Wavelet Element Modelling for Inviscid Fluid–Solid Coupling Problem based on Partitioned Approach
Abstract
1. Introduction
2. Formulation of the Inspected Problem
2.1. The Strong Form (Physical Models)
2.2. The Weak Form (Numerical Models)
2.3. Wavelet Element Spatial Discretization
2.4. Temporal Discretization and Partitioned Approach
3. Numerical Examples
- (1)
- Cases A–C were designed for different regions (i.e., from rectangular to solid circle) and different interfaces (i.e., from straight to curved).
- (2)
- Two sub-cases were set in each case (e.g., Case A-1 and Case A-2 for Case A). These two sub-cases were used to simulate wave propagation from solid to fluid and fluid to solid, respectively.
- (3)
- Cases A–C only present some qualitative comparisons with the theoretical wavefront in snapshots. Quantitative analyses are given at the end of this section, in terms of convergence analysis.
- (4)
- Considering the similarity of Cases A–C, convergence analysis was only conducted for Case C, the most complex case among them.
3.1. Case A: Rectangular with a Straight Interface
3.1.1. Case A-1: Wave Travels from Solid to Fluid
3.1.2. Case A-2: Wave Travels from Fluid to Solid
3.2. Case B: Rectangular with a Curved Interface
3.2.1. Case B-1: Wave Travels from Solid to Fluid
3.2.2. Case B-2: Wave Travels from Fluid to Solid
3.3. Case C: Solid Circle with a Curved Interface
3.3.1. Case C-1: Wave Travels from Solid to Fluid
3.3.2. Case C-2: Wave Travels from Fluid to Solid
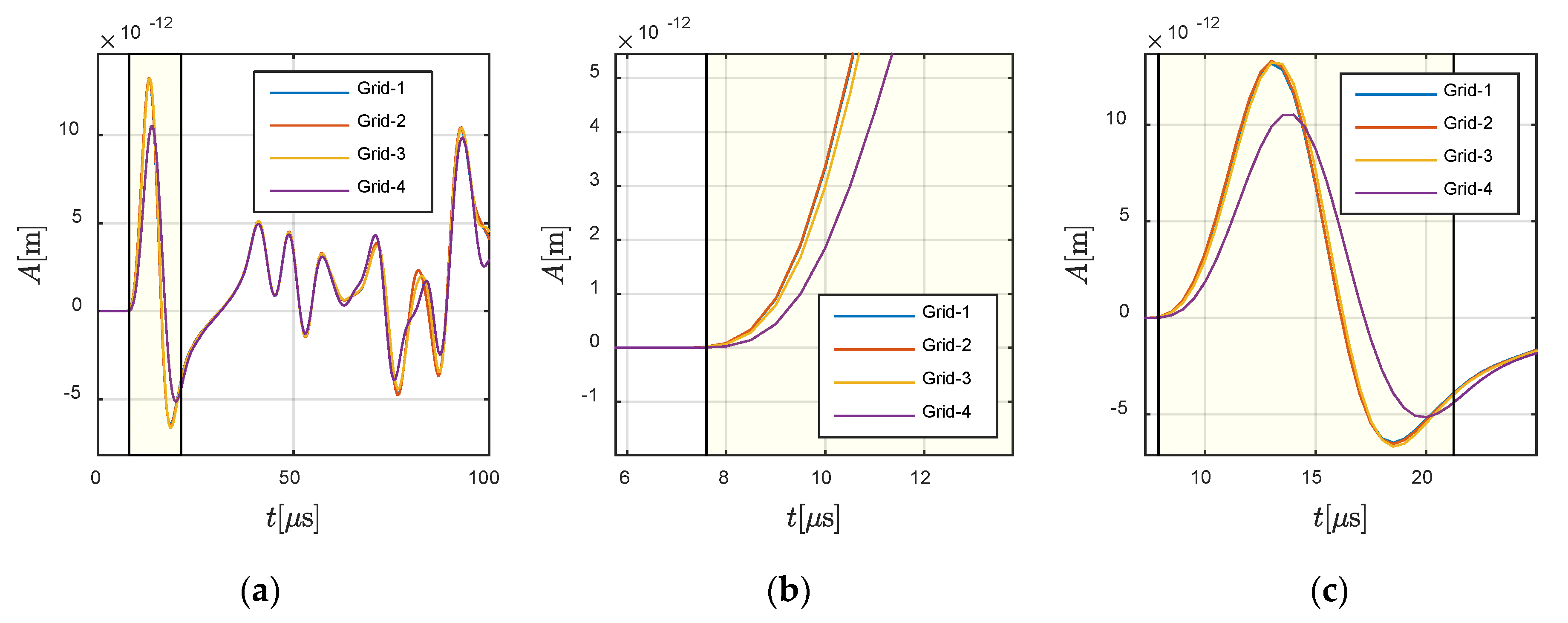
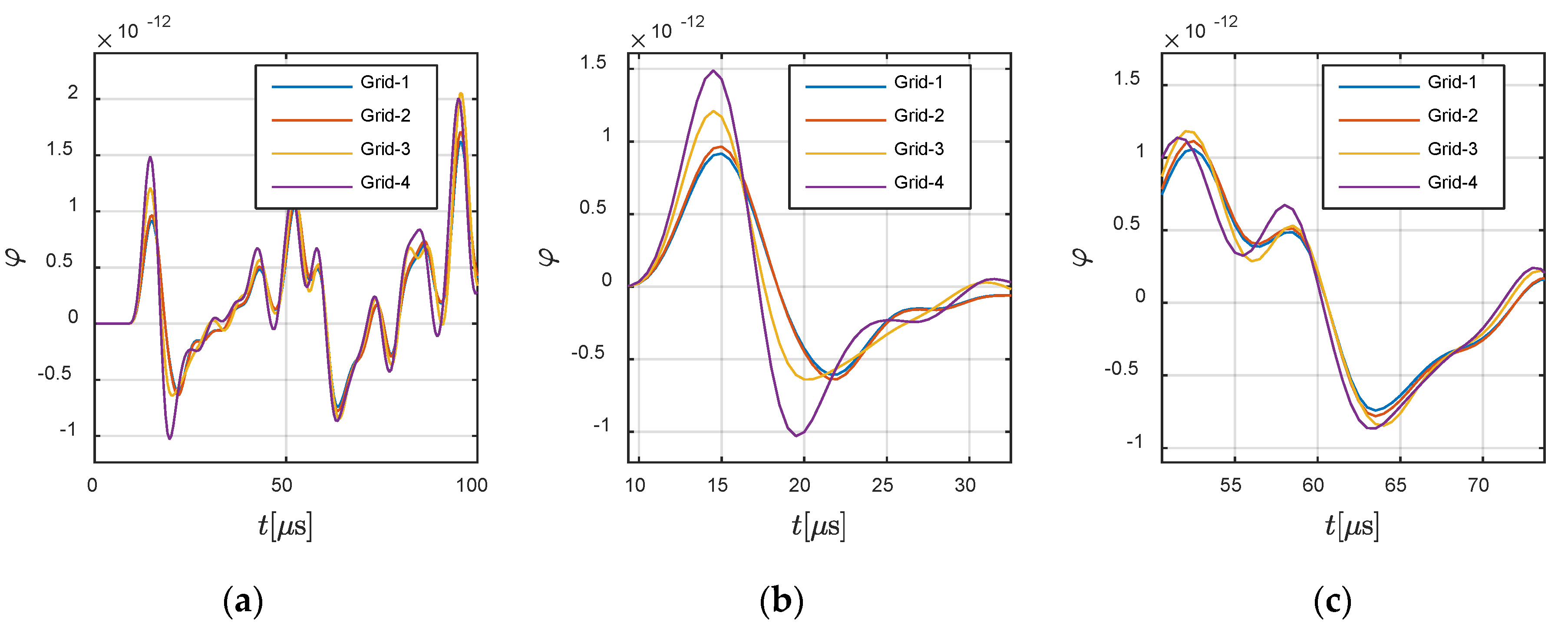
3.4. Convergence Analysis in Space
- (1)
- Grid-1, the densest mesh composed of 1920 elements (321,600 dofs) for the fluid part and 800 solid elements (161,604 dofs) for the solid part.
- (2)
- Grid-2, the grid used in Section 3.3, which was composed of 960 elements (160,800 dofs) for the fluid part and 400 solid elements (80,802 dofs) for the solid part.
- (3)
- Grid-3, a denser mesh composed of 648 elements (66,744 dofs) for the fluid part and 324 solid elements (66,746 dofs) for the solid part.
- (4)
- Grid-4, a sparse mesh composed of 392 elements (40,448 dofs) for the fluid part and 196 solid elements (40,490 dofs) for the solid part.
