Abstract
Giving reactions the names of their discoverers is an extraordinary tradition of organic chemistry. Nowadays, this phenomenon is much rarer, although already named historical reactions are still often developed. This is also true in the case of a broad branch of N-heterocyclic carbenes catalysis. NHCs allow many unique synthetic paths, including commonly known name reactions. This article aims to gather this extensive knowledge and compare historical reactions with current developed processes. Furthermore, this review is a great opportunity to highlight some of the unique applications of these procedures in the total synthesis of biologically active compounds. Hence, this concise article may also be a source of knowledge for scientists just starting their adventure with N-heterocyclic carbene chemistry.
1. Introduction
Organocatalytic strategies enabled by N-heterocyclic carbenes (NHCs) are still developing as unique reactions that allow carbon–carbon and carbon–heteroatom bond formation. Sophisticated procedures lead to chemical compounds with complex molecular architecture. At the same time, NHC catalysis often enables highly stereoselective synthesis, which is important in the preparation of natural and/or biologically active compounds. Numerous review papers and books summarize the importance of NHC researchers’ achievements [1,2,3,4,5,6,7,8,9]. However, it is hard to look for any article mostly emphasizing the role of N-heterocyclic carbene catalysis in the history of organic chemistry. According to the authors, it is worth summarizing and emphasizing the impact of NHC catalysis on the development of name reactions, often developed in the nineteenth century.
This review contains a broad summary of name reactions enabled by NHCs. It is worth noting here that not all reactions are catalytic processes. Furthermore, this article compares historical reactions with contemporary organic chemistry, particularly emphasizing NHC catalysis. In some cases, it was also possible to highlight the applications of developed procedures or show unique processes based, e.g., on photoinduced reactions.
2. Appel Reaction
In 2019, Nguyen reported an Appel-type reaction of alcohols with the use of NHCs instead of triphenylphosphine [10]. N-heterocyclic carbenes, very common organocatalysts, are used in this case as stoichiometric reagents (Scheme 1). Their application as phosphine mimetics is well-known in transition metal catalysis but it is important to remember the differences in electronic properties, generated steric hindrance, and complex stability between carbenes and phosphines [11,12]. Regardless of these differences, the authors proposed a mechanism fully identical to the mechanism developed by Appel in 1975 [13]. The reaction between the NHC and halogen source resulted in 5-halotriazolium halide being consumed afterward in the reaction with alcohol. The nucleophilic attack of halide anion on the generated 5-alkoxytriazolium intermediate led to the expected product and NHC-oxide.
Scheme 1.
Reaction developed by Nguyen and Hussein.
3. Benzoin Condensation
Benzoin condensation is obviously not a name reaction, but it is associated with many names known to every organic chemist. Wöhler and Liebig reported the first benzoin reaction in 1832 [14], and a few years later, Zinin reduced the stoichiometric quantity of sodium cyanide to catalytic amounts [15,16]. Moreover, at the beginning of the 20th century, Lapworth supplemented the work of its antecedent with a reaction mechanism [17].
First, NHC-catalyzed benzoin condensation was reported by Ukai in 1943 [18]. It should be noted that this was historically the first N-heterocyclic carbene-catalyzed reaction. It gained special value when Breslow published its mechanism in 1958 [19]. One of the key intermediate products was named in honor of Ronald Breslow (Scheme 2). This means that benzoin condensation can be considered as a name reaction in the context of NHC catalysis.
Scheme 2.
Breslow intermediate.
The nature of the homo-benzoin reaction between benzaldehydes and the effect of substituents on the aromatic ring is well-known. Both electron-poor and electron-rich substrates are commonly used; however, strongly electron-withdrawing substituents can facilitate competitive redox processes [20,21,22]. Moreover, benzoin condensation is also possible between heteroaromatic aldehydes [23,24,25] as well as aliphatic aldehydes [23,26]. It should be noted that the benzoin reaction can be also carried out in a stereoselective manner. Highly enantioselective NHC-catalyzed benzoin condensation was firstly developed by Sheehan and Hunneman [27]. The thiazolylidene catalysts initially allowed a benzoin reaction with high enantioselectivity and low to moderate yields [28,29,30,31,32,33,34,35,36,37]. Exclusively, the design of catalysts based on triazolium salts allowed researchers to increase yields with the maintenance of high enantiomeric excesses [22,34,38,39,40,41,42,43,44,45].
A greater challenge, however, is the cross-benzoin reaction. In the case of intramolecular cross-benzoin condensation, the reaction usually occurred between aldehyde and ketone. This approach enabled high chemoselectivity of the developed procedures. This was due to the fact that ketones do not react with N-heterocyclic carbenes to form Breslow intermediate. Such catalytic inertia of ketones arises, in part, from the keto-enol thermodynamics of Breslow intermediate. Instead, ketones are capable of reacting with Breslow intermediates generated from aldehydes. Firstly, the intramolecular cross-benzoin condensation in the synthesis of cyclic preanthraquinones was reported by Suzuki and co-workers in 2003 (Scheme 3) [46]. Later works significantly expanded the reaction scope and brought a great deal information about this condensation [47,48]. The reaction can occur between aliphatic or aromatic aldehydes and aliphatic or aromatic ketones. Nonetheless, α-methyl ketones take part in the reactions, leading to expected products with higher yields than more sterically hindered ketones. In this case, the homo-benzoin condensation is competitive. An intramolecular cross-benzoin reaction between the two aldehyde groups is also possible [49]. Unfortunately, chemoselectivity, in this case, is unsatisfactory. Even the macrocyclization reaction led to expected products with moderate yields [50]. Moreover, the reaction possibilities were expanded to stereoselective synthesis using triazolylidene catalysts [51,52,53,54,55,56]. It is worth noting that the enantiomeric excesses highly depended on the size of the newly generated ring. The best results were usually obtained for six-membered rings.
Scheme 3.
Reaction developed by Suzuki.
In the case of intermolecular cross-benzoin condensation, the chemoselectivity also remained high when ketones were used as electrophiles. Firstly, such a reaction with the use of trifluoromethylketones was reported by Enders and Henseler in 2009 (Scheme 4) [57]. The authors obtained products with moderate to good yields and moderate enantiomeric excesses. The application of intermolecular cross-benzoin condensation was then expanded to α-ketoesters by Connon and Gravel [58,59]. Nonetheless, a much greater challenge is to obtain high chemoselectivity for the cross-benzoin reaction between aldehydes. Initially, the highest chemoselectivity was obtained for ortho-substituted aromatic aldehydes and α-substituted aliphatic aldehydes [60,61]. The same procedures were also carried out with sterically-unhindered aromatic aldehydes in later work [62]. Moreover, the use of triazolylidene as catalysts by Connon, Zeitler, and co-workers enabled the reduction of steric hindrance [63]. Furthermore, Gravel discovered that carrying out the reaction with piperidine-fused triazolylidene as catalyst allowed great chemoselectivity even in the case of condensation between simple benzaldehyde and acetic aldehyde [64,65]. It is also possible to control chemoselectivity using different catalysts under the same conditions. Yang and co-workers reported a reaction between aromatic aldehyde and acetaldehyde [66]. In the case of triazolium salt precatalyst, the Breslow intermediate was formed from acetaldehyde, whereas for thiazolylidene catalyst, the reaction of carbene with aromatic aldehyde was preferred. Moreover, the intermolecular cross-benzoin condensation enabled useful hydroxymethylation of aldehydes. Such a procedure of reaction between aldehydes and paraformaldehyde was reported by Glorius in 2011 [67]. It is worth noting that the chemoselective cross-benzoin reaction with the use of α-aminoaldehydes as electrophilic agents is also possible [68,69].
