra, C. Magnetocaloric Effect as a Signature of Quantum Level-Crossing for a Spin-Gapped System. J. Phys. Condens. Matter 2019, 31, 475802. [Google Scholar] [CrossRef]
- Strečka, J.; Karľová, K.; Madaras, T. Giant Magnetocaloric Effect, Magnetization Plateaux and Jumps of the Regular Ising Polyhedra. Phys. B Condens. Matter 2015, 466–467, 76–85. [Google Scholar] [CrossRef]
- Karľová, K.; Strečka, J.; Madaras, T. The Schottky-Type Specific Heat as an Indicator of Relative Degeneracy between Ground and First-Excited States: The Case Study of Regular Ising Polyhedra. Phys. B Condens. Matter 2016, 488, 49–56. [Google Scholar] [CrossRef]
- Mohylna, M.; Žukovič, M. Magnetocaloric Properties of Frustrated Tetrahedra-Based Spin Nanoclusters. Phys. Lett. A 2019, 383, 2525–2534. [Google Scholar] [CrossRef]
- Žukovič, M.; Bobák, A. Entropy of Spin Clusters with Frustrated Geometry. Phys. Lett. A 2014, 378, 1773–1779. [Google Scholar] [CrossRef][Green Version]
- Žukovič, M. Thermodynamic and Magnetocaloric Properties of Geometrically Frustrated Ising Nanoclusters. J. Magn. Magn. Mater. 2015, 374, 22–35. [Google Scholar] [CrossRef]
- Žukovič, M.; Semjan, M. Magnetization Process and Magnetocaloric Effect in Geometrically Frustrated Ising Antiferromagnet and Spin Ice Models on a ‘Star of David’ Nanocluster. J. Magn. Magn. Mater. 2018, 451, 311–318. [Google Scholar] [CrossRef]
- Karl’ová, K.; Strečka, J.; Richter, J. Enhanced Magnetocaloric Effect in the Proximity of Magnetization Steps and Jumps of Spin-1/2 XXZ Heisenberg Regular Polyhedra. J. Phys. Condens. Matter 2017, 29, 125802. [Google Scholar] [CrossRef]
- Karľová, K.; Strečka, J. Magnetization Process and Magnetocaloric Effect of the Spin-1/2 XXZ Heisenberg Cuboctahedron. J. Low Temp. Phys. 2017, 187, 727–733. [Google Scholar] [CrossRef]
- Karlova, K. Spin-1/2 XXZ Heisenberg Cupolae: Magnetization Process and Related Enhanced Magnetocaloric Effect. arXiv 2020, arXiv:2002.06907. [Google Scholar]
- Kowalewska, P.; Szałowski, K. Magnetocaloric Properties of V6 Molecular Magnet. J. Magn. Magn. Mater. 2020, 496, 165933. [Google Scholar] [CrossRef]
- Szałowski, K.; Kowalewska, P. Magnetocaloric Effect in Cu5-NIPA Molecular Magnet: A Theoretical Study. Materials 2020, 13, 485. [Google Scholar] [CrossRef]
- Bradley, D.I.; Guénault, A.M.; Gunnarsson, D.; Haley, R.P.; Holt, S.; Jones, A.T.; Pashkin, Y.A.; Penttilä, J.; Prance, J.R.; Prunnila, M.; et al. On-Chip Magnetic Cooling of a Nanoelectronic Device. Sci. Rep. 2017, 7, 45566. [Google Scholar] [CrossRef]
- Vlasov, A.; Guillemette, J.; Gervais, G.; Szkopek, T. Magnetic Refrigeration with Paramagnetic Semiconductors at Cryogenic Temperatures. Appl. Phys. Lett. 2017, 111, 142102. [Google Scholar] [CrossRef]
- Jones, A.T.; Scheller, C.P.; Prance, J.R.; Kalyoncu, Y.B.; Zumbühl, D.M.; Haley, R.P. Progress in Cooling Nanoelectronic Devices to Ultra-Low Temperatures. J. Low Temp. Phys. 2020. [Google Scholar] [CrossRef]
- Evangelisti, M. Molecule-Based Magnetic Coolers: Measurement, Design and Application. In Molecular Magnets: Physics and Applications; Bartolomé, J., Luis, F., Fernández, J.F., Eds.; NanoScience and Technology; Springer: Berlin/Heidelberg, Germany, 2014; pp. 365–387. [Google Scholar] [CrossRef]
