Advanced Test Setup for Accelerated Aging of Plastics by Visible LED Radiation
Abstract
1. Introduction
- The sample chamber is thermostatted by the circulation of a liquid, which enables a temperature control of the sample independent of the radiant power of the LED.
- All operating parameters of the experimental setup are measured or simulated in advance.
- The specimens are aged separately from each other in individual chambers, which avoids mutual influence of the samples during aging.
- The chamber geometry can theoretically be replaced at will by other geometries, so that samples of different shapes and sizes can be tested.
- The LED and sample temperature as well as the irradiation on the sample surface are monitored during the entire test duration.
- An independent design of the MLTIS enables massive parallelization by using further chambers.
2. Materials and Methods
2.1. Experimental Setup
2.1.1. Design of the “Monitored Liquid Thermostatted Irradiation Setup” (MLTIS)
2.1.2. Sample Chamber
2.1.3. Multiple Chips on Board LED
2.1.4. Irradiance Simulation
2.1.5. Sample Temperature Measurement
2.2. Aging and Analysis Methods
2.2.1. Sample Geometry and Aging Conditions
2.2.2. FTIR-Spectroscopy
2.2.3. UV/vis-Spectroscopy
3. Results
3.1. Characterization of the Experimental Setup
3.1.1. LED Radiant Flux and Spectrum
3.1.2. Degree of Irradiance at the Sample Level
3.1.3. Sample Temperature
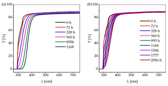
3.2. Polycarbonate Aging Results
4. Discussion and Outlook
Author Contributions
Funding
Acknowledgments
Conflicts of Interest
Appendix A

| Baseline Correction Number | Wavenumber (cm−1) |
|---|---|
| 1 | 599.763 |
| 2 | 689.920 |
| 3 | 794.059 |
| 4 | 865.413 |
| 5 | 951.714 |
| 6 | 1050.55 |
| 7 | 1345.128 |
| 8 | 1432.392 |
| 9 | 1541.352 |
| 10 | 1569.315 |
| 11 | 1621.385 |
| 12 | 1866.786 |
| 13 | 1925.123 |
| 14 | 1987.318 |
| 15 | 2155.097 |
| 16 | 2268.396 |
| 17 | 2427.015 |
| 18 | 2670.006 |
| 19 | 3005.083 |
| 20 | 3266.394 |
| 21 | 3488.171 |
| 22 | 3717.180 |
| 23 | 4000.188 |
References
- Zissis, G.; Bertoldi, P. JRC Technical Reports: Status of LED-lighting world market in 2017; Joint Research Centre: Ispra, Italy, 2018. [Google Scholar]
- Tsao, J.Y.; Wierer, J.J.; Rohwer, L.E.S.; Coltrin, M.E.; Crawford, M.H.; Simmons, J.A.; Hung, P.-C.; Saunders, H.; Sizov, D.S.; Bhat, R.; et al. Ultra-efficient Solid-State Lighting: Likely Characteristics, Economic Benefits, Technological Approaches. In III-Nitride Based Light Emitting Diodes and Applications, 2nd ed.; Seong, T.-Y., Han, J., Amano, H., Morkoç, H., Eds.; Springer: Singapore, 2017; pp. 11–28. [Google Scholar]
- Mottier, P. LEDs for Lighting Applications; ISTE Ltd.: London, UK, 2010. [Google Scholar]
- Winkler, H.; Bodrogi, P.; Trinh, Q.; Khanh, T.Q. LED Lighting. Technology and Perception; Wiley-VCH: Weinheim, Germany, 2015. [Google Scholar]
- Baer, R.; Barfuß, M.; Seifert, D. Beleuchtungstechnik, 4th ed.; Huss-Medien GmbH: Berlin, Germany, 2016. [Google Scholar]
- Mishra, M. Handbook of Vinyl Polymers. Radical Polymerization, Process, and Technology, 2nd ed.; CRC Press: Hoboken, NJ, USA, 2008. [Google Scholar]