Scheme 4.
Reaction developed by Enders and Henseler.
Another interesting aspect of the benzoin reaction is an aza-benzoin condensation. For the first time, such a reaction was reported by López-Calahorra in 1988 [70]. The condensation of iminium salts generated in the reaction of paraformaldehyde and morpholine or piperidine and aromatic aldehydes led to α-aminoketones with moderate yields. Later, the reaction scope was expanded to include acyl imines, Boc-protected imines, phosphinoylimines, N-arylimines, or N-aryliminium ions formed via a photoredox process [71,72,73,74,75]. Moreover, the first asymmetric aza-benzoin reaction catalyzed by thiazolylidene bonded to a peptide chain was reported by Miller and co-workers in 2005 (Scheme 5) [50]. Seven years later, Rovis et al. reported enantioselective condensation using triazolium salt as a precatalyst [76]. Furthermore, aza-benzoin condensation with ketimines as substrates is also possible [77,78,79]. Its additional advantage is the fact that possible racemization via enolization is blocked. However, it is worth noting that ketimines are less reactive species than aldimines in aza-benzoin condensation.
Scheme 5.
Reaction developed by Miller.
4. Coates–Claisen and Ireland–Coates–Claisen Rearrangements
N-heterocyclic carbene-catalyzed Claisen rearrangements are also possible. However, the differences between the Claisen reaction reported firstly in 1912 [80,81,82] and the catalytic reactions referred to nowadays should be emphasized. Currently performed NHC-catalyzed Claisen rearrangements are based on the intermediate formed after enol addition to the acylazolium. The structure of this generated intermediate clearly indicates C4 acceleration reported by Coates (Scheme 6) [83]. Naturally, most 3,3-sigmatropic rearrangements catalyzed by NHCs are basically Coates–Claisen rearrangements. However, in brief, most of the similar reactions reported in currently published articles are called Claisen rearrangements.
Scheme 6.
Similarity of C4 acceleration reported by Coates and Bode.
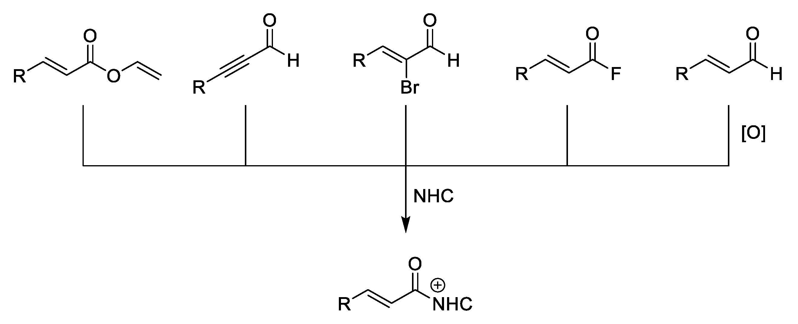
As mentioned, one of the mechanistic fundamentals of the Claisen-type reactions is the generation of α,β-unsaturated acylazolium (Scheme 7). Formation of this intermediate is usually carried out via the reaction of NHCs with α,β-unsaturated enol esters or ethers [84,85,86], ynals [87,88,89,90], 2-bromoenals [91,92,93,94], or acyl fluorides [95,96]. Moreover, formation α,β-unsaturated acylazolium is possible via two-electron oxidation of Breslow intermediate [97,98,99,100,101,102,103].
Scheme 7.
Formation of α,β-unsaturated acylazolium.
The first NHC-catalyzed Coates–Claisen rearrangement was reported by Bode and co-workers in 2010 (Scheme 8) [89]. The reaction of ynals with kojic acids led to unstable dihydropyranones. The subsequent ring-opening through alcoholysis allowed the authors to obtain stable products without deterioration of enantiomeric excesses. The reaction began by the generation of α,β-unsaturated acylazolium, as noted above. Further reaction steps were acylation of enol, Claisen rearrangement of the resulting intermediate, tautomerization, and secondary lactonization. Moreover, the authors also used substrates other than kojic acids, but the results proved to be unsatisfactory. Two years later, Bode reported the broad extension of the substrate scope, including 2-naphthols [104]. In their case, the reaction stopped partially at the enol acylation step. Enantiomeric excess also remained moderate. The problem was solved in 2015 by You using the L-phenylalanine-derived catalyst [105].
Scheme 8.
Reaction developed by Bode and co-workers.
Nevertheless, the Claisen-type reaction model had much wider application. Yu in 2012 showed the possibility of using diketones as sources of enol and α,β-dibromoaldehydes as precursors of α,β-unsaturated acylazoliums [91]. In addition, Bode significantly developed the subject of the possibilities of using acyclic enamines in the aza-Claisen rearrangement [106]. Rafiński and co-workers reported recently the first aza-Claisen reaction of cyclic enamines in the form of 6-amino-uracils [107]. Not much later, Biju showed interesting C2-functionalization of 3-aminobenzofurans via aza-Claisen rearrangement [108].
Computational investigations [109], spectroscopic and kinetic studies of the mechanism [110], and a comprehensive discussion of the impact of the catalyst structure [111] have significantly increased knowledge of this process. Furthermore, an additional advantage is the example of use in total synthesis. Liu and co-workers used the Coates–Claisen reaction in the synthesis of a dihydropyran core for oleuropein based secoiridoids (Scheme 9) [112].
Scheme 9.
Reaction developed by Liu and co-workers.
N-heterocyclic carbene catalyzed Ireland–Coates–Claisen rearrangement is also possible. Such a reaction is slightly different from the Coates–Claisen variant reported by Bode [89]. The difference is a C2 activation similar to that reported by Ireland (Scheme 10) [113]. Moreover, acylazolium intermediate indicates also C4 acceleration reported by Coates [83].
Scheme 10.
Similarity of C4 and/or C2 acceleration reported by Coates, Ireland, and Lupton.
The first and only NHC-catalyzed Ireland–Coates–Claisen rearrangement was reported by Lupton in 2012 (Scheme 11) [114]. Acylazolium formation from acyl fluorides and releasing fluoride anion triggered desilylation of TMS-protected substrate. The subsequent retro-aldol reaction led to reactive enolate. Generation of hemiacetal and afterward Ireland–Coates–Claisen rearrangement is provided to the next intermediate, which undergoes aldol cyclization and lactonization to give a final product with good diastereoselectivity. Unfortunately, the authors decided to synthesize racemic mixtures due to competitive reactions which occur when the chiral sterically hindered catalyst is used.
Scheme 11.
Reaction developed by Lupton and co-workers.
