Comparative Analysis of Thermophysiological Comfort-Related Properties of Elastic Knitted Fabrics for Cycling Sportswear
Abstract
1. Introduction
2. Materials and Methods
2.1. Materials
2.2. Methods
2.2.1. Sample Preparation
2.2.2. Thickness Measurement
2.2.3. Bulk Density
2.2.4. Porosity
2.2.5. Air Permeability
2.2.6. Moisture Management
2.2.7. Water Vapor Permeability
2.2.8. Drying Time
2.2.9. Thermal Properties
3. Results and Discussion
3.1. Air permeability
3.2. Moisture Management
3.3. Water Vapor Permeability
3.4. Drying Time
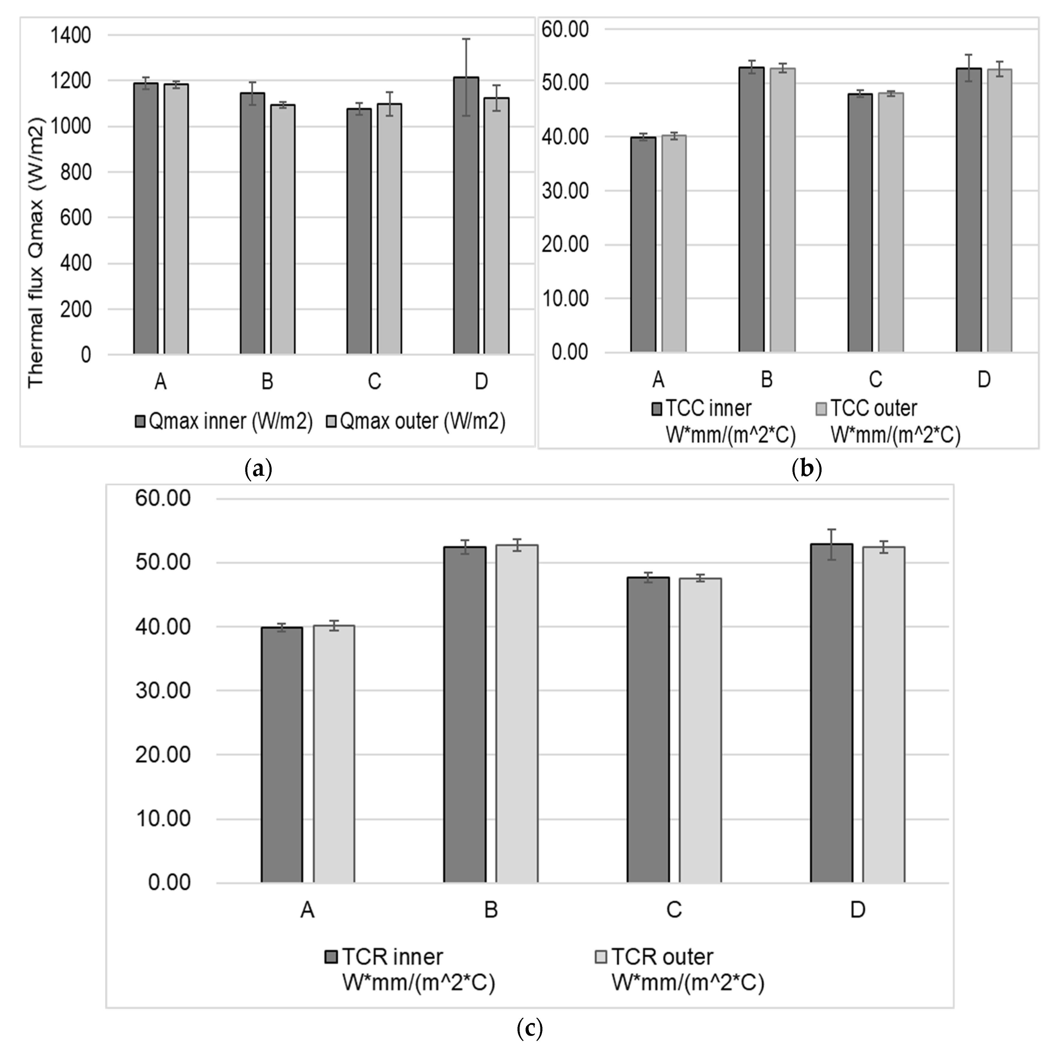
3.5. Thermal Properties
4. Conclusions
Author Contributions
Funding
Acknowledgments
Conflicts of Interest
References
- Chowdhury, P.; Samanta, K.K.; Basak, S. Recent Development in Textile for Sportswear Application. Int. J. Eng. Res. Technol. 2014, 3, 1905–1910. [Google Scholar]
- Liu, R.; Little, T. The 5Ps Model to Optimize Compression Athletic Wear Comfort in Sports. J. Fiber Bioeng. Inform. 2009, 2, 41–52. [Google Scholar] [CrossRef]
- Wang, F.; Cai, X.; Zhang, C.; Shi, W.; Lu, Y.; Song, G. Assessing the Performance of a Conceptual Tight-fitting Body Mapping Sportswear (BMS) Kit in a Warm Dry Environment. Fibers Polym. 2016, 17, 151–159. [Google Scholar] [CrossRef]
- Bartels, V.T. Physiological comfort of sportswear. In Textiles in Sport, 1st ed.; Shishoo, R., Ed.; Woodhead Publishing: Cambridge, UK, 2005; pp. 43–44. ISBN 8995385804. [Google Scholar]
