Early Loading of Mandibular Molar Single Implants: 1 Year Results of a Randomized Controlled Clinical Trial
Abstract
1. Introduction
2. Materials and Methods
2.1. Study Ddesign
2.2. Sample Size Calculation
2.3. Participants
2.4. Treatment Procedure
2.4.1. Preoperative Diagnosis and Preparation
2.4.2. Implant Placement
2.4.3. Prosthesis Procedure
2.4.4. Measurement of Implant Stability
2.4.5. Measurement of Marginal Bone Loss
2.4.6. Recall Visit Procedures and Implant Evaluation
2.5. Statistical Analysis
3. Results
3.1. Participants and Implants
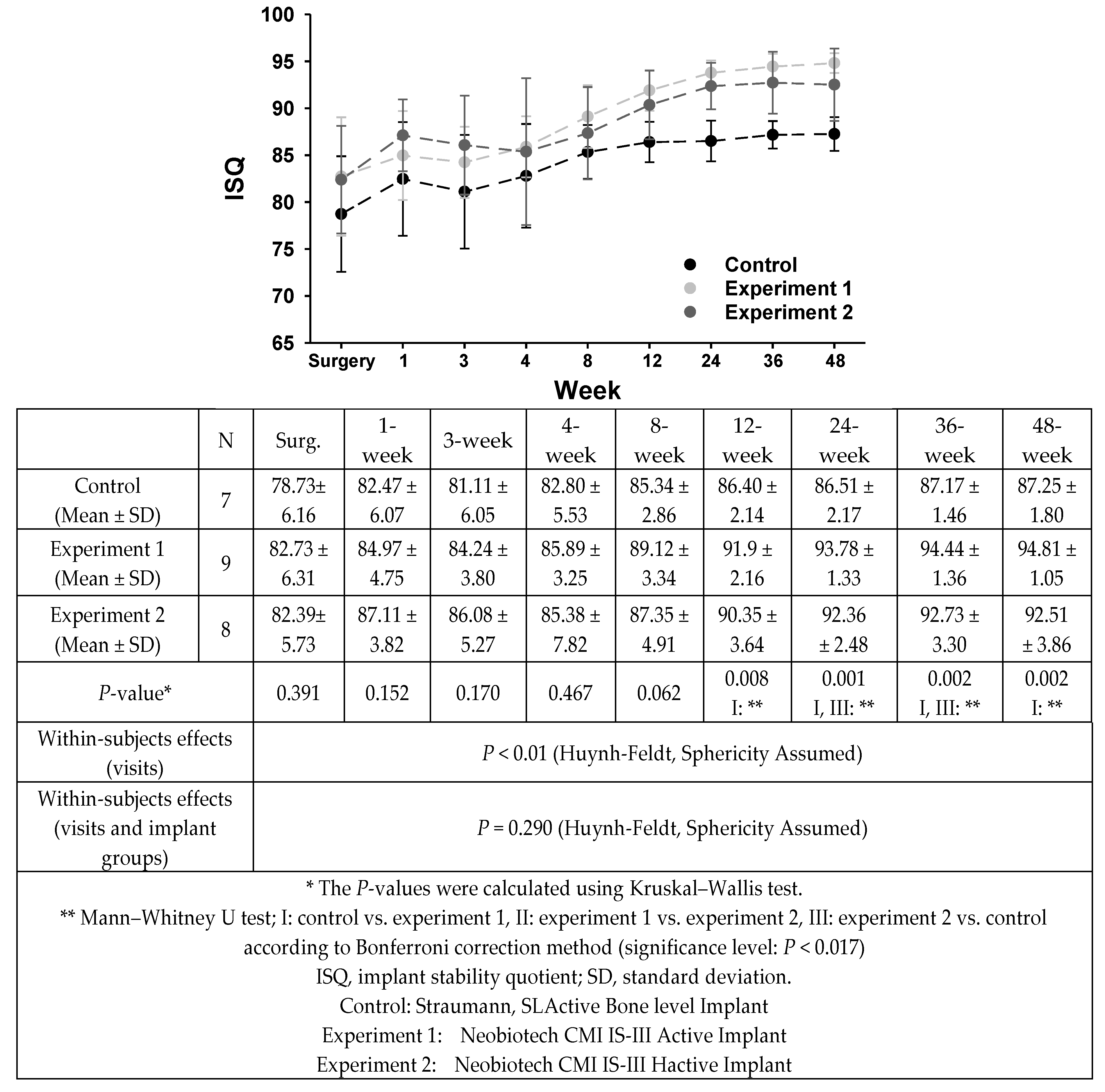
3.2. Comparison of Implant Stability among the Three Different Types of Implants
3.3. Comparison of Marginal Bone Loss among Three Different Types of Implants
3.4. Evaluation of the Peri-implant Soft Tissue Parameters and Success Rates of Three Types of Implants
4. Discussion
5. Conclusions
Author Contributions
Funding
Conflicts of Interest
References
- Brånemark, P.I.; Adell, R.; Albrektsson, T.; Lekholm, U.; Lundkvist, S.; Rockler, B. Osseointegrated titanium fixtures in the treatment of edentulousness. Biomaterials 1983, 4, 25–28. [Google Scholar] [CrossRef]
- Szmukler-Moncler, S.; Salama, H.; Reingewirtz, Y.; Dubruille, J.H. Timing of loading and effect of micromotion on bone-dental implant interface: Review of experimental literature. J. Biomed. Mater. Res. 1998, 43, 192–203. [Google Scholar] [CrossRef]
- Buser, D.; Mericske-Stern, R.; Bernard, J.P.; Behneke, A.; Behneke, N.; Hirt, H.P.; Belser, U.C.; Lang, N.P. Long-term evaluation of non-submerged ITI implants. Part 1: 8-year life table analysis of a prospective multi-center study with 2359 implants. Clin. Oral Implant. Res. 1997, 8, 161–172. [Google Scholar] [CrossRef] [PubMed]
- Becker, W.; Becker, B.E.; Israelson, H.; Lucchini, J.P.; Handelsman, M.; Ammons, W.; Rosenberg, E.; Rose, L.; Tucker, L.M.; Lekholm, U. One-step surgical placement of Brånemark implants: A prospective multicenter clinical study. Int. J. Oral Maxillofac. Implant. 1997, 12, 454–462. [Google Scholar]
- Weber, H.P.; Crohin, C.C.; Fiorellini, J.P. A 5-year prospective clinical and radiographic study of non-submerged dental implants. Clin. Oral Implant. Res. 2000, 11, 144–153. [Google Scholar] [CrossRef]
- Ferrigno, N.; Laureti, M.; Fanali, S.; Grippaudo, G. A long-term follow-up study of non-submerged ITI implants in the treatment of totally edentulous jaws. Part I: Ten-year life table analysis of a prospective multicenter study with 1286 implants. Clin. Oral Implant. Res. 2002, 13, 260–273. [Google Scholar] [CrossRef]
- Cochran, D.L.; Morton, D.; Weber, H.P. Consensus statements and recommended clinical procedures regarding loading protocols for endosseous dental implants. Int. J. Oral Maxillofac. Implant. 2004, 19, 109–113. [Google Scholar]
- Pyo, S.W.; Lim, Y.J.; Koo, K.T.; Lee, J. Methods Used to Assess the 3D Accuracy of Dental Implant Positions in Computer-Guided Implant Placement: A Review. J. Clin. Med. 2019, 8, 54. [Google Scholar] [CrossRef]