5. oxy-Cope Rearrangement
The Cope rearrangement was discovered by Arthur C. Cope in 1940 [115]. This reaction in its nature is a thermal-induced isomerization of 1,5-dienes. However, in the oxy-Cope rearrangement [116], a substrate has a hydroxyl group on the sp3 carbon in position 3. This creates a product—enol or ketone, depending on keto-enol tautomerization. Isomerization is faster in this type of reaction, and it can take place at a lower temperature [117,118,119,120].
Moreover, the tautomerization allows the annulation processes to take place, so the oxy-Cope rearrangement is often one of the steps in multistep reactions. This is especially significant in obtaining complex compounds of biological importance. The mechanism is widely used in combination with benzoin condensation, called benzoin-oxy-Cope rearrangement, and with nitrogen instead of oxygen as aza-benzoin-oxy-Cope.
Bode et al., based on their research, conducted a comparison [121] in which they found that some types of reaction prefer a specific N-heterocyclic carbene backbone as a catalyst. The oxy-Cope reaction is in general performed by employing triazolium salts as the NHC precursors. An example of this finding is cyclopentene forming annulation [122] or synthesis of bicyclo-β-lactams (Scheme 12) [123].
Scheme 12.
Reactions developed by Bode and co-workers. (A): 2007; (B): 2008.
Ma and co-workers implemented an interesting innovation in domino synthesis by using a three-component mixture catalyzed by NHC to obtain 1,6-dicarbonyl compound (Scheme 13) [124]. This cascade includes crossed-benzoin/oxy-Cope rearrangement/esterification processes. It is noteworthy that the catalyst precursor is no longer triazolium but imidazolium salt. Furthermore, ε-ketoesters are relevant in the total synthesis of natural compounds like prostaglandin A2 (PGA) [125], amphoteronolide B [126], or bilobalide [127,128].
Scheme 13.
Reaction reported by Ma and co-workers.
6. Diels–Alder Reaction
A pure Diels–Alder reaction between conjugated diene and vinyl dienophile [129] was firstly reported by Lupton in 2014 (Scheme 14) [130]. Addition of an NHC catalyst to vinyl esters of cyclohexa-1,3-diene-1-carboxylic acid resulted in the creation of α,β,γ,δ-usaturated hemiacetal azolium intermediate. Further olefin isomerization of the resulting intermediate enabled an intramolecular Diels–Alder reaction. Moreover, the authors proved additional Lewis-base catalysis of the developed cascade olefin isomerization/Diels–Alder reaction. Furthermore, the possibility of derivatization of obtained tricyclic products rendered the developed procedure particularly worthwhile.
Scheme 14.
Reaction developed by Lupton and Kowalczyk.
A hetero-Diels–Alder reaction in the case of N-heterocyclic carbene catalysis is significantly more often encountered in the literature. Azadiene and oxodiene Diels–Alder reactions were firstly developed by Bode and co-workers in 2006 (Scheme 15A) [131,132]. In the case of azadiene-Diels–Alder reaction, β-EWG-substituted α,β-unsaturated aldehyde formed (Z)-enolate after the addition of the NHC catalyst. Such created dienophile reacts with α,β-unsaturated imine. The oxodiene-Diels–Alder reaction reported a few months later occurred in a similar way. In this case, α-chloroaldehyde and β-EWG-substituted α,β-unsaturated ketone or unsaturated α-ketoester were used as substrates (Scheme 15B). In both examples, the reactions occurred in a highly stereoselective manner, up to 99% ee.
Scheme 15.
Reactions developed by Bode and co-workers. (A): June, 2006; (B): October, 2006.
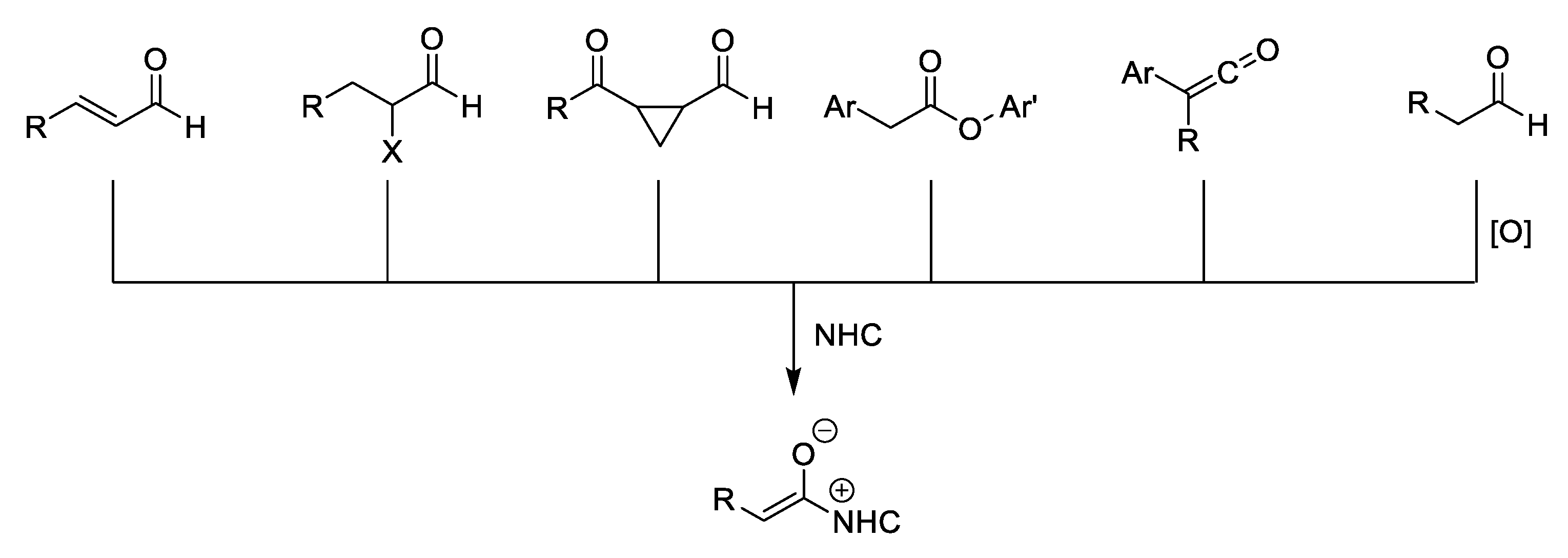
The enolate equivalent can arise not only from β-EWG-substituted α,β-unsaturated aldehyde or α-chloroaldehyde [133,134,135] but also from ketenes [136,137], cinnamaldehydes [138], functionalized formylcyclopropanes [139], esters [140], or simple saturated alkyl aldehydes under oxidizing conditions [141] (Scheme 16).
Scheme 16.
Formation of (Z)-enolate.
The work recently published by Hopkinson and co-workers merged light-mediated transformations with N-heterocyclic carbene catalysis [142]. Generated via the addition of NHC to benzoic acid fluoride, benzoyl azolium salt was changed into the biradical-like excited state during irradiation with UVA light. After rearrangement during relaxation, a diene-type intermediate was formed. Then, cycloaddition with 1,1,1-trifluoroacetophenones led to the hetero-Diels–Alder reaction product (Scheme 17).
Scheme 17.
Reaction developed by Hopkinson and co-workers.
