Effects of High Temperature on Creep Behaviour of Glazed Hollow Bead Insulation Concrete
Abstract
1. Introduction
2. Materials and Methods
2.1. Purpose and Scope
2.2. Raw Materials
2.3. Mix Design
2.4. Experimental Design
2.4.1. Sample Preparation
2.4.2. Test and Characterization
3. Results and Discussion
3.1. Mechanical Properties
3.1.1. The Loss of Weight and Compressive Strength
3.1.2. Failure Mode
3.2. Creep Behaviour
3.2.1. Creep Curves
3.2.2. Transient Deformation Modulus
3.2.3. Creep Strain Rate
3.2.4. Accelerated Creep Stage
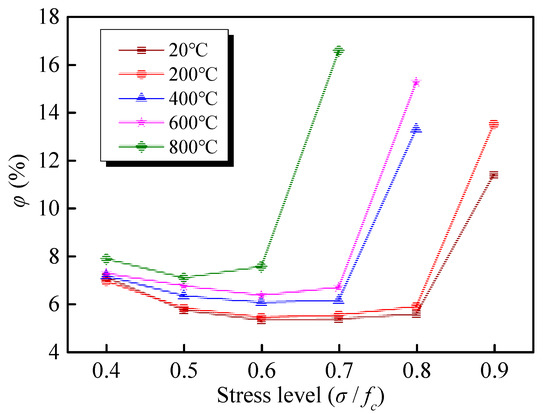
3.2.5. Critical Stress Level for Creep Failure
3.3. Burgers Model
4. Conclusions
- (1)
- The weight and compressive strength of the GHBC decrease as the temperature increases. Moreover, the loss of weight and strength after exposure to 800 °C reach 9.67% and 69.84%, respectively. The failure mode shows the transformation from tensile failure to shear failure as the temperature increases.
- (2)
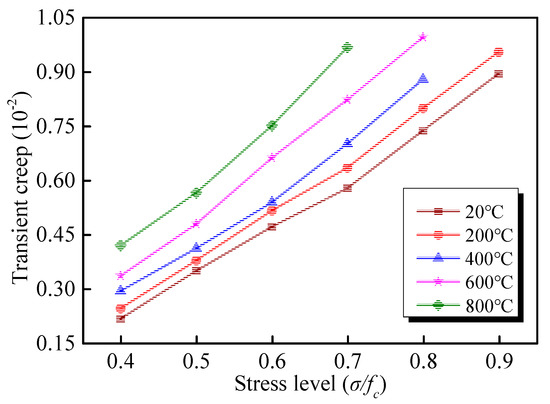
- The creep strain and creep rate increase with the increase in the temperature and the stress level, while the creep failure threshold stress and creep duration are reduced significantly. The higher the temperature, the more sensitive the stress is to the creep. The creep of the GHBC exhibits a considerable increase above 600 °C and the creep under the same loading ratio at 600 °C increases by 74.19% compared to the creep of the sample at room temperature.
- (3)
- The transient deformation modulus of the GHBC decreases as a power function with increasing temperature, while the deterioration degree increases. The total deterioration degree reaches a relatively high value at 600 °C, indicating it triggers the drastic deterioration process of the GHBC.
- (4)
- The ratio of creep strain to total strain decreases at first, followed by an increase. The inflection point can be considered as the critical stress level of creep failure, which decreases with the increase of temperature.