- Nickenig, H.J.; Eitner, S. Reliability of implant placement after virtual planning of implant positions using cone beam CT data and surgical (guide) templates. J. Craniomaxillofac. Surg. 2007, 35, 207–211. [Google Scholar] [CrossRef]
- Ochi, M.; Kanazawa, M.; Sato, D.; Kasugai, S.; Hirano, S.; Minakuchi, S. Factors affecting accuracy of implant placement with mucosa-supported stereolithographic surgical guides in edentulous mandibles. Comput. Biol. Med. 2013, 43, 1653–1660. [Google Scholar] [CrossRef]
- O’Sullivan, D.; Sennerby, L.; Meredith, N. Influence of implant taper on the primary and secondary stability of osseointegrated titanium implants. Clin. Oral Implant. Res. 2004, 15, 474–480. [Google Scholar] [CrossRef] [PubMed]
- Garber, D.A.; Salama, H.; Salama, M.A. Two-stage versus one-stage—Is there really a controversy? J. Periodontol. 2001, 72, 417–421. [Google Scholar] [CrossRef] [PubMed]
- Jokstad, A.; Ganeles, J. Systematic review of clinical and patient-reported outcomes following oral rehabilitation on dental implants with a tapered compared to a non-tapered implant design. Clin. Oral Implant. Res. 2018, 29 (Suppl. 16), 41–54. [Google Scholar] [CrossRef] [PubMed]
- Salerno, M.; Itri, A.; Frezzato, M.; Rebaudi, A. Surface microstructure of dental implants before and after insertion: An in vitro study by means of scanning probe microscopy. Implant. Dent. 2015, 24, 248–255. [Google Scholar] [CrossRef] [PubMed]
- Dos Santos, M.V.; Elias, C.N.; Cavalcanti Lima, J.H. The effects of superficial roughness and design on the primary stability of dental implants. Clin. Implant. Dent. Relat. Res. 2011, 13, 215–223. [Google Scholar] [CrossRef]
- Sul, Y.T.; Jönsson, J.; Yoon, G.S.; Johansson, C. Resonance frequency measurements in vivo and related surface properties of magnesium-incorporated, micropatterned and magnesium-incorporated TiUnite, Osseotite, SLA and TiOblast implants. Clin. Oral Implant. Res. 2009, 20, 1146–1155. [Google Scholar] [CrossRef]
- Wennerberg, A.; Albrektsson, T. On implant surfaces: A review of current knowledge and opinions. Int. J. Oral Maxillofac. Implant. 2010, 25, 63–74. [Google Scholar]
- Shayganpour, A.; Rebaudi, A.; Cortella, P.; Diaspro, A.; Salerno, M. Electrochemical coating of dental implants with anodic porous titania for enhanced osteointegration. Beilstein J. Nanotechnol. 2015, 6, 2183–2192. [Google Scholar] [CrossRef]
- Buser, D.; Broggini, N.; Wieland, M.; Schenk, R.K.; Denzer, A.J.; Cochran, D.L.; Hoffmann, B.; Lussi, A.; Steinemann, S.G. Enhanced bone apposition to a chemically modified SLA titanium surface. J. Dent. Res. 2004, 83, 529–533. [Google Scholar] [CrossRef]
- Lee, J.; Yoo, J.M.; Amara, H.B.; Lee, Y.M.; Lim, Y.J.; Kim, H.; Koo, K.T. Bone healing dynamics associated with 3 implants with different surfaces: Histologic and histomorphometric analyses in dogs. J. Periodontal Implant. Sci. 2019, 49, 25–38. [Google Scholar] [CrossRef]