7. Michael Addition
A Michael reaction is an 1,4-addition type of conjugated addition. This reaction was discovered by Arthur Michael in 1887 [143]. It takes place between active methylene with α,β-unsaturated carbonyl compound, leading to C-C bond formation. Furthermore, asymmetric Michael addition has been known since the 1980s [144,145,146,147,148,149]. In addition, the umpolung effect forced by imines is known to take place in this type of synthesis [150].
Nevertheless, the crucial problem at those times, and also nowadays, was the low enantioselectivity and effectiveness of synthesis and the high cost. Consequently, when the first stable N-heterocyclic carbene (NHC) was discovered [151] and used in organocatalysis, new possibilities were introduced, not only in improving standard mechanisms but also by making slight changes to obtain a large effect during synthesis.
Michael additions enabled by N-heterocyclic carbenes can be divided into a few types in terms of their pathways. The first type is the intermolecular reaction. It could be argued that the classic type of the mentioned addition of two molecules has been known for years. Despite this, with few exceptions [152,153], the standard Michael reaction is not the subject of modern research on N-heterocyclic carbene catalysis. There are many simple modifications of the process that lead to advanced mechanisms or subsequent reactions. For example, oxidizing the Breslow intermediate enables the annulation process [154]. (Scheme 18). It is worth noting that this reaction is confusingly similar to the Coates–Claisen rearrangement. However, the authors postulate that the reaction occurs via 1,4-Michael addition. Moreover, it gives useful intermediates for γ-lactones, benzenoids, or pyridine synthesis [155,156].
Scheme 18.
Reaction developed by You and co-workers.
The chiral product also can be obtained with non-chiral 1,4-dimethyl triazolium carbene as a catalyst and chiral β-ketoamide as Michael donor. The reaction developed by De Sarkar and Struder takes place with DBU in THF under oxidative conditions [157].
Another type of annulation by Michael reaction was demonstrated by Rovis and co-workers. Using a multi-catalyst mixture (proline derivative + NHC), they obtained [3+2] cyclic adduct [158,159] (Scheme 19). The first step is addition catalyzed by a proline derivative and the second is cyclization enabled by NHC. Similar research was performed by Ender’s group. The reaction takes place between enals and β-oxo sulfones, with yields and ees of up to 99% [160].
Scheme 19.
Reactions developed by Rovis and co-workers. (A): 2009; (B): 2011.
Hetero-Michael reactions catalyzed by NHCs are also possible. A peculiar example of NHC catalysis also involving sulfur constituted the most recent research of Ghosh et al., in which thia-Michael addition is the first step of [3+3] annulation, starting from 2-bromoenals and thioamides [161] (Scheme 20). Nitrogen can also take part in a Michael reaction like aza-Michael addition in, for example, [3+4] annulation [94,162].
Scheme 20.
Reaction developed by Ghosh and co-workers.
A widely used example of 1,4-addition is the reaction that takes place in the same molecule giving the cyclic product. Often, an intramolecular Michael reaction is the first step in generating a more complex structure, as in, for example, the synthesis of 1,5-dicarbonyl compounds [163,164] (Scheme 21). Moreover, there is some research about the intramolecular synthesis of preanthraquinones from functionalized isoxazoles [46].
Scheme 21.
Reactions developed by Scheidt and co-workers (A) and You and co-workers (B).
Double Michael addition, also called a cascade Michael–Michael reaction, is a powerful method for the synthesis of complex natural compounds. Thus, synthesis of the pyrroloquinoline derivatives by aza-Michael–Michael cascade was the latest research conducted by Biju and co-workers [165] (Scheme 22).
Scheme 22.
Reaction developed by Biju and co-workers.
Michael addition, as we can see above, is often combined with other types of reactions. The combination of Michael reaction and aldol condensation is called Robinson annulation [166]. Other types of Michael-type cascade reactions are, for example, benzoin-Michael–Michael cascade [167], Stetter–aldol–Michael cascade [168,169], and others [170,171,172,173].
8. Mitsunobu Reaction
A Mitsunobu reaction [174,175,176] with the use of N-heterocyclic carbenes as phosphine mimetics was reported a few years before a similar Appel reaction promoted by NHCs (Scheme 23) [177]. Suzuki and co-workers developed a protocol based on the reaction of alcohols with NHCs under oxidizing conditions, using the oxidant reported by Kharasch [178]. It should be emphasized that NHC is also used in this case as the stoichiometric reagent. The strong similarity to the Appel reaction lies in the formation of a 5-alkoxytriazolium intermediate and the subsequent nucleophilic attack on the resulting molecule. Expected aryl-alkyl ethers were obtained at elevated temperatures, with moderate to high yields. Several derivatives of alkylated phthalimide were obtained in a similar manner. Moreover, the developed protocol allowed the synthesis of esters under microwave (MW) irradiation, with moderate yields.
Scheme 23.
Reaction developed by Suzuki and co-workers.
9. Morita–Baylis–Hillman Reaction
N-heterocyclic carbenes proved to be efficient catalysts for the aza-Morita–Baylis–Hillman (aza-MBH) reaction [179,180]. This reaction involves the coupling of the activated alkene with an imine. In 2007, Ye and co-workers reported the reaction of cyclic enones with N-tosylarylimines (Scheme 24) [181], in which the free carbene added to the Michael acceptor formed an enolate. Then, enolate after reaction with imine, protonation, deprotonation, and release of NHC formed MBH adducts with high yields.
Scheme 24.
Reaction developed by Ye and co-workers.
The enantioselective NHC-catalyzed aza-Morita–Baylis–Hillman reaction was presented in 2008 by Ye et al. [182]. Unfortunately, the reaction of cyclopent-2-enone with a N-tosylphenylmethanimine yielded a product with low enantioselectivity (up to 44% ee).
The novel N-heterocyclic carbene-catalyzed Morita–Baylis–Hillman (MBH) reaction of β-substituted nitroalkenes and azodicarboxylates was reported in 2013 by Ye et al. (Scheme 25) [183]. Earlier, Namboorhiri et al. reported MBH reaction of β-aryl nitroethylenes and activated alkenes catalyzed by imidazole, but they used up to 100 mol% of catalyst [184]. In the case of NHC catalysis reported by Ye and co-workers, a catalyst reduction of up to 5 mol% allowed the authors to obtain final products with excellent yields [183].
Scheme 25.
Reaction developed by Ye and co-workers.
10. Rauhut–Currier Reaction
The first report of an NHC-catalyzed Rauhut–Currier (RC) reaction [185] which involves the coupling of an active alkene (latent enolate) to a Michael acceptor describes the cooperative use of NHCs as catalyst or initiator [186,187]. The direct application of NHC as the sole catalyst was presented by Anand in 2018 (Scheme 26), but this reaction was not efficient without the use of LiCl, which stabilizes the produced enolate [188].
Scheme 26.
Reaction developed by Anand and co-workers.
In 2019, Lupton and co-workers exploited the high nucleophilicity of N-heterocyclic carbenes to achieve intramolecular RC reaction of bis(enoate) substrates (Scheme 27) [189]. The addition of NHC resulted in the formation of an enolate, which then cyclized to form the lactone, with a new C–C bond between the α-position of one activated alkene and the β-position of the second alkene.