- Kumar, S.; Toh, P.; Fei, C.; David, J. A pilot study: Evaluating the influence of knitting patterns and densities on fabric properties for sports applications. Procedia Eng. 2013, 60, 373–377. [Google Scholar] [CrossRef][Green Version]
- Das, A.; Alagirusamy, R. Science in Clothing Comfort, 1st ed.; Woodhead Publishing India Pvt. Ltd.: Cambridge, UK, 2010; ISBN 9781845697891. [Google Scholar]
- Kurtoğlu Necef, Ö.; Tama, D.; Öndoğan, Z. Characteristics of athletic apparel products. In Proceedings of the 13th International Izmir Textile and Apparel Symposium, Antalya, Turkey, 2–5 April 2014; pp. 419–423. [Google Scholar]
- Ozdil, N.; Anand, S. Recent Developments in Textile Materials and Products Used for Activewear and Sportwear. Electron. J. Text. Technol. 2014, 8, 68–83. [Google Scholar]
- Ashdown, S.P. Improving body movement comfort in apparel. In Improving Comfort in Clothing, 1st ed.; Song, G., Ed.; Woodhead Publishing Limited: Cambridge, UK, 2011; pp. 278–302. ISBN 9781845695392. [Google Scholar]
- Nichols, D. Practical Recommendations for Endurance Cycling in Hot/Humid Conditions. ASPETAR Sports Med. J. 2016, 9. Available online: https://www.aspetar.com/journal/viewarticle.aspx?id=340#.X1oDkHkzaUk (accessed on 10 September 2020).