3.5. Convergence Analysis in Time Domain
4. Discussions about Relaxation
5. Conclusions
Author Contributions
Funding
Acknowledgments
Conflicts of Interest
References
- Delsanto, P.P.; Johnson, P.A.; Ruffino, E.; Scalerandi, M. Simulation of acoustic wave propagation in nonclassical, nonlinear media. Nonlinear Acoust. Turn Millenn. 2000, 524, 275–278. [Google Scholar]
- Delsanto, P.P.; Schechter, R.S.; Chaskelis, H.H.; Mignogna, R.B.; Kline, R. Connection Machine Simulation of Ultrasonic Wave-Propagation in Materials. 2: The 2-Dimensional Case. Wave Motion 1994, 20, 295–314. [Google Scholar] [CrossRef]
- Lee, B.C.; Staszewski, W.J. Lamb wave propagation modelling for damage detection: I. Two-dimensional analysis. Smart Mater. Struct. 2007, 16, 249–259. [Google Scholar] [CrossRef]
- Hosseini-Tehrani, P.; Eslami, M. BEM analysis of thermal and mechanical shock in a two-dimensional finite domain considering coupled thermoelasticity. Eng. Anal. Bound. Elem. 2000, 24, 249–257. [Google Scholar] [CrossRef]
- Witkowski, W.; Rucka, M.; Chróścielewski, J.; Wilde, K. On some properties of 2D spectral finite elements in problems of wave propagation. Finite Elem. Anal. Des. 2012, 55, 31–41. [Google Scholar] [CrossRef]
- Zak, A.; Krawczuk, M.; Ostachowicz, W. Propagation of in-plane elastic waves in a composite panel. Finite Elem. Anal. Des. 2006, 43, 145–154. [Google Scholar] [CrossRef]
- Kudela, P.; Krawczuk, M.; Ostachowicz, W. Wave propagation modelling in 1D structures using spectral finite elements. J. Sound Vib. 2007, 300, 88–100. [Google Scholar] [CrossRef]
- Mitra, M.; Gopalakrishnan, S. Wavelet based 2-D spectral finite element formulation for wave propagation analysis in isotropic plates. Comput. Model. Eng. Sci. 2006, 15, 49–67. [Google Scholar]
- Mitra, M.; Gopalakrishnan, S. Wavelet based spectral finite element for analysis of coupled wave propagation in higher order composite beams. Compos. Struct. 2006, 73, 263–277. [Google Scholar] [CrossRef]
- Mitra, M.; Gopalakrishnan, S. Wavelet spectral element for wave propagation studies in pressure loaded axisymmetric cylinders. J. Mech. Mater. Struct. 2007, 2, 753–772. [Google Scholar] [CrossRef]
- Shen, W.; Li, D.; Zhang, S.; Ou, J. Analysis of wave motion in one-dimensional structures through fast-Fourier-transform-based wavelet finite element method. J. Sound Vib. 2017, 400, 369–386. [Google Scholar] [CrossRef]
- Degroote, J. Partitioned Simulation of Fluid-Structure Interaction. Arch. Comput. Methods Eng. 2013, 20, 185–238. [Google Scholar] [CrossRef]
- Donea, J.; Huerta, A.; Ponthot, J.P.; Rodriguez-Ferran, A. Arbitrary Lagrangian-Eulerian Methods; Wiley: New York, NY, USA, 2017; Volume 1, pp. 1–25. [Google Scholar]
- Peskin, C. Flow patterns around heart valves: A numerical method. J. Comput. Phys. 1972, 10, 252–271. [Google Scholar] [CrossRef]
- Glowinski, R.; Pan, T.W.; Hesla, T.I.; Joseph, D.D. A distributed Lagrange multiplier/fictitious domain method for particulate flows. Int. J. Multiph. Flow 1999, 25, 755–794. [Google Scholar] [CrossRef]
- Degroote, J.; Bathe, K.J.; Vierendeels, J. Performance of a new partitioned procedure versus a monolithic procedure in fluid–structure interaction. Comput. Struct. 2009, 87, 793–801. [Google Scholar] [CrossRef]
- Degroote, J.; Bruggeman, P.; Haelterman, R.; Vierendeels, J. Stability of a coupling technique for partitioned solvers in FSI applications. Comput. Struct. 2008, 86, 2224–2234. [Google Scholar] [CrossRef]
- Komatitsch, D.; Barnes, C.; Tromp, J. Wave propagation near a fluid-solid interface: A spectral-element approach. Geophysics 2000, 65, 623–631. [Google Scholar] [CrossRef]
- Yang, Z.; Chen, X.; Li, X.; Jiang, Y.; Miao, H.; He, Z. Wave motion analysis in arch structures via wavelet finite element method. J. Sound Vib. 2014, 333, 446–469. [Google Scholar] [CrossRef]