Scheme 27.
Reaction developed by Lupton and co-workers.
11. Staudinger Cycloaddition
Since the first report on the Staudinger ketene-imine cycloaddition in 1907 [190], many effective ways to modify the reaction conditions have been demonstrated. NHC catalysis proved to be an effective way to change reaction conditions.
The first NHC-catalyzed Staudinger cycloaddition was presented in 2008 by Ye and co-workers [191]. Authors described the reaction between ketenes and N-protected aldimines (Scheme 28). In this case, imines are strongly electrophilic; therefore, initially, carbene reacts with ketene to generate a zwitterionic azolium enolate. It reacts further with the imine and forms the final product after cyclization [192]. Cis-β-lactams have been obtained with good yields, good diastereoselectivity, and excellent enantioselectivity [191].
Scheme 28.
Reaction developed by Ye and co-workers.
The zwitterionic azolium enolate may also react with a carbonyl group to produce a β-lactone. Recently, such a version of the Staudinger reaction using trifluoromethyl ketones [193], 2-oxoaldehydes [194], aldehydes [195], or isatins [196] has been presented. Other approaches include the reaction of ketenes with azodicarboxylates [197], nitroso compounds [198], or N-sulfinylanilines [199].
In 2010, Feroci et al. applied an innovative method of conducting Staudinger cycloaddition reaction between ketene, generated by dehydrohalogenation of an acyl halide and a non-electrophilic N-aryl aldimine in 1-butyl-3-methylimidazolium tetrafluoroborate (BMIM-BF4) (Scheme 29) [200]. The ionic liquid played the dual role of solvent and precatalyst for electrochemical carbene generating. The authors are currently studying the role of this electrogenerated carbene in the reaction mechanism [201,202]. Final products have been obtained predominantly as trans-β-lactams with a good diastereomeric ratio.
Scheme 29.
Reaction developed by Feroci and co-workers.
12. Stetter Reaction
In 1974, Stetter and Kuhlmann noticed that the thiazolium salt in the presence of a base catalyzes the reaction of α,β-unsaturated ketones, esters, and nitriles with aliphatic, aromatic, and heterocyclic aldehydes (Scheme 30) [203]. Such a reaction, later called the Stetter reaction, is a good synthetic tool for the construction of 1,4-bifunctional compounds. Furthermore, the Stetter reaction has been successfully used as a model reaction in the developing of NHC catalysts [204,205,206,207,208].
Scheme 30.
Reaction developed by Stetter and Kuhlmann.
The acyl anion equivalent (Breslow intermediate) generated from aldehyde after the addition of NHC can react with various α,β-unsaturated compounds, called Michael acceptors, to form 1,4-dicarbonyl compounds or other derivatives such as ketophosphonates [209], nitroketones [210], or ketonitriles [211]. Other approaches involved the generation of aza-Breslow intermediate via imine umpolung (aza-Stetter) [212] or Breslow intermediate from acylsilanes (sila-Stetter) [213].
The intramolecular Stetter reaction was presented firstly in 1979 by Trost et al. (Scheme 31) [214]. In total, 2.3 equivalents of the thiazolium salt were used in this reaction to obtain a product with a good yield. Additionally, this work is an example of the first formation of a quaternary stereogenic center via the Stetter reaction.
Scheme 31.
Reaction developed by Trost and co-workers.
The Stetter reaction can be combined with Paal–Knorr synthesis of furans and pyrroles [215,216], in which 1,4-difunctionalized Stetter product undergoes condensation. In 2001, Müller and coworkers reported the synthesis of pyrroles via a one-pot, three-step, four-component process by a coupling-isomerization Stetter–Paal–Knorr pathway (Scheme 32) [217].
Scheme 32.
Reaction developed by Müller and co-workers.
Another example of the synthesis of pyrroles utilizing a Stetter–Paal–Knorr strategy was presented by Scheidt [218]. The sila-Stetter reaction of acylsilanes with unsaturated ketones generated 1,4-dicarbonyl compounds in situ. Then, the Paal–Knorr reaction with various amines afforded desired pyrroles with good yields.
A cascade reaction involving NHC-catalyzed Stetter reaction was presented in 2009 by Gravel and co-workers (Scheme 33) [219]. An enolate intermediate, generated from Breslow intermediate and Michael acceptor, may undergo two possible pathways to form indane by nucleophilic attack onto an appropriate electrophile and cyclization or by forming the simple Stetter product, which could afford final product in basic conditions. The indane derivatives were obtained in good yield and good diastereomeric ratio.
Scheme 33.
Reaction developed by Gravel and co-workers.
The Stetter reaction is a useful and effective tool used as one of the steps in the synthesis of complex organic molecules such as natural products, e.g., dihydrojasmone and cis-jasmone [220], trans-sabiene hydrate [221], and (+)-monomorine I [222], and medicinally relevant non-natural products. The 1,4-diketone intermediate required for the synthesis of the compound sold under the trade name Lipitor was synthesis by the Stetter reaction (Scheme 34) [223]. This transformation was used in the industrial route [224].
Scheme 34.
Reaction developed by Roth and co-workers.
13. Wallach Reaction
Described by Otto Wallach in 1873 [225], oxidation of chloroaldehydes to carboxylic acids was the first step of later redox-type organocatalytic reactions of α-reducible aldehydes [226,227,228]. Nowadays there are many variations of this reaction involving not only aldehydes but also alcohols and carboxylic acids as substrates.
The first thiazolium-catalyzed Wallach-type reaction was announced by Castells’s group [229] almost 100 years after Wallach’s discovery. They obtained methyl esters from corresponding aryl aldehydes. Meanwhile, the year 2004 represented a breakthrough in N-heterocyclic carbene catalysis because of many independent reports of fundamental reaction types. Bode and co-workers were among these pioneering researchers [230] reporting an NHC-catalyzed Wallach-type reaction of epoxyaldehydes (Scheme 35).
Scheme 35.
Reaction developed by Bode and co-workers.
Only a few issues later [231] in the same journal, research by Rovis and co-workers was published. They obtained esters from α-halogenaldehydes in the presence of triazolium salt and triethylamine in toluene (Scheme 36).
Scheme 36.
Reaction developed by Rovis and co-workers.
Further research led to obtaining α-chloroesters [232] by the same method and also other types of economical redox esterification of enals like α-hydroxy or α-amino esters [233,234,235]. However, to prevent C–C bond formation from Breslow intermediate instead of its oxidation, the proper base should be used [236].
N-heterocyclic carbenes are widely used in many annulation processes; thus, it was obvious that the Wallach-type mechanism could also be applied in this type of synthesis. According to this method, Zeitler and Rose in 2009 obtained 3,4–dihydrocumarins [237] (Scheme 37).
Scheme 37.
Reaction developed by Zeitler and Rose.
14. Summary
N-heterocyclic carbenes enable numerous name reactions, although sometimes, at first glance, it is difficult to find historical mechanisms there. Nonetheless, we managed to highlight these similarities and show NHC catalysis as a development of the original name reactions. This is especially helpful for readers learning about N-heterocyclic carbene-based organocatalysis and provides knowledge of the basics of organic chemistry. We hope that this presentation of the evolution of organic chemistry will be an inspiration for the further development of organocatalytic applications of N-heterocyclic carbenes.