- Sinclair, R. Textiles and Fashion: Materials, Design and Technology; Woodhead Publishing Limited in Association with the Textile Institute: Cambridge, UK, 2015; ISBN 9781845699314. [Google Scholar]
- Bhatia, D.; Malhotra, U. Thermophysiological Wear Comfort of Clothing: An Overview. J. Text. Sci. Eng. 2016, 6, 250. [Google Scholar] [CrossRef]
- Manshahia, M.; Das, A. High active sportswear–A critical review. Indian J. Fibre Text. Res. 2014, 39, 441–449. [Google Scholar]
- Bishop, P.A. Ergonomics and Comfort in Protective and Sport Clothing: A Brief Review. J. Ergon. 2014, S2. [Google Scholar] [CrossRef]
- Mandal, S.; Annaheim, S. Evaluation of Thermo-Physiological Comfort of Clothing Using Manikins; Woodhead Publishing: Cambridge, UK, 2017; ISBN 9780081009093. [Google Scholar]
- Li, Y. Perceptions of temperature, moisture and comfort in clothing during environmental transients. Ergonomics 2005, 48, 234–248. [Google Scholar] [CrossRef] [PubMed]
- Yi, K.F. Effect of Heat and Moisture Transfer Properties of T-Shirts on Comfort Sensations; The Hong Kong Polytechnic University: Hong Kong, China, 2006. [Google Scholar]
- Theses, M.; Wigboldy, K. The Effects of a Moisture-Wicking Fabric Shirt on the Physiological Responses during Acute Exercise in the Heat; Wester Michigan University: Kalamzoo, MI, USA, 2013. [Google Scholar]
- Uttam, D. Active Sportswear Fabrics. Int. J. IT Eng. Appl. Sci. Res. 2013, 2, 34–40. [Google Scholar]
- Teyeme, Y.W.; Malengier, B.; Tesfaye, T.; Ciocci, M.; Vasile, S.; Van Langenhove, L. An Empirical Analysis of Potential Cyclist Injuries and Cycling Outfit Comfort. J. Text. Sci. Fash. Technol. 2019, 4, 1–10. [Google Scholar] [CrossRef]
- Clarsen, B. Overuse Injuries in Professional Road Cyclists. Master’s Thesis, Sports Physiotherapy, Norwegian School of Sports Science, Oslo, Norway, 2009. [Google Scholar]
- Goto, K.; Mizuno, S.; Mori, A. Efficacy of wearing compression garments during post-exercise period after two repeated bouts of strenuous exercise: A randomized crossover design in healthy, active males. Sports Med. Open 2017, 3, 25. [Google Scholar] [CrossRef] [PubMed]
- Qiu, C.; Hu, Y. Design of outdoor Sports Monitoring Function Cycling Jerseys. Eur. J. Bus. Soc. Sci. 2015, 4, 180–189. [Google Scholar]
- Bhattacharya, S.S.; Ajmeri, J.R. Factors Affecting Air Permeability of Viscose & Excel Single Jersey Fabric. Int. J. Eng. Res. Dev. 2013, 5, 48–54. [Google Scholar]
- Öner, E.; Okur, A. Thermophysiological comfort properties of selected knitted fabrics and design of T-shirts. J. Text. Inst. 2015, 106, 1403–1414. [Google Scholar] [CrossRef]
- Baker, L.; Chen, H.L.; Cluver, B. The effect of textiles on clothing physiological comfort while backpacking in the cold. J. Text. Eng. Fash. Technol. Res. 2017, 2, 266–272. [Google Scholar] [CrossRef][Green Version]
- Bedek, G.; Salaün, F.; Martinkovska, Z.; Devaux, E.; Dupont, D. Evaluation of thermal and moisture management properties on knitted fabrics and comparison with a physiological model in warm conditions. Appl. Ergon. 2011, 42, 792–800. [Google Scholar] [CrossRef]
- Frydrych, I.; Dziworska, G.; Bilska, J. Comparative analysis of the thermal insulation properties of fabrics made of natural and man-made cellulose fibres. Fibres Text. East. Eur. 2002, 10, 40–44. [Google Scholar]
- Yanılmaz, M.; Kalaoğlu, F. Investigation of wicking, wetting and drying properties of acrylic knitted fabrics. Text. Res. J. 2012, 82, 820–831. [Google Scholar] [CrossRef]
- Taylor, P.; Raja, D.; Prakash, C.; Gunasekaran, G.; Koushik, C.V. A study on thermal properties of single-jersey knitted fabrics produced from ring and compact folded yarns. J. Text. Inst. 2014, 106, 359–365. [Google Scholar] [CrossRef]
- Vasile, S.; Malengier, B.; De Raeve, A.; Binti Haji Musa, A. FTT comfort indices of ring-spun and air-jet knitted fabrics with post-treatments. IOP Conf. Ser. Mater. Sci. Eng. 2017, 254, 1–8. [Google Scholar] [CrossRef]
- Causa, A.; Netravali, A. Characterization and Measurement of Textile Fabric Properties; Woodhead Publishing Limited: Cambridge, UK, 2008; ISBN 9781845691356. [Google Scholar]
- Oğlakcioğlu, N.; Marmarali, A. Thermal Comfort Properties of Some Knitted Structures. Fibres Text. East. Eur. 2007, 15, 94–96. [Google Scholar]
- Lee, K. Design Implementation, Fabric Analysis, and Physiological and Subjective Testing of a Sportswear Garment Prototype; Auburn University: Auburn, AL, USA, 2014; p. 80. [Google Scholar]
- Troynikov, O.; Ashyeri, E. Thermoregulatory evaluation of triathlon suits in regards to their physiological comfort properties. Procedia Eng. 2011, 13, 357–362. [Google Scholar] [CrossRef]
- EN ISO 139:2005. Textiles—Standard Atmospheres for Conditioning and Testing; ISO: Geneva, Switzerland, 2005.