- General Assembly of the World Medical Association. World Medical Association Declaration of Helsinki: Ethical principles for medical research involving human subjects. J. Am. Coll. Dent. 2014, 81, 14–18. [Google Scholar]
- Schulz, K.F.; Altman, D.G.; Moher, D.; Moher, D.; CONSORT Group. CONSORT 2010 statement: Updated guidelines for reporting parallel group randomised trials. BMC Med. 2010, 8, 18. [Google Scholar] [CrossRef] [PubMed]
- Vlacic-Zischke, J.; Hamlet, S.M.; Friis, T.; Tonetti, M.S.; Ivanovski, S. The influence of surface microroughness and hydrophilicity of titanium on the up-regulation of TGFβ/BMP signalling in osteoblasts. Biomaterials 2011, 32, 665–671. [Google Scholar] [CrossRef]
- Artzi, Z.; Carmeli, G.; Kozlovsky, A. A distinguishable observation between survival and success rate outcome of hydroxyapatite-coated implants in 5–10 years in function. Clin. Oral. Implant. Res. 2006, 17, 85–93. [Google Scholar] [CrossRef]
- Ganeles, J.; Zöllner, A.; Jackowski, J.; ten Bruggenkate, C.; Beagle, J.; Guerra, F. Immediate and early loading of Straumann implants with a chemically modified surface (SLActive) in the posterior mandible and maxilla: 1-year results from a prospective multicenter study. Clin. Oral Implant. Res. 2008, 19, 1119–1128. [Google Scholar] [CrossRef]
- Lekholm, U.; Zarb, G. Patients Selection and Preparation: Osteointegration in Clinical Dentistry; Quintessence: Chicago, IL, USA, 1985. [Google Scholar]
- Baek, Y.W.; Lim, Y.J.; Lee, J.W.; Koo, K.T.; Kim, M.J.; Kwon, H.B. One-Year Results of a Randomized Controlled Clinical Trial of Immediately Loaded Short Implants Placed in the Lower Posterior Single Molar Using a Complete Digital Workflow. Appl. Sci. 2019, 9, 1282. [Google Scholar] [CrossRef]
- De Bruyn, H.; Vandeweghe, S.; Ruyffelaert, C.; Cosyn, J.; Sennerby, L. Radiographic evaluation of modern oral implants with emphasis on crestal bone level and relevance to peri-implant health. Periodontol. 2000 2013, 62, 256–270. [Google Scholar] [CrossRef] [PubMed]
- Terheyden, H.; Lang, N.P.; Bierbaum, S.; Stadlinger, B. Osseointegration-communication of cells. Clin. Oral Implant. Res. 2012, 23, 1127–1135. [Google Scholar] [CrossRef] [PubMed]
- Hermann, J.S.; Buser, D.; Schenk, R.K.; Higginbottom, F.L.; Cochran, D.L. Biologic width around titanium implants. A physiologically formed and stable dimension over time. Clin. Oral Implant. Res. 2000, 11, 1–11. [Google Scholar] [CrossRef]
- Gallucci, G.O.; Hamilton, A.; Zhou, W.; Buser, D.; Chen, S. Implant placement and loading protocols in partially edentulous patients: A systematic review. Clin. Oral Implant. Res. 2018, 29 (Suppl. 16), 106–134. [Google Scholar] [CrossRef]
- Alsabeeha, N.H.; Ma, S.; Atieh, M.A. Hydroxyapatite-coated oral implants: A systematic review and meta-analysis. Int. J. Oral Maxillofac. Implant. 2012, 27, 1123–1130. [Google Scholar]