Author Contributions
K.D., I.B., K.M., M.S., and Z.R. wrote the manuscript. All authors have read and agreed to the published version of the manuscript.
Funding
The project is co-financed by the National Science Center as part of the SONATA BIS program (UMO-2016/22/E/ST5/00469).
Conflicts of Interest
The authors declare no conflict of interest.
Acronyms
| CC | constant current |
| DBU | 1,8-diazabicycloundec-7-ene |
| DCM | dichloromethane |
| DIPEA | diisopropylamine |
| DMSO | dimethylsulfoxide |
| KHMDS | potassium hexamethyldisilazide |
| KO | Kharasch oxidant (3,3’,5,5’-tetra-tert-butyldiphenoquinone) |
| NHC | N-heterocyclic carbene |
| PEMP | 1,2,2,6,6-pentamethylpiperidine |
| preNHC | NHC precatalyst |
| THFTMS | TetrahydrofuranTrimethylsilyl group |
References
- Flanigan, D.M.; Romanov-Michailidis, F.; White, N.A.; Rovis, T. Organocatalytic Reactions Enabled by N-Heterocyclic Carbenes. Chem. Rev. 2015, 115, 9307–9387. [Google Scholar] [CrossRef] [PubMed]
- Douglas, J.; Churchill, G.; Smith, A.D. NHCs in asymmetric organocatalysis: Recent advances in azolium enolate generation and reactivity. Synthesis 2012, 44, 2295–2309. [Google Scholar]
- Bugaut, X.; Glorius, F. Organocatalytic umpolung: N-heterocyclic carbenes and beyond. Chem. Soc. Rev. 2012, 41, 3511–3522. [Google Scholar] [CrossRef] [PubMed]
- Izquierdo, J.; Hutson, G.E.; Cohen, D.T.; Scheidt, K.A. A continuum of progress: Applications of N-hetereocyclic carbene catalysis in total synthesis. Angew. Chem.-Int. Ed. 2012, 51, 11686–11698. [Google Scholar] [CrossRef]
- Nair, V.; Menon, R.S.; Biju, A.T.; Sinu, C.R.; Paul, R.R.; Jose, A.; Sreekumar, V. Employing homoenolates generated by NHC catalysis in carbon-carbon bond-forming reactions: State of the art. Chem. Soc. Rev. 2011, 40, 5336–5346. [Google Scholar] [CrossRef]
- Nguyen, X.B.; Nakano, Y.; Lupton, D.W. Polarity Inversion Catalysis by the 1,4-Addition of N-Heterocyclic Carbenes. Aust. J. Chem. 2020, 73, 1–8. [Google Scholar] [CrossRef]
- Biju, A.T. N-Heterocyclic Carbenes in Organocatalysis; Wiley-VCH Verlag GmbH & Co. KGaA: Weinheim, Germany, 2018; Volume 2019, ISBN 9783527809042. [Google Scholar]
- Vora, H.U.; Wheeler, P.; Rovis, T. Exploiting acyl and enol azolium intermediates via N-heterocyclic carbene-catalyzed reactions of α-reducible aldehydes. Adv. Synth. Catal. 2012, 354, 1617–1639. [Google Scholar] [CrossRef]
- Albanese, D.C.M.; Gaggero, N. An overview on the N-heterocyclic carbene-catalyzed Aza-Benzoin condensation reaction. Catalysts 2018, 8, 181. [Google Scholar] [CrossRef]
- Hussein, M.A.; Nguyen, T.V. Promotion of Appel-type reactions by N-heterocyclic carbenes. Chem. Commun. 2019, 55, 7962–7965. [Google Scholar] [CrossRef]
- Glorius, F. N-heterocyclic carbenes in catalysis—An introduction. Top. Organomet. Chem. 2006, 21, 1–20. [Google Scholar]
- Kantchev, E.A.B.; O’Brien, C.J.; Organ, M.G. Palladium complexes of N-heterocyclic carbenes as catalysts for cross-coupling reactions—A synthetic chemist’s perspective. Angew. Chem.-Int. Ed. 2007, 46, 2768–2813. [Google Scholar] [CrossRef] [PubMed]
- Appel, R. Tertiary Phosphane/Tetrachloromethane, a Versatile Reagent for Chlorination, Dehydration, and P-N Linkage. Angew. Chem. Int. Ed. Engl. 1975, 14, 801–811. [Google Scholar] [CrossRef]
- Wöhler, F.; Liebig, J. Untersuchungen über das Radikal der Benzoesäure. Ann. Pharm. 1832, 3, 249–282. [Google Scholar] [CrossRef]
- Zinin, N. Beiträge zur Kenntniss einiger Verbindungen aus der Benzoylreihe. Ann. Pharm. 1839, 31, 329–332. [Google Scholar] [CrossRef]
- Zinin, N. Ueber einige Zersetzungsprodukte des Bittermandelöls. Ann. Chem. Pharm. 1840, 34, 186–192. [Google Scholar] [CrossRef]
- Lapworth, A. CXXII.-Reactions involving the addition of hydrogen cyanide to carbon compounds. Part II. Cyanohydrins regarded as complex acids. J. Chem. Soc. Trans. 1904, 85, 1206–1214. [Google Scholar] [CrossRef]
- Ukai, T.; Tanaka, R.; Dokawa, T.A. A New Catalyst for Acyloin Condensation. J. Pharm. Soc. Jpn. 1943, 63, 296–300. [Google Scholar]
- Breslow, R. On the Mechanism of Thiamine Action. IV. Evidence from Studies on Model Systems. J. Am. Chem. Soc. 1958, 80, 3719–3726. [Google Scholar] [CrossRef]
- Li, C.Y.; Kuo, Y.Y.; Tsai, J.H.; Yap, G.P.A.; Ong, T.G. Amine-linked N-heterocyclic carbenes: The importance of an pendant free-amine auxiliary in assisting the catalytic reaction. Chem.-An Asian J. 2011, 6, 1520–1524. [Google Scholar] [CrossRef]
- Iwamoto, K.I.; Hamaya, M.; Hashimoto, N.; Kimura, H.; Suzuki, Y.; Sato, M. Benzoin reaction in water as an aqueous medium catalyzed by benzimidazolium salt. Tetrahedron Lett. 2006, 47, 7175–7177. [Google Scholar] [CrossRef]
- Baragwanath, L.; Rose, C.A.; Zeitler, K.; Connon, S.J. Highly enantioselective benzoin condensation reactions involving a bifunctional protic pentafluorophenyl-substituted triazolium precatalyst. J. Org. Chem. 2009, 74, 9214–9217. [Google Scholar] [CrossRef]
- Stetter, H.; Kuhlmann, H. Acyloin Condensation By Thiazolium Ion Catalysis: Butyroin. Org. Synth. 1984, 62, 170. [Google Scholar]
- Iwamoto, K.I.; Kimura, H.; Oike, M.; Sato, M. Methylene-bridged bis(benzimidazolium) salt as a highly efficient catalyst for the benzoin reaction in aqueous media. Org. Biomol. Chem. 2008, 6, 912–915. [Google Scholar] [CrossRef] [PubMed]