- ASTM D1777:2007. Standard Test Method for Thickness of Textile Materials; ASTM International: West Conshohocken, PA, USA, 2007.
- ISO 9237:1995. Textiles—Determination of the Permeability of Fabrics to Air. Available online: https://www.iso.org/obp/ui/#iso:std:iso:9237:ed-1:v1:en (accessed on 23 April 2019).
- AATCC 195-2011. Liquid Moisture Management Properties of Textile Fabrics; American Association of Textile Chemists and Colorist: Research Triangle Park, NC, USA, 2020; pp. 366–370.
- ISO 15496:2015. Measurement of Water Vapour Permeability of Textiles for the the Purpose of Quality Control; Institute for Standardization: Sarajevo, Bosnia and Herzegovina, 2015.
- ISO/FDIS 17617:2014. Textile Determination of Moisture Drying Rate; ISO: Geneva, Switzerland, 2014.
- ISO 105-E04:2013. Textiles—Tests for Colour Fastness—Part E04: Colour Fastness to Perspiration. Available online: https://www.iso.org/standard/57973.html (accessed on 23 April 2019).
- Hu, J. Characterization of Sensorial Comfort of Apparel Products; The Hong Kong Polytechnic University: Hong Kong, China, 2006. [Google Scholar]
- Jevšnik, S.; Yi, L.; Hu, J.; Xiao, H.; Wu, X.; Primentas, A. Thermal-Mechanical Sensory Properties of Hot-Air Welded Textile Transmission Lines. Tekstilec 2016, 59, 126–131. [Google Scholar] [CrossRef]
- Vasile, S.; Malengier, B.; De Raeve, A.; Deruyck, F. Influence of selected production parameters on the hand of mattress knitted fabrics assessed by the Fabric Touch Tester. Text. Res. J. 2019, 89, 98–112. [Google Scholar] [CrossRef]
- Nazir, A.; Hussain, T.; Ahmad, F.; Faheem, S. Effect of knitting parameters on moisture management and air permeability of interlock fabrics. Autex Res. J. 2014, 14, 39–46. [Google Scholar] [CrossRef]
- Baltušnikaite, J.; Abraitiene, A.; Stygiene, L.; Krauledas, S.; Rubežiene, V.; Varnaite-Žuravliova, S. Investigation of moisture transport properties of knitted materials intended for warm underwear. Fibres Text. East. Eur. 2014, 22, 93–101. [Google Scholar]
- Kanakaraj, P.; Ramachandran, R. Active Knit Fabrics-Functional Needs of Sportswear Application. J. Text. Appar. Technol. Manag. 2015, 9, 1–11. [Google Scholar]
- Tabor, J.; Chatterjee, K.; Ghosh, T.K. Smart Textile-Based Personal Thermal Comfort Systems: Current Status and Potential Solutions. Adv. Mater. Technol. 2020, 5, 1901155. [Google Scholar] [CrossRef]
- Kumar, P.; Sinha, S.K.; Ghosh, S. Moisture management behaviour of modified polyester wool fabrics. Fash. Text. 2015, 2, 5. [Google Scholar] [CrossRef]





| Sample Code | Raw Material % (PA6.6/EL) | Structure | Mass per Unit Area (g/m2) | Thickness (mm) | Bulk Density (kg/cm3) | Porosity % | Stitch Density | Elongation % | ||