- Momma, K.; Izumi, F. VESTA 3 for Three-Dimensional Visualization of Crystal, Volumetric and Morphology Data. J. Appl. Crystallogr. 2011, 44, 1272–1276. [Google Scholar] [CrossRef]
- Basler, R.; Chaboussant, G.; Sieber, A.; Andres, H.; Murrie, M.; Kogerler, P.; Bogge, H.; Crans, D.; Krickemeyer, E.; Janssen, S.; et al. CCDC 179691: Experimental Crystal Structure Determination; Cambridge Crystallographic Data Centre: Cambridge, UK, 2003. [Google Scholar] [CrossRef]
- Gatteschi, D.; Tsukerblatt, B.; Barra, A.L.; Brunel, L.C.; Mueller, A.; Doering, J. Magnetic Properties of Isostructural Dodecanuclear Polyoxovanadates with Six and Eight Vanadium(IV) Ions. Inorg. Chem. 1993, 32, 2114–2117. [Google Scholar] [CrossRef]
- Plascak, J.A. Ensemble Thermodynamic Potentials of Magnetic Systems. J. Magn. Magn. Mater. 2018, 468, 224–229. [Google Scholar] [CrossRef]
- Fu, Z.; Xiao, Y.; Su, Y.; Zheng, Y.; Kögerler, P.; Brückel, T. Low-Lying Magnetic Excitations and Magnetocaloric Effect of Molecular Magnet K6[V15As6O42(H2O)]·8H2O. EPL (Europhys. Lett.) 2015, 112, 27003. [Google Scholar] [CrossRef]
- Reu, O.; Palii, A.; Ostrovsky, S.; Wallace, W.; Zaharko, O.; Chandrasekhar, V.; Clerac, R.; Klokishner, S. Experimental Characterization and Theoretical Modeling of a Linear [CoTbIII] Single Molecule Magnet. J. Phys. Chem. C 2013, 117, 6880–6888. [Google Scholar] [CrossRef]
- Das, C.; Vaidya, S.; Gupta, T.; Frost, J.M.; Righi, M.; Brechin, E.K.; Affronte, M.; Rajaraman, G.; Shanmugam, M. Single-Molecule Magnetism, Enhanced Magnetocaloric Effect, and Toroidal Magnetic Moments in a Family of Ln4 Squares. Chem. A Eur. J. 2015, 21, 15639–15650. [Google Scholar] [CrossRef]
- Evangelisti, M.; Luis, F.; de Jongh, L.J.; Affronte, M. Magnetothermal Properties of Molecule-Based Materials. J. Mater. Chem. 2006, 16, 2534–2549. [Google Scholar] [CrossRef]
- Boukhvalov, D.W.; Dobrovitski, V.V.; Katsnelson, M.I.; Lichtenstein, A.I.; Harmon, B.N.; Kögerler, P. Electronic Structure and Exchange Interactions in V15 Magnetic Molecules: LDA+U Results. J. Appl. Phys. 2003, 93, 7080–7082. [Google Scholar] [CrossRef]
- Boukhvalov, D.W.; Dobrovitski, V.V.; Katsnelson, M.I.; Lichtenstein, A.I.; Harmon, B.N.; Kögerler, P. Electronic Structure and Exchange Interactions in V15 Magnetic Molecules: LDA+U Results. Phys. Rev. B 2004, 70, 054417. [Google Scholar] [CrossRef]
- Maslyuk, V.V.; Mertig, I.; Farberovich, O.V.; Tarantul, A.; Tsukerblat, B. Electronic and Spin Structures of Polyoxometalate V15 from a First-Principles Non-Collinear Molecular-Magnetism Approach. Eur. J. Inorg. Chem. 2013, 2013, 1897–1902. [Google Scholar] [CrossRef]
- Sharples, J.W.; Collison, D.; McInnes, E.J.L.; Schnack, J.; Palacios, E.; Evangelisti, M. Quantum Signatures of a Molecular Nanomagnet in Direct Magnetocaloric Measurements. Nat. Commun. 2014, 5, 1–6. [Google Scholar] [CrossRef]
- Pecharsky, V.K.; Gschneidner, K.A.; Pecharsky, A.O.; Tishin, A.M. Thermodynamics of the Magnetocaloric Effect. Phys. Rev. B 2001, 64, 144406. [Google Scholar] [CrossRef]
- Gschneidner, K.A.; Pecharsky, V.K. Magnetocaloric Materials. Annu. Rev. Mater. Sci. 2000, 30, 387–429. [Google Scholar] [CrossRef]