- Khanh, T.Q. Proceedings of the 11th International Symposium on Automotive Lighting; Herbert Utz Verlag: München, Germany, 2015. [Google Scholar]
- Žukauskas, A.; Shur, M.; Gaska, R. Introduction to solid-state lighting; Wiley: New York, NY, USA, 2002. [Google Scholar]
- Meyer, J.; Tappe, F. Photoluminescent Materials for Solid-State Lighting: State of the Art and Future Challenges. Adv. Opt. Mater. 2015, 3, 424–430. [Google Scholar] [CrossRef]
- Ehrenstein, G.W.; Pongratz, S. Beständigkeit von Kunststoffen; Hanser: München, Germany, 2007. [Google Scholar]
- Rivaton, A. Recent advances in bisphenol-A polycarbonate photodegradation. Polym. Degrad. Stab. 1995, 49, 163–179. [Google Scholar] [CrossRef]
- Pickett, J.E. Influence of photo-Fries reaction products on the photodegradation of bisphenol-A polycarbonate. Polym. Degrad. Stab. 2011, 96, 2253–2265. [Google Scholar] [CrossRef]
- Rivaton, A.; Sallet, D.; Lemaire, J. The photochemistry of bisphenol-A polycarbonate reconsidered. Polym. Photochem. 1983, 3, 463–481. [Google Scholar] [CrossRef]
- Rivaton, A.; Sallet, D.; Lemaire, J. The photo-chemistry of bisphenol-A polycarbonate reconsidered: Part 2—FTIR analysis of the solid-state photo-chemistry in ‘dry’ conditions. Polym. Degrad. Stab. 1986, 14, 1–22. [Google Scholar] [CrossRef]
- Sikora, A.; Tomczuk, K. Impact of the LED-based light source working regime on the degradation of polymethyl methacrylate. Lighting Res. Technol. 2020, 52, 94–105. [Google Scholar] [CrossRef]
- Gardette, M.; Perthue, A.; Gardette, J.-L.; Janecska, T.; Földes, E.; Pukánszky, B.; Therias, S. Photo- and thermal-oxidation of polyethylene: Comparison of mechanisms and influence of unsaturation content. Polym. Degrad. Stab. 2013, 98, 2383–2390. [Google Scholar] [CrossRef]
- Yazdan Mehr, M.; Toroghinejad, M.R.; Karimzadeh, F.; van Driel, W.D.; Zhang, G.Q. Reliability and diffusion-controlled through thickness oxidation of optical materials in LED-based products. Microelectron. Reliab. 2017, 78, 143–147. [Google Scholar] [CrossRef]
- Yazdan Mehr, M.; van Driel, W.D.; Jansen, K.M.B.; Deeben, P.; Zhang, G.Q. Lifetime assessment of Bisphenol-A Polycarbonate (BPA-PC) plastic lens, used in LED-based products. Microelectron. Reliab. 2014, 54, 138–142. [Google Scholar] [CrossRef]
- Yazdan Mehr, M.; van Driel, W.D.; Koh, S.; Zhang, G.Q. Reliability and optical properties of LED lens plates under high temperature stress. Microelectron. Reliab. 2014, 54, 2440–2447. [Google Scholar] [CrossRef]
- Yazdan Mehr, M. Organic materials degradation in solid state lighting applications. Ph.D. Thesis, Technical University of Delft, Delft, The Netherlands, November 2015. [Google Scholar]
- Yazdan Mehr, M.; van Driel, W.D.; Zhang, G.Q. Reliability and Lifetime Assessment of Optical Materials in LED-Based Products. In Solid State Lighting Reliability: Components to Systems; van Driel, W.D., Fan, X., Zhang, G.Q., Eds.; Springer: Cham, Switzerland, 2018; pp. 115–139. [Google Scholar]
- Yazdan Mehr, M.; van Driel, W.D.; Zhang, G.Q. Progress in Understanding Color Maintenance in Solid-State Lighting Systems. Engineering 2015, 1, 170–178. [Google Scholar] [CrossRef]