Author Contributions
Funding
Acknowledgments
Conflicts of Interest
References
- Dong, X.; Wang, S.; Gong, C.; Lu, L. Effects of aggregate gradation and polymer modifiers on properties of cement-EPS/vitrified microsphere mortar. Constr. Build. Mater. 2014, 73, 255–260. [Google Scholar] [CrossRef]
- Wang, W.-J.; Zhao, L.; Liu, Y.-Z.; Li, Z. Mix design for recycled aggregate thermal insulation concrete with mineral admixtures. Mag. Concr. Res. 2014, 66, 492–504. [Google Scholar] [CrossRef]
- Wang, W.; Liu, Y.; Jiang, L.; Zhao, L.; Li, Z. Effect of physical properties of recycled coarse aggregate on the mechanical properties of recycled aggregate thermal insulation (RATIC). Constr. Build. Mater. 2018, 180, 229–238. [Google Scholar] [CrossRef]
- Su, Z.; Guo, L.; Zhang, Z.; Duan, P. Influence of different fibers on properties of thermal insulation composites based on geopolymer blended with glazed hollow bead. Constr. Build. Mater. 2019, 203, 525–540. [Google Scholar] [CrossRef]
- Zhu, B.; Han, L. Aseismic structure design of glazed hollow bead insulation concrete shear wall. China Earthq. Eng. J. 2018, 40, 963–968. [Google Scholar]
- Zhang, Y.; Ma, G.; Wang, Z.; Niu, Z.; Liu, Y.; Li, Z. Shear behavior of reinforced glazed hollow bead insulation concrete beams. Constr. Build. Mater. 2018, 174, 81–95. [Google Scholar] [CrossRef]
- Dai, X.; Zhao, H.; Li, Z.; Zhang, Z.; Liu, Y. Research for application of glazed hollow beads in self-insulation wall. Eng. Mech. 2010, 27, 172–176, 183. [Google Scholar]
- Fan, S.; Wang, P. Effect of Fly Ash on Drying Shrinkage of Thermal Insulation Mortar with Glazed Hollow Beads. J. Wuhan Univ. Technol. (Mater. Sci. Ed.) 2017, 32, 1352–1360. [Google Scholar] [CrossRef]
- Pang, J.; Huang, J.; Yao, W.; Liu, H.; Yao, W. Experimental Study on Thermal Conductivity and Strength of Thermal Shotcrete in Roadway. J. Yangtze River Sci. Res. Inst. 2018, 35, 119–124. [Google Scholar]
- Liu, Y.; Chen, Y.-F.; Wang, W.; Li, Z. Bond performance of thermal insulation concrete under freeze-thaw cycles. Constr. Build. Mater. 2016, 104, 116–125. [Google Scholar] [CrossRef]
- Zhao, L.; Wang, W.; Li, Z.; Chen, Y. An experimental study to evaluate the effects of adding glazed hollow beads on the mechanical properties and thermal conductivity of concrete. Mater. Res. Innov. 2015, 19, 929–935. [Google Scholar] [CrossRef]
- Zheng, W.; Hou, X.; Wang, Y. Progress and prospect of fire resistance of reinforced concrete and prestressed concrete structures. J. Harbin Inst. Technol. 2016, 48, 1–18. [Google Scholar]
- Venanzi, I.; Breccolotti, M.; D’Alessandro, A.; Materazzi, A.L. Fire performance assessment of HPLWC hollow core slabs through full-scale furnace testing. Fire Saf. J. 2014, 69, 12–22. [Google Scholar] [CrossRef]
- Zhang, Y.; Ma, G.; Liu, Y.; Li, Z. Mix design for thermal insulation concrete using waste coal gangue as aggregate. Mater. Res. Innov. 2015, 19, 878–884. [Google Scholar] [CrossRef]
- Yao, W.; Pang, J. Performance degradation and microscopic structure of glazed hollow bead insulation normal concrete after exposure to high temperature. Acta Mater. Compos. Sin. 2019, 36, 2932–2941. [Google Scholar]