- Pecharsky, V.K.; Gschneidner, K.A. Some Common Misconceptions Concerning Magnetic Refrigerant Materials. J. Appl. Phys. 2001, 90, 4614–4622. [Google Scholar] [CrossRef]
- Wolfram Research, Inc. Mathematica; Version 8.0; Wolfram Research, Inc.: Champaign, IL, USA, 2010. [Google Scholar]
- Julien, M.H.; Jang, Z.H.; Lascialfari, A.; Borsa, F.; Horvatić, M.; Caneschi, A.; Gatteschi, D. Proton NMR for Measuring Quantum Level Crossing in the Magnetic Molecular Ring Fe10. Phys. Rev. Lett. 1999, 83, 227–230. [Google Scholar] [CrossRef]
- Lancaster, T.; Möller, J.S.; Blundell, S.J.; Pratt, F.L.; Baker, P.J.; Guidi, T.; Timco, G.A.; Winpenny, R.E.P. Observation of a Level Crossing in a Molecular Nanomagnet Using Implanted Muons. J. Phys. Condens. Matter 2011, 23, 242201. [Google Scholar] [CrossRef] [PubMed]
- Yamamoto, S. Nuclear Spin-Lattice Relaxation at Field-Induced Level Crossings in a Cr8F8 Pivalate Single Crystal. Phys. B Condens. Matter 2016, 481, 224–231. [Google Scholar] [CrossRef]
- Brumfield, A.; Haraldsen, J.T. Thermodynamics and Magnetic Excitations in Quantum Spin Trimers: Applications for the Understanding of Molecular Magnets. Crystals 2019, 9, 93. [Google Scholar] [CrossRef]
- Zhu, L.; Garst, M.; Rosch, A.; Si, Q. Universally Diverging Grüneisen Parameter and the Magnetocaloric Effect Close to Quantum Critical Points. Phys. Rev. Lett. 2003, 91, 066404. [Google Scholar] [CrossRef]
- Garst, M.; Rosch, A. Sign Change of the Grüneisen Parameter and Magnetocaloric Effect near Quantum Critical Points. Phys. Rev. B 2005, 72, 205129. [Google Scholar] [CrossRef]
- Wolf, B.; Tsui, Y.; Jaiswal-Nagar, D.; Tutsch, U.; Honecker, A.; Remović-Langer, K.; Hofmann, G.; Prokofiev, A.; Assmus, W.; Donath, G.; et al. Magnetocaloric Effect and Magnetic Cooling near a Field-Induced Quantum-Critical Point. Proc. Natl. Acad. Sci. USA 2011, 108, 6862–6866. [Google Scholar] [CrossRef]
- Wolf, B.; Honecker, A.; Hofstetter, W.; Tutsch, U.; Lang, M. Cooling through Quantum Criticality and Many-Body Effects in Condensed Matter and Cold Gases. Int. J. Mod. Phys. B 2014, 28, 1430017. [Google Scholar] [CrossRef]
- Biswas, A.; Chandra, S.; Samanta, T.; Ghosh, B.; Datta, S.; Phan, M.H.; Raychaudhuri, A.K.; Das, I.; Srikanth, H. Universality in the Entropy Change for the Inverse Magnetocaloric Effect. Phys. Rev. B 2013, 87, 134420. [Google Scholar] [CrossRef]
- Karmakar, S.K.; Giri, S.; Majumdar, S. Universal Field Dependence of Conventional and Inverse Magnetocaloric Effects in DyCo2Si2. J. Appl. Phys. 2017, 121, 043901. [Google Scholar] [CrossRef]
- Fitta, M.; Bałanda, M.; Mihalik, M.; Pełka, R.; Pinkowicz, D.; Sieklucka, B.; Zentkova, M. Magnetocaloric Effect in M–Pyrazole–[Nb(CN)8] (M = Ni, Mn) Molecular Compounds. J. Phys. Condens. Matter 2012, 24, 506002. [Google Scholar] [CrossRef] [PubMed]
- Pełka, R.; Konieczny, P.; Zieliński, P.M.; Wasiutyński, T.; Miyazaki, Y.; Inaba, A.; Pinkowicz, D.; Sieklucka, B. Magnetocaloric Effect in {[Fe(Pyrazole)4]2[Nb(CN)8]·4H2O}n Molecular Magnet. J. Magn. Magn. Mater. 2014, 354, 359–362. [Google Scholar] [CrossRef]
- Pełka, R.; Gajewski, M.; Miyazaki, Y.; Yamashita, S.; Nakazawa, Y.; Fitta, M.; Pinkowicz, D.; Sieklucka, B. Magnetocaloric Effect in Mn2-Pyrazole-[Nb(CN)8] Molecular Magnet by Relaxation Calorimetry. J. Magn. Magn. Mater. 2016, 419, 435–441. [Google Scholar] [CrossRef]