- Miyashita, A.; Suzuki, Y.; Iwamoto, K.; Higashino, T. Catalytic Action of Azolium Salts. VI. Preparation of Benzoins and Acyloins by Condensation of Aldehydes Catalyzed by Azolium Salts. Chem. Pharm. Bull. 1994, 42, 2633–2635. [Google Scholar] [CrossRef]
- Teles, J.H.; Melder, J.-P.; Ebel, K.; Schneider, R.; Gehrer, E.; Harder, W.; Brode, S.; Enders, D.; Breuer, K.; Raabe, G. The Chemistry of Stable Carbenes. Helv. Chim. Acta 1996, 79, 61–83. [Google Scholar]
- Sheehan, J.C.; Hunneman, D.H. Homogeneous Asymmetric Catalysis. J. Am. Chem. Soc. 1966, 88, 3666–3667. [Google Scholar] [CrossRef]
- Yano, Y.; Tamura, Y.; Tagaki, W. Structural Aspects of Catalytic Activities of Thiazolium Salts in Benzoin Condensation Reaction in Methanol. Bull. Chem. Soc. Jpn. 1980, 53, 740–744. [Google Scholar] [CrossRef]
- Knight, R.L.; Leeper, F.J. Synthesis of and asymmetric induction by chiral bicyclic thiazolium salts. Tetrahedron Lett. 1997, 38, 3611–3614. [Google Scholar] [CrossRef]
- Gerhard, A.U.; Leeper, F.J. Synthesis of and asymmetric induction by chiral polycyclic thiazolium salts. Tetrahedron Lett. 1997, 38, 3615–3618. [Google Scholar] [CrossRef]
- Dvorak, C.A.; Rawal, V.H. Catalysis of benzoin condensation by conformationally-restricted chiral bicyclic thiazolium salts. Tetrahedron Lett. 1998, 39, 2925–2928. [Google Scholar] [CrossRef]
- Sheehan, J.C.; Hara, T. Asymmetric Thiazolium Salt Catalysis of the Benzoin Condensation. J. Org. Chem. 1974, 39, 1196–1199. [Google Scholar] [CrossRef]
- Martí, J.; Castells, J.; López-Calahorra, F. Introduction to a rational design of chiral thiazolium salts. Tetrahedron Lett. 1993, 34, 521–524. [Google Scholar] [CrossRef]
- Knight, R.L.; Leeper, F.J. Comparison of chiral thiazolium and triazolium salts as asymmetric catalysts for the benzoin condensation. J. Chem. Soc.-Perkin Trans. 1998, 1, 1891–1893. [Google Scholar] [CrossRef]
- Orlandi, S.; Caporale, M.; Benaglia, M.; Annunziata, R. Synthesis of new enantiomerically pure C1- and C2-symmetric N-alkyl-benzimidazolium and thiazolium salts. Tetrahedron Asymmetry 2003, 14, 3827–3830. [Google Scholar] [CrossRef]
- Tachibana, Y.; Kihara, N.; Takata, T. Asymmetric Benzoin Condensation Catalyzed by Chiral Rotaxanes Tethering a Thiazolium Salt Moiety via the Cooperation of the Component: Can Rotaxane Be an Effective Reaction Field? J. Am. Chem. Soc. 2004, 126, 3438–3439. [Google Scholar] [CrossRef]
- Pesch, J.; Harms, K.; Bach, T. Preparation of axially chiral N,N′-diarylimidazolium and N-arylthiazolium salts and evaluation of their catalytic potential in the benzoin and in the intramolecular stetter reactions. European J. Org. Chem. 2004, 2025–2035. [Google Scholar] [CrossRef]
- Enders, D.; Breuer, K.; Teles, J.H. A novel asymmetric benzoin reaction catalyzed by a chiral triazolium salt: Preliminary communication. Helv. Chim. Acta 1996, 79, 1217–1221. [Google Scholar] [CrossRef]
- Enders, D.; Kallfass, U. An efficient nucleophilic carbene catalyst for the asymmetric benzoin condensation. Angew. Chem.-Int. Ed. 2002, 41, 1743–1745. [Google Scholar] [CrossRef]
- Ma, Y.; Wei, S.; Wu, J.; Yang, F.; Liu, B.; Lan, J.; Yang, S.; You, J. From mono-triazolium salt to bis-triazolium salt: Improvement of the asymmetric intermolecular benzoin condensation. Adv. Synth. Catal. 2008, 350, 2645–2651. [Google Scholar] [CrossRef]
- Enders, D.; Han, J. Synthesis of enantiopure triazolium salts from pyroglutamic acid and their evaluation in the benzoin condensation. Tetrahedron Asymmetry 2008, 19, 1367–1371. [Google Scholar] [CrossRef]
- Brand, J.P.; Siles, J.I.O.; Waser, J. Synthesis of Chiral Bifunctional (Thio)urea N-Heterocyclic Carbenes. Synlett 2010, 6, 881–884. [Google Scholar]
- Soeta, T.; Tabatake, Y.; Inomata, K.; Ukaji, Y. Asymmetric benzoin condensation promoted by chiral triazolium precatalyst bearing a pyridine moiety. Tetrahedron 2012, 68, 894–899. [Google Scholar] [CrossRef]
- Rafiński, Z.; Kozakiewicz, A.; Rafińska, K. Highly efficient synthesis of spirocyclic (1R)-camphor-derived triazolium salts: Application in the catalytic asymmetric benzoin condensation. Tetrahedron 2014, 70, 5739–5745. [Google Scholar] [CrossRef]
- Rafiński, Z. Enantioselective benzoin condensation catalyzed by spirocyclic terpene-based N-heterocyclic carbenes. Tetrahedron 2016, 72, 1860–1867. [Google Scholar] [CrossRef]
- Hachisu, Y.; Bode, J.W.; Suzuki, K. Catalytic intramolecular crossed aldehyde-ketone benzoin reactions: A novel synthesis of functionalized preanthraquinones. J. Am. Chem. Soc. 2003, 125, 8432–8433. [Google Scholar] [CrossRef]
- Enders, D.; Niemeier, O. Thiazol-2-ylidene catalysis in intramolecular crossed aldehyde-ketone benzoin reactions. Synlett 2004, 12, 2111–2114. [Google Scholar] [CrossRef]
- Hachisu, Y.; Bode, J.W.; Suzuki, K. Thiazolium ylide-catalyzed intramolecular aldehyde-ketone benzoin-forming reactions: Substrate scope. Adv. Synth. Catal. 2004, 346, 1097–1100. [Google Scholar] [CrossRef]
- Cookson, R.C.; Lane, R.M. Conversion of dialdehydes into cyclic α-ketols by thiazolium salts: Synthesis of cyclic 2-hydroxy-2-enones. J. Chem. Soc. Chem. Commun. 1976, 804–805. [Google Scholar] [CrossRef]
- Mennen, S.M.; Miller, S.J. Development of a bio-inspired acyl-anion equivalent macrocyclization and synthesis of a trans-resorcylide precursor. J. Org. Chem. 2007, 72, 5260–5269. [Google Scholar] [CrossRef]