- Chen, G.; Xu, P.; Mi, G.; Zhu, J. Compressive strength and cracking of composite concrete in hot-humid environments based on microscopic quantitative analysis. Constr. Build. Mater. 2019, 225, 441–451. [Google Scholar] [CrossRef]
- Wang, Y.; Wang, D.; Hao, S. Creep-stress relaxation coupling failure in concrete and its critical power-law behavior. Eng. Mech. 2016, 33, 49–55. [Google Scholar]
- Abid, M.; Hou, X.; Zheng, W.; Hussain, R.R. Creep behavior of steel fiber reinforced reactive powder concrete at high temperature. Constr. Build. Mater. 2019, 205, 321–331. [Google Scholar] [CrossRef]
- Guo, Z.; Shi, X. Experiment and Calculation of Reinforced Concrete at Elevated Temperatures; Elsevier: Amsterdam, The Netherlands, 2011; pp. 17–35, Chapter 2. [Google Scholar]
- Wu, B.; Siu-Shu Lam, E.; Liu, Q.; Chung, Y.-M.; Ho, F.-Y. Creep Behavior of high-strength concrete with olypropylene fibers at elevated temperatures. ACI Mater. J. 2010, 107, 176–184. [Google Scholar]
- Tao, J.; Liu, X.; Yuan, Y.; Taerwe, L. Transient strain of self-compacting concrete loaded in compression heated to 700 °C. Mater. Struct. 2013, 46, 191–201. [Google Scholar] [CrossRef]
- Zheng, X.; Ji, T.; Easa, S.M.; Zhang, B.; Jiang, Z. Tensile basic creep behavior of lightweight aggregate concrete reinforced with steel fiber. Constr. Build. Mater. 2019, 200, 356–367. [Google Scholar] [CrossRef]
- Gayarre, F.L.; González, J.S.; Pérez, C.L.C.; López, M.A.S.; Serna, P.; Martínez-barrera, G. Shrinkage and creep in structural concrete with recycled brick aggregates. Constr. Build. Mater. 2019, 228, 116570. [Google Scholar] [CrossRef]
- JGJ 55-2011, China Academy of Building Research. Specification for Mix Proportion Design of Ordinary Concrete; China Architecture and Building Press: Beijing, China, 2011. [Google Scholar]
- Wang, H.; Zhu, J. Compressive behaviour of high performance lightweight concrete after high temperature. J. Build Struct. 2019, 40, 200–209. [Google Scholar]
- Gong, J.; Deng, G.; Shan, B. Ultrasonic Test and Microscopic Analysis of Reactive Powder Concrete Exposed to High Temperature. J. Hunan Univ. Nat. Sci. Ed. 2018, 45, 68–76. [Google Scholar]
- Saridemir, M.; Severcan, M.H.; Ciflikli, M.; Celikten, S.; Ozcan, F.; Atis, C.D. The influence of elevated temperature on strength and micro-structure of high strength concrete containing ground pumice and metakaolin. Constr. Build. Mater. 2016, 124, 244–257. [Google Scholar] [CrossRef]
- Kodur, V.K.R.; Alogla, S.M. Effect of high-temperature transient creep on response of reinforced concrete columns in fire. Mater. Struct. 2017, 50, 27. [Google Scholar] [CrossRef]
- Ding, Y.; Zhang, C.; Cao, M.; Zhang, Y.; Azevedo, C. Influence of different fibers on the change of pore pressure of self-consolidating concrete exposed to fire. Constr. Build. Mater. 2016, 113, 456–469. [Google Scholar] [CrossRef]
- Yao, W.; Pang, J.; Liu, Y. Performance Degradation and Microscopic Analysis of Lightweight Aggregate Concrete after Exposure to High Temperature. Materials 2020, 13, 1566. [Google Scholar] [CrossRef]