- Tarasenko, R.; Danylchenko, P.; Tkáč, V.; Orendáčová, A.; Čižmár, E.; Orendáč, M.; Feher, A. Experimental Study of the Magnetocaloric Effect in [Ni(fum)(phen)]—The Ferromagnetic Dimer with Spin 1. Phys. B Condens. Matter 2020, 576, 411671. [Google Scholar] [CrossRef]
- Evangelisti, M.; Roubeau, O.; Palacios, E.; Camón, A.; Hooper, T.N.; Brechin, E.K.; Alonso, J.J. Cryogenic Magnetocaloric Effect in a Ferromagnetic Molecular Dimer. Angew. Chem. Int. Ed. 2011, 50, 6606–6609. [Google Scholar] [CrossRef]
- Abellán, G.; Mínguez Espallargas, G.; Lorusso, G.; Evangelisti, M.; Coronado, E. Layered Gadolinium Hydroxides for Low-Temperature Magnetic Cooling. Chem. Commun. 2015, 51, 14207–14210. [Google Scholar] [CrossRef]
- Chen, Y.C.; Prokleška, J.; Xu, W.J.; Liu, J.L.; Liu, J.; Zhang, W.X.; Jia, J.H.; Sechovský, V.; Tong, M.L. A Brilliant Cryogenic Magnetic Coolant: Magnetic and Magnetocaloric Study of Ferromagnetically Coupled GdF3. J. Mater. Chem. C 2015, 3, 12206–12211. [Google Scholar] [CrossRef]
- Gass, I.A.; Brechin, E.K.; Evangelisti, M. Cryogenic Magnetocaloric Effect in the Fe17 Molecular Nanomagnet. Polyhedron 2013, 52, 1177–1180. [Google Scholar] [CrossRef]
- Martínez-Pérez, M.J.; Montero, O.; Evangelisti, M.; Luis, F.; Sesé, J.; Cardona-Serra, S.; Coronado, E. Fragmenting Gadolinium: Mononuclear Polyoxometalate-Based Magnetic Coolers for Ultra-Low Temperatures. Adv. Mater. 2012, 24, 4301–4305. [Google Scholar] [CrossRef] [PubMed]
- Amaral, J.S.; Amaral, V.S. On Estimating the Magnetocaloric Effect from Magnetization Measurements. J. Magn. Magn. Mater. 2010, 322, 1552–1557. [Google Scholar] [CrossRef]
- Pecharsky, V.K.; Gschneidner, K.A.; Mudryk, Y.; Paudyal, D. Making the Most of the Magnetic and Lattice Entropy Changes. J. Magn. Magn. Mater. 2009, 321, 3541–3547. [Google Scholar] [CrossRef]
- Basso, V. Basics of the Magnetocaloric Effect. arXiv 2017, arXiv:1702.08347. [Google Scholar]
- Schnack, J. Influence of Intermolecular Interactions on Magnetic Observables. Phys. Rev. B 2016, 93, 054421. [Google Scholar] [CrossRef]












© 2020 by the author. Licensee MDPI, Basel, Switzerland. This article is an open access article distributed under the terms and conditions of the Creative Commons Attribution (CC BY) license (http://creativecommons.org/licenses/by/4.0/).
Share and Cite
Szałowski, K. Low-Temperature Magnetocaloric Properties of V12 Polyoxovanadate Molecular Magnet: A Theoretical Study. Materials 2020, 13, 4399. https://doi.org/10.3390/ma13194399
Szałowski K. Low-Temperature Magnetocaloric Properties of V12 Polyoxovanadate Molecular Magnet: A Theoretical Study. Materials. 2020; 13(19):4399. https://doi.org/10.3390/ma13194399
Chicago/Turabian StyleSzałowski, Karol. 2020. "Low-Temperature Magnetocaloric Properties of V12 Polyoxovanadate Molecular Magnet: A Theoretical Study" Materials 13, no. 19: 4399. https://doi.org/10.3390/ma13194399
APA StyleSzałowski, K. (2020). Low-Temperature Magnetocaloric Properties of V12 Polyoxovanadate Molecular Magnet: A Theoretical Study. Materials, 13(19), 4399. https://doi.org/10.3390/ma13194399