- Bral, A.; Mommaerts, M.Y. In vivo biofunctionalization of titanium patient-specific implants with nano hydroxyapatite and other nano calcium phosphate coatings: A systematic review. J. Craniomaxillofac. Surg. 2016, 44, 400–412. [Google Scholar] [CrossRef] [PubMed]
- Wheeler, S.L. Eight-year clinical retrospective study of titanium plasma-sprayed and hydroxyapatite-coated cylinder implants. Int. J. Oral Maxillofac. Implant. 1996, 11, 340–350. [Google Scholar] [CrossRef]
- Haider, R.; Watzek, G.; Plenk, H. Effects of drill cooling and bone structure on IMZ implant fixation. Int. J. Oral Maxillofac. Implant. 1993, 8, 83–91. [Google Scholar]
- Park, Y.S.; Yi, K.Y.; Lee, I.S.; Han, C.H.; Jung, Y.C. The effects of ion beam-assisted deposition of hydroxyapatite on the grit-blasted surface of endosseous implants in rabbit tibiae. Int. J. Oral Maxillofac. Implant. 2005, 20, 31–38. [Google Scholar]
- Mendes, V.C.; Moineddin, R.; Davies, J.E. The effect of discrete calcium phosphate nanocrystals on bone-bonding to titanium surfaces. Biomaterials 2007, 28, 4748–4755. [Google Scholar] [CrossRef] [PubMed]
- Şener-Yamaner, I.D.; Yamaner, G.; Sertgöz, A.; Çanakçi, C.F.; Özcan, M. Marginal Bone Loss Around Early-Loaded SLA and SLActive Implants: Radiological Follow-Up Evaluation Up to 6.5 Years. Implant. Dent. 2017, 26, 592–599. [Google Scholar] [CrossRef]
- Degidi, M.; Scarano, A.; Piattelli, M.; Perrotti, V.; Piattelli, A. Bone remodeling in immediately loaded and unloaded titanium dental implants: A histologic and histomorphometric study in humans. J. Oral Implant. 2005, 31, 18–24. [Google Scholar] [CrossRef]
- Kim, W.H.; Lee, J.C.; Lim, D.; Heo, Y.K.; Song, E.S.; Lim, Y.J.; Kim, B. Optimized Dental Implant Fixture Design for the Desirable Stress Distribution in the Surrounding Bone Region: A Biomechanical Analysis. Materials 2019, 12, 2749. [Google Scholar] [CrossRef]
- Ryu, H.S.; Namgung, C.; Heo, Y.K.; Lee, J.H.; Lim, Y.J. Early loading of splinted implants supporting a two-unit fixed partial denture in the posterior maxilla: 13-month results from a randomized controlled clinical trial of two different implant systems. Clin. Oral Implant. Res. 2016, 27, 1017–1025. [Google Scholar] [CrossRef]
- Del Fabbro, M.; Wallace, S.S.; Testori, T. Long-term implant survival in the grafted maxillary sinus: A systematic review. Int. J. Periodontics Restor. Dent. 2013, 33, 773–783. [Google Scholar] [CrossRef] [PubMed]
- Tey, V.H.S.; Phillips, R.; Tan, K. Five-year retrospective study on success, survival and incidence of complications of single crowns supported by dental implants. Clin. Oral Implant. Res. 2017, 28, 620–625. [Google Scholar] [CrossRef] [PubMed]
- Moraschini, V.; Poubel, L.A.; Ferreira, V.F.; Barboza, E.D.S.P. Evaluation of survival and success rates of dental implants reported in longitudinal studies with a follow-up period of at least 10 years: A systematic review. Int. J. Oral Maxillofac. Surg. 2015, 44, 377–388. [Google Scholar] [CrossRef] [PubMed]