- Chen, L.; Liu, J.; Wang, C.; Liu, J.; Wang, J. Creeping behavior of Beishan granite under different temperatures and stress conditions. Chin. J. Rock Mech. Eng. 2015, 34, 1228–1235. [Google Scholar]
- Hadiseh, M.; Rassoul, A. Mechanical behavior of salt rock under uniaxial compression and creep tests. Int. J. Rock Mech. Min. Sci. 2018, 110, 19–27. [Google Scholar]
- Yang, X.; Jiang, A.; Wang, S. Experimental study on creep characteristics of gneiss under freeze-thaw cycles. Rock Soil Mech. 2019, 40, 4331–4340. [Google Scholar]
- Boumakis, I.; Marcon, M.; Ninčević, K.; Czernuschka, L.M.; Wan-Wendner, R. Concrete creep and shrinkage effect in adhesive anchors subjected to sustained loads. Eng. Struct. 2018, 175, 790–805. [Google Scholar] [CrossRef]
- Liu, X.; Li, D.; Wang, Z.; Zhang, L. The effect of dry-wet cycles with acidic wetting fluid on strength deterioration of shaly sandstone. Chin. J. Rock Mech. Eng. 2016, 35, 1543–1554. [Google Scholar]
- Ma, Q.; Yu, P.; Yuan, P. Experimental study on creep properties of deep siltstone under cyclic wetting and drying. Chin. J. Rock Mech. Eng. 2018, 37, 593–600. [Google Scholar]
- Li, Z.; Wang, J.; Li, X.; Zhao, G.; Huo, X. Experimental and numerical study on creep and shrinkage effects of ultra high-performance concrete beam. Compos. Part B 2020, 184, 107713. [Google Scholar]
- Yu, C.; Tang, S.; Tang, C.; Duan, D.; Zhang, Y.; Liang, Z.; Ma, K.; Ma, T. The effect of water on the creep behavior of red sandstone. Eng. Geol. 2019, 253, 64–74. [Google Scholar] [CrossRef]
- Balevičius, R.; Marčiukaitis, G. Linear and Non-linear Creep models for a multi-layered concrete composite. Arch. Civ. Mech. Eng. 2013, 13, 472–490. [Google Scholar] [CrossRef]
- Zhang, H.; Wang, Z.; Zheng, Y.; Duan, P.; Ding, S. Study on tri-axial creep experiment and constitutive relation of different rock salt. Saf. Sci. 2012, 50, 801–805. [Google Scholar] [CrossRef]
- Geng, Y.; Zhao, M.; Yang, H.; Wang, Y. Creep model of concrete with recycled coarse and fine aggregates that accounts for creep development trend difference between recycled and natural aggregate concrete. Cem. Concr. Compos. 2019, 103, 303–317. [Google Scholar] [CrossRef]
- Liu, Z.-B.; Xie, S.-Y.; Shao, J.-F.; Conil, N. Effects of deviatoric stress and structural anisotropy on compressive creep behavior of a clayey rock. Appl. Clay Sci. 2015, 114, 491–496. [Google Scholar] [CrossRef]
- Guo, M.; Grondin, F.; Loukili, A. Numerical method to model the creep of recycled aggregate concrete by considering the old attached mortar. Cem. Concr. Compos. 2019, 118, 14–24. [Google Scholar] [CrossRef]
- Jin, S.-S.; Cha, S.-L.; Jung, H.-J. Improvement of concrete creep prediction with probabilistic forecasting method under model uncertainty. Constr. Build. Mater. 2018, 184, 617–633. [Google Scholar] [CrossRef]

















| Composition | SiO2 | Al2O3 | Fe2O3 | CaO | MgO | Na2O | SO3 | Ignition Loss | |
|---|---|---|---|---|---|---|---|---|---|