- Goswami, J.C.; Chan, A.K.; Chui, C.K. On Solving First-Kind Integral-Equations Using Wavelets on a Bounded Interval. IEEE Trans. Antennas Propag. 1995, 43, 614–622. [Google Scholar] [CrossRef]
- Zienkiewicz, O.C.; Taylor, R.L. The Finite Element Method: Fluid Mechanics; Butterworth-Heinemann: Oxford, UK, 2005; Volume 3. [Google Scholar]
- Babuška, I.; Ihlenburg, F.; Strouboulis, T.; Gangaraj, S. A posteriori error estimation for finite element solutions of Helmholtz’equation—Part I: The quality of local indicators and estimators. Int. J. Numer. Methods Eng. 1997, 40, 3443–3462. [Google Scholar] [CrossRef]
- Babuška, I.; Ihlenburg, F.; Strouboulis, T.; Gangaraj, S. A posteriori error estimation for finite element solutions of Helmholtz’equation—Part II: Estimation of the pollution error. Int. J. Numer. Methods Eng. 1997, 40, 3883–3900. [Google Scholar] [CrossRef]
- Küttler, U.; Wall, W.A. Fixed-point fluid–structure interaction solvers with dynamic relaxation. Comput. Mech. 2008, 43, 61–72. [Google Scholar] [CrossRef]



















| Main Algorithm |
|---|
| #1 Loop over elements e Calculate the elemental matrices Kse, Mse, Cse and Kfe, Mfe, Cfe Assemble mass matrices Ms, Mf, interface matrices Cs, Cf, and vector ft Store all elemental stiffness matrices Kse and Kfe #1 End of the loop over element e Calculate the auxiliary vectors , , , and , , , Apply the initial condition Initialization, let , #2 Loop over t While or Invoke “The partitioned approach based on Jacobi iteration” End #2 End of the loop over instant t Output , |
| The Partitioned Approach Based on Jacobi Iteration |
|---|
| Calculate and Assemble vectors and Calculate force vectors and Predict the vectors and Calculate force vectors and Update the vectors and Relaxation (alternative): |
| Medium | Modulus/GPa | Density/kg·m−3 | Poisson’s Ratio | cp/m·s−1 | cs/m·s−1 |
|---|---|---|---|---|---|
| Solid | 70.0 | 2700 | 0.33 | 6197.82 | 3121.75 |
| Fluid | - | 1020 | - | 1468.63 | - |
| Medium | Modulus/GPa | Density/kg·m−3 | Poisson’s Ratio | cp/m·s−1 | cs/m·s−1 |
|---|---|---|---|---|---|
| Solid | 25.6 | 2500 | 0.21 | 3395.10 | 2057.00 |
| Fluid | - | 1020 | - | 1468.63 | - |
| Convergence Criterion | Average Number of Iterations | |||||
|---|---|---|---|---|---|---|
| es | ef | ω = 1 | ω = 0.98 | ω = 0.90 | ω = 0.60 | Aitken |
| 1 × 10−10 | 1 × 10−10 | 1 | 1 | 1 | 1 | 1 |
| 1 × 10−13 | 1 × 10−13 | 4 | 12 | 19 | 44 | 2.328 |
| 1 × 10−14 | 1 × 10−14 | 9 | 15 | 20 | 47 | 7.360 |
| 1 × 10−15 | 1 × 10−15 | 16 | 18 | 21 | 49 | 16.892 |
© 2020 by the authors. Licensee MDPI, Basel, Switzerland. This article is an open access article distributed under the terms and conditions of the Creative Commons Attribution (CC BY) license (http://creativecommons.org/licenses/by/4.0/).
Share and Cite
Yang, Z.-B.; Li, H.-Q.; Qiao, B.-J.; Chen, X.-F. Wavelet Element Modelling for Inviscid Fluid–Solid Coupling Problem based on Partitioned Approach. Materials 2020, 13, 3699. https://doi.org/10.3390/ma13173699
Yang Z-B, Li H-Q, Qiao B-J, Chen X-F. Wavelet Element Modelling for Inviscid Fluid–Solid Coupling Problem based on Partitioned Approach. Materials. 2020; 13(17):3699. https://doi.org/10.3390/ma13173699
Chicago/Turabian StyleYang, Zhi-Bo, Hao-Qi Li, Bai-Jie Qiao, and Xue-Feng Chen. 2020. "Wavelet Element Modelling for Inviscid Fluid–Solid Coupling Problem based on Partitioned Approach" Materials 13, no. 17: 3699. https://doi.org/10.3390/ma13173699
APA StyleYang, Z.-B., Li, H.-Q., Qiao, B.-J., & Chen, X.-F. (2020). Wavelet Element Modelling for Inviscid Fluid–Solid Coupling Problem based on Partitioned Approach. Materials, 13(17), 3699. https://doi.org/10.3390/ma13173699