| Data | Variables | Control (Straumann, SLActive Bone Level Implant) | Experiment 1 (Neobiotech CMI IS-III Active Implant) | Experiment 2 (Neobiotech CMI IS-III HActive Implant) | P-Value |
|---|---|---|---|---|---|
| Subject Based (N = 24) | Participant Number | 7 | 9 | 8 | - |
| Age (mean ± SD) | 51.57 ± 14.28 | 46.89 ± 10.88 | 53.63 ± 6.72 | ||
| 20–60 | 5 | 9 | 6 | 0.437 | |
| Over 60 | 2 | - | 2 | 0.795 | |
| Sex | |||||
| Male/Female | 5/2 | 6/3 | 2/6 | 0.125 | |
| Implant Based (N = 24) | Implant number | 7 | 9 | 8 | |
| Lower | |||||
| 1st premolar/2nd premolar | - | 0/1 | 0/1 | ||
| 1st molar/2nd molar | 2/5 | 2/6 | 3/4 | 0.829 | |
| Implant Type | ∅4.1 × 8 mm (1) | ∅4.0 × 10 mm (1) | ∅4.0 × 10 mm (1) | - | |
| ∅4.8 × 8 mm (4) | ∅5.0 × 8.5 mm (3) | ∅5.0 × 8.5 mm (3) | |||
| ∅4.8 × 10 mm (2) | ∅5.0 × 10 mm (4) | ∅5.0 × 10 mm (4) | |||
| ∅5.0 × 11.5 mm (1) |
| Control (Straumann, SLActive Bone Level Implant) | Experiment 1 (NeobiotechCMI IS-III ActiveImplant) | Experiment 2 (NeobiotechCMI IS-III HActiveImplant) | ||||
|---|---|---|---|---|---|---|
| Number of Participants | 7 | 9 | 8 | |||
| Duration | Area | Mean ± SD (mm) | Mean ± SD (mm) | Mean ± SD (mm) | P-value * | Pairwise ** (P < 0.017) |
| 12-week follow up | Mesial | 0.36 ± 0.22 | 0.06 ± 0.10 | 0.37 ± 0.42 | 0.015 | I |
| Distal | 0.43 ± 0.31 | 0.45 ± 0.44 | 0.67 ± 0.40 | 0.558 | - | |
| Average | 0.39 ± 0.16 | 0.26 ± 0.24 | 0.52 ± 0.40 | 0.247 | - | |
| 24-week follow up | Mesial | 0.27 ± 0.23 | 0.09 ± 0.18 | 0.35 ± 0.28 | 0.075 | - |
| Distal | 0.51 ± 0.29 | 0.47 ± 0.43 | 0.53 ± 0.30 | 0.698 | - | |
| Average | 0.39 ± 0.20 | 0.28 ± 0.30 | 0.44 ± 0.28 | 0.256 | - | |
| 48-week follow up | Mesial | 0.17 ± 0.28 | 0.13 ± 0.15 | 0.31 ± 0.26 | 0.376 | - |
| Distal | 0.39 ± 0.33 | 0.28 ± 0.24 | 0.37 ± 0.24 | 0.515 | - | |
| Average | 0.28 ± 0.25 | 0.20 ± 0.15 | 0.34 ± 0.22 | 0.424 | - | |
© 2020 by the authors. Licensee MDPI, Basel, Switzerland. This article is an open access article distributed under the terms and conditions of the Creative Commons Attribution (CC BY) license (http://creativecommons.org/licenses/by/4.0/).
Share and Cite
Lee, J.; Lim, Y.-J.; Kim, B.; Koo, K.-T. Early Loading of Mandibular Molar Single Implants: 1 Year Results of a Randomized Controlled Clinical Trial. Materials 2020, 13, 3912. https://doi.org/10.3390/ma13183912
Lee J, Lim Y-J, Kim B, Koo K-T. Early Loading of Mandibular Molar Single Implants: 1 Year Results of a Randomized Controlled Clinical Trial. Materials. 2020; 13(18):3912. https://doi.org/10.3390/ma13183912
Chicago/Turabian StyleLee, Jungwon, Young-Jun Lim, Bongju Kim, and Ki-Tae Koo. 2020. "Early Loading of Mandibular Molar Single Implants: 1 Year Results of a Randomized Controlled Clinical Trial" Materials 13, no. 18: 3912. https://doi.org/10.3390/ma13183912
APA StyleLee, J., Lim, Y.-J., Kim, B., & Koo, K.-T. (2020). Early Loading of Mandibular Molar Single Implants: 1 Year Results of a Randomized Controlled Clinical Trial. Materials, 13(18), 3912. https://doi.org/10.3390/ma13183912