|---|---|---|---|---|---|---|---|---|---|---|
| Wales/cm | Course/cm | L | W | |||||||
| A | 58/42 | Single tricot | 146.4 (5.85) | 0.29 (0.01) | 511.82 (8.03) | 55.3 (0.7) | 31 | 37 | 125 | 157 |
| B | 64/36 | Double tricot | 179.64 (3.39) | 0.42 (0.00) | 427.71 (8.06) | 62.6 (0.7) | 32 | 39 | 160 | 130 |
| C | 75/25 | Double tricot | 172.82 (0.66) | 0.40 (0.00) | 434.27 (5.46) | 62 (0.5) | 31 | 48 | 135 | 185 |
| D | 57/43 | Tricot with pillar stitch | 273.06 (4.46) | 0.44 (0.01) | 623.51 (10.04) | 45.5 (0.9) | 19 | 29 | 155 | 170 |
| Sample Code | Side | Wetting Time (s) | Absorption Rate (%/s) | Max Wetted Radius (mm) | Spreading Speed mm/s | Accumulative One-Way Transport Index R (%) | OMMC |
|---|---|---|---|---|---|---|---|
| A | T | 5.73 (0.4) | 50.19 (32.35) | 8.33 (2.46) | 0.89 (0.08) | 385.76 (52.7) | 0.61 (0.05) |
| B | 9.59 (2.6) | 60.42 (8.29) | 8.33 (2.46) | 0.59 (0.17) | |||
| B | T | 6.40 (0.5) | 42.17 (18.1) | 10.0 (0) | 0.83 (0.06) | 125.80 (33.7) | 0.2 (0.03) |
| B | 20.04 (5.8) | 14.87 (1) | 10.0 (0) | 0.37 (0.13) | |||
| C | T | 7.24 (0.7) | 53.23 (7.1) | 5.0 (0) | 0.68 (0.08) | 145.91 (38.0) | 0.28 (0.05) |
| B | 18.82 (2.2) | 33.60 (6.5) | 5.0 (0) | 0.27 (0.03) | |||
| D | T | 7.31 (1.8) | 46.56 (20.18) | 11.5 (4) | 0.84 (0.25) | –46.47 (280.36) | 0.20 (0.17) |
| B | 14.21 (7.48) | 33.46 (19.60) | 12.25 (3.8) | 0.57 (0.19) |
© 2020 by the authors. Licensee MDPI, Basel, Switzerland. This article is an open access article distributed under the terms and conditions of the Creative Commons Attribution (CC BY) license (http://creativecommons.org/licenses/by/4.0/).
Share and Cite
Teyeme, Y.; Malengier, B.; Tesfaye, T.; Vasile, S.; Van Langenhove, L. Comparative Analysis of Thermophysiological Comfort-Related Properties of Elastic Knitted Fabrics for Cycling Sportswear. Materials 2020, 13, 4024. https://doi.org/10.3390/ma13184024
Teyeme Y, Malengier B, Tesfaye T, Vasile S, Van Langenhove L. Comparative Analysis of Thermophysiological Comfort-Related Properties of Elastic Knitted Fabrics for Cycling Sportswear. Materials. 2020; 13(18):4024. https://doi.org/10.3390/ma13184024
Chicago/Turabian StyleTeyeme, Yetanawork, Benny Malengier, Tamrat Tesfaye, Simona Vasile, and Lieva Van Langenhove. 2020. "Comparative Analysis of Thermophysiological Comfort-Related Properties of Elastic Knitted Fabrics for Cycling Sportswear" Materials 13, no. 18: 4024. https://doi.org/10.3390/ma13184024
APA StyleTeyeme, Y., Malengier, B., Tesfaye, T., Vasile, S., & Van Langenhove, L. (2020). Comparative Analysis of Thermophysiological Comfort-Related Properties of Elastic Knitted Fabrics for Cycling Sportswear. Materials, 13(18), 4024. https://doi.org/10.3390/ma13184024