- Lu, G.; Yazdan Mehr, M.; van Driel, W.D.; Fan, X.; Fan, J.; Jansen, K.M.B.; Zhang, G.Q. Color Shift Investigations for LED Secondary Optical Designs: Comparison between BPA-PC and PMMA. Opt. Mater. 2015, 45, 37–41. [Google Scholar] [CrossRef]
- Yazdan Mehr, M.; Toroghinejad, M.R.; Karimzadeh, F.; van Driel, W.D.; Zhang, G.Q. A review on discoloration and high accelerated testing of optical materials in LED based-products. Microelectron. Reliab. 2018, 81, 136–142. [Google Scholar] [CrossRef]
- Yazdan Mehr, M.; van Driel, W.D.; Jansen, K.M.B.; Deeben, P.; Boutelje, M.; Zhang, G.Q. Photodegradation of bisphenol A polycarbonate under blue light radiation and its effect on optical properties. Opt. Mater. 2013, 35, 504–508. [Google Scholar] [CrossRef]
- Yazdan Mehr, M.; van Driel, W.D.; Udono, H.; Zhang, G.Q. Surface aspects of discolouration in Bisphenol A Polycarbonate (BPA-PC), used as lens in LED-based products. Opt. Mater. 2014, 37, 155–159. [Google Scholar] [CrossRef]
- Gandhi, K.; Hein, C.L.; van Heerbeek, R.; Pickett, J.E. Acceleration parameters for polycarbonate under blue LED photo-thermal aging conditions. Polym. Degrad. Stab. 2019, 164, 69–74. [Google Scholar] [CrossRef]
- DIN6167, D.I. Beschreibung der Vergilbung von nahezu weißen oder nahezu farblosen Materialien; Deutsches Institut für Normung e.V.: Berlin, Germany, 1980. [Google Scholar]
- Rabek, J.F. Polymer Photodegradation. Mechanisms and Experimental Methods; Springer Science & Business Media: Dordrecht, The Netherlands, 2012. [Google Scholar]
- Baltscheit, J.; Schmidt, N.; Schröder, F.; Meyer, J. Investigations on the aging behavior of transparent bioplastics for optical applications. InfoMat 2020, 2, 424–433. [Google Scholar] [CrossRef]













| Current I (A) | Luminous Flux фv (lm) | Radiant Flux фe (W) | Efficiency η (%) |
|---|---|---|---|
| 0.486 | 512 | 15.96 | 67.3 |
| 0.648 | 674 | 21.09 | 65.9 |
| 0.810 | 831 | 26.17 | 64.7 |
| 0.972 | 983 | 30.98 | 63.2 |
| 1.134 | 1135 | 35.79 | 62.0 |
| 1.296 | 1287 | 40.24 | 60.5 |
| 1.458 | 1431 | 44.84 | 59.4 |
| 1.620 | 1563 | 49.27 | 58.3 |
| 1.944 | 1841 | 58.05 | 56.3 |
| 2.268 | 2110 | 66.48 | 54.5 |
| 2.592 | 2370 | 74.42 | 52.7 |
| 2.916 | 2624 | 82.15 | 51.1 |
| 3.240 | 2866 | 89.25 | 49.5 |
© 2020 by the authors. Licensee MDPI, Basel, Switzerland. This article is an open access article distributed under the terms and conditions of the Creative Commons Attribution (CC BY) license (http://creativecommons.org/licenses/by/4.0/).
Share and Cite
Hemmerich, M.; Meyer, J.; Walther, F. Advanced Test Setup for Accelerated Aging of Plastics by Visible LED Radiation. Materials 2020, 13, 4261. https://doi.org/10.3390/ma13194261
Hemmerich M, Meyer J, Walther F. Advanced Test Setup for Accelerated Aging of Plastics by Visible LED Radiation. Materials. 2020; 13(19):4261. https://doi.org/10.3390/ma13194261
Chicago/Turabian StyleHemmerich, Moritz, Jörg Meyer, and Frank Walther. 2020. "Advanced Test Setup for Accelerated Aging of Plastics by Visible LED Radiation" Materials 13, no. 19: 4261. https://doi.org/10.3390/ma13194261
APA StyleHemmerich, M., Meyer, J., & Walther, F. (2020). Advanced Test Setup for Accelerated Aging of Plastics by Visible LED Radiation. Materials, 13(19), 4261. https://doi.org/10.3390/ma13194261