| Content (%) | Cement | 22.60 | 5.03 | 4.38 | 63.11 | 1.46 | − | 2.24 | 1.18 |
| Fly ash | 53.26 | 34.72 | 4.07 | 2.47 | 0.39 | 1.90 | − | 4.07 | |
| Particle Size/mm | Bulk Density/(kg m−3) | Apparent Density/(kg m−3) | Cylinder Compressive Strength/MPa | Thermal Conductivity/(W (m K)−1) | Refractoriness/°C | Volume Loss Rate at 1 MPa/% |
|---|---|---|---|---|---|---|
| 0.5–1.5 | 80–120 | 80–130 | ≥150 | 0.032–0.045 | 1280–1360 | 38–46 |
| Cementing Material | Limestone | Fine Aggregate | Water | Water Reducer | Water Cement Ratio | ||
|---|---|---|---|---|---|---|---|
| Cement | Fly Ash | Sand | Glazed Hollow Bead | ||||
| 421 | 47 | 856 | 571 | 100 | 168.48 | 4.68 | 0.36 |
| Legend | Temperature/°C | ||||
|---|---|---|---|---|---|
| 20 | 200 | 400 | 600 | 800 | |
| Failure pattern | ![]() | ![]() | ![]() | ![]() | ![]() |
| Sketch | ![]() | ![]() | ![]() | ![]() | ![]() |
| Temperature/°C | Failure Stress/(σ/fc) | Total Duration/h | Primary Creep Stage | Steady-State Creep Stage | Accelerated Creep Stage | |||
|---|---|---|---|---|---|---|---|---|
| Primary Creep Stage Duration/h | Proportion of Total Duration/% | Steady-State Creep Stage Duration/h | Proportion of Total Duration/% | Accelerated Creep Stage Duration/h | Proportion of Total Duration/% | |||
| 20 | 0.9 | 10.54 | 1.71 | 16.22 | 7.82 | 74.18 | 1.01 | 9.58 |
| 200 | 0.9 | 7.50 | 1.67 | 22.27 | 4.97 | 66.27 | 0.86 | 11.47 |
| 400 | 0.8 | 7.83 | 1.34 | 17.11 | 5.67 | 72.38 | 0.82 | 10.47 |
| 600 | 0.8 | 6.17 | 1.68 | 27.23 | 3.70 | 59.97 | 0.79 | 12.80 |
| 800 | 0.7 | 4.67 | 1.66 | 35.54 | 2.33 | 49.88 | 0.68 | 14.56 |
| Temperature/°C | σ/MPa | EM/GPa | ηM/GPa | EK/GPa | ηK/GPa | R2 |
|---|---|---|---|---|---|---|
| 20 | 12.2 | 5.703 | 1212.181 | 110.064 | 37.591 | 0.9936 |
| 200 | 13.5 | 5.680 | 1196.639 | 119.347 | 42.899 | 0.9899 |
| 400 | 11.2 | 3.990 | 998.948 | 86.853 | 27.934 | 0.9952 |
| 600 | 8.8 | 2.628 | 616.968 | 57.972 | 9.866 | 0.9960 |
| 800 | 4.8 | 1.185 | 269.986 | 19.374 | 1.193 | 0.9831 |
© 2020 by the authors. Licensee MDPI, Basel, Switzerland. This article is an open access article distributed under the terms and conditions of the Creative Commons Attribution (CC BY) license (http://creativecommons.org/licenses/by/4.0/).
Share and Cite
Liu, Y.-s.; Pang, J.-y.; Yao, W.-j. Effects of High Temperature on Creep Behaviour of Glazed Hollow Bead Insulation Concrete. Materials 2020, 13, 3658. https://doi.org/10.3390/ma13173658
Liu Y-s, Pang J-y, Yao W-j. Effects of High Temperature on Creep Behaviour of Glazed Hollow Bead Insulation Concrete. Materials. 2020; 13(17):3658. https://doi.org/10.3390/ma13173658
Chicago/Turabian StyleLiu, Yu-shan, Jian-yong Pang, and Wei-jing Yao. 2020. "Effects of High Temperature on Creep Behaviour of Glazed Hollow Bead Insulation Concrete" Materials 13, no. 17: 3658. https://doi.org/10.3390/ma13173658
APA StyleLiu, Y.-s., Pang, J.-y., & Yao, W.-j. (2020). Effects of High Temperature on Creep Behaviour of Glazed Hollow Bead Insulation Concrete. Materials, 13(17), 3658. https://doi.org/10.3390/ma13173658