- Enders, D.; Niemeier, O.; Balensiefer, T. Asymmetric intramolecular crossed-benzoin reactions by N-heterocyclic carbene catalysis. Angew. Chem.-Int. Ed. 2006, 45, 1463–1467. [Google Scholar] [CrossRef]
- Enders, D.; Niemeier, O.; Raabe, G. Asymmetric synthesis of chromanones via N-heterocyclic carbene catalyzed intramolecular crossed-benzoin reactions. Synlett 2006, 2431–2434. [Google Scholar] [CrossRef]
- Takikawa, H.; Hachisu, Y.; Bode, J.W.; Suzuki, K. Catalytic enantioselective crossed aldehyde-ketone benzoin cyclization. Angew. Chem.-Int. Ed. 2006, 45, 3492–3494. [Google Scholar] [CrossRef]
- Takikawa, H.; Suzuki, K. Modified Chiral Triazolium Salts for Enantioselective Benzoin Cyclization of Enolizable Keto-Aldehydes: Synthesis of (+)-Sappanone B. Org. Lett. 2007, 9, 2713–2716. [Google Scholar] [CrossRef] [PubMed]
- Ema, T.; Oue, Y.; Akihara, K.; Miyazaki, Y.; Sakai, T. Stereoselective synthesis of bicyclic tertiary alcohols with quaternary stereocenters via intramolecular crossed benzoin reactions catalyzed by N-heterocyclic carbenes. Org. Lett. 2009, 11, 4866–4869. [Google Scholar] [CrossRef]
- Ema, T.; Akihara, K.; Obayashi, R.; Sakai, T. Construction of contiguous tetrasubstituted carbon stereocenters by intramolecular crossed benzoin reactions catalyzed by N-heterocyclic carbene (NHC) organocatalyst. Adv. Synth. Catal. 2012, 354, 3283–3290. [Google Scholar] [CrossRef]
- Enders, D.; Henseler, A. A direct intermolecular cross-benzoin type reaction: N-heterocyclic carbene-catalyzed coupling of aromatic aldehydes with trifluoromethyl ketones. Adv. Synth. Catal. 2009, 351, 1749–1752. [Google Scholar] [CrossRef]
- Rose, C.A.; Gundala, S.; Fagan, C.L.; Franz, J.F.; Connon, S.J.; Zeitler, K. NHC-catalysed, chemoselective crossed-acyloin reactions. Chem. Sci. 2012, 3, 735–740. [Google Scholar] [CrossRef]
- Thai, K.; Langdon, S.M.; Bilodeau, F.; Gravel, M. Highly chemo- and enantioselective cross-benzoin reaction of aliphatic aldehydes and α-ketoesters. Org. Lett. 2013, 15, 2214–2217. [Google Scholar] [CrossRef]
- Stetter, H.; Dämbkes, G. Über die präparative Nutzung der Thiazoliumsalz-katalysierten Acyloin- und Benzoin-Bildung; II 1. Herstellung unsymmetrischer Acyloine und α-Diketone. Synthesis 1977, 1977, 403–404. [Google Scholar] [CrossRef]
- Stetter, H.; Dämbkes, G. Über die präparative Nutzung der 1,3-Thiazoliumsalz-katalysierten Acyloin- und Benzoin-Bildung; III 1. Eine neue Methode zur Herstellung von substituierten Enol-trimethylsilyl-ethern des 1,2-Cyclopentandions. Synthesis 1980, 1980, 309–310. [Google Scholar] [CrossRef]
- Piel, I.; Pawelczyk, M.D.; Hirano, K.; Fröhlich, R.; Glorius, F. A family of thiazolium salt derived N-heterocyclic carbenes (NHCs) for organocatalysis: Synthesis, investigation and application in cross-benzoin condensation. Eur. J. Org. Chem. 2011, 5475–5484. [Google Scholar] [CrossRef]
- O’Toole, S.E.; Rose, C.A.; Gundala, S.; Zeitler, K.; Connon, S.J. Highly chemoselective direct crossed aliphatic-aromatic acyloin condensations with triazolium-derived carbene catalysts. J. Org. Chem. 2011, 76, 347–357. [Google Scholar] [CrossRef] [PubMed]
- Langdon, S.M.; Legault, C.Y.; Gravel, M. Origin of chemoselectivity in N-heterocyclic carbene catalyzed cross-benzoin reactions: DFT and experimental insights. J. Org. Chem. 2015, 80, 3597–3610. [Google Scholar] [CrossRef] [PubMed]
- Langdon, S.M.; Wilde, M.M.D.; Thai, K.; Gravel, M. Chemoselective N-heterocyclic carbene-catalyzed cross-benzoin reactions: Importance of the fused ring in triazolium salts. J. Am. Chem. Soc. 2014, 136, 7539–7542. [Google Scholar] [CrossRef] [PubMed]
- Jin, M.Y.; Kim, S.M.; Han, H.; Ryu, D.H.; Yang, J.W. Switching regioselectivity in crossed acyloin condensations between aromatic aldehydes and acetaldehyde by altering N-heterocyclic carbene catalysts. Org. Lett. 2011, 13, 880–883. [Google Scholar] [CrossRef]
- Kuhl, N.; Glorius, F. Direct and efficient N-heterocyclic carbene-catalyzed hydroxymethylation of aldehydes. Chem. Commun. 2011, 47, 573–575. [Google Scholar] [CrossRef]
- Haghshenas, P.; Gravel, M. Chemo- and Diastereoselective N-Heterocyclic Carbene-Catalyzed Cross-Benzoin Reactions Using N-Boc-α-amino Aldehydes. Org. Lett. 2016, 18, 4518–4521. [Google Scholar] [CrossRef]
- Haghshenas, P.; Quail, J.W.; Gravel, M. Substrate-Controlled Diastereoselectivity Reversal in NHC-Catalyzed Cross-Benzoin Reactions Using N-Boc-N-Bn-Protected α-Amino Aldehydes. J. Org. Chem. 2016, 81, 12075–12083. [Google Scholar] [CrossRef]
- Castells, J.; López-Calahorra, F.; Bassedas, M.; Urrios, P. A New Thiazolium Salt-Catalyzed Synthesis of α-Aminoketones from Aldehydes and Iminium Salts. Synthesis 1988, 1988, 314–315. [Google Scholar] [CrossRef]
- Murry, J.A.; Frantz, D.E.; Soheili, A.; Tillyer, R.; Grabowski, E.J.J.; Reider, P.J. Synthesis of α-amido ketones via organic catalysis: Thiazolium-catalyzed cross-coupling of aldehydes with acylimines. J. Am. Chem. Soc. 2001, 123, 9696–9697. [Google Scholar] [CrossRef]
- Mattson, A.E.; Scheidt, K.A. Catalytic additions of acylsilanes to imines: An acyl anion strategy for the direct synthesis of α-amino ketones. Org. Lett. 2004, 6, 4363–4366. [Google Scholar] [CrossRef] [PubMed]
- Wilde, M.M.D.; Gravel, M. Bis(amino)cyclopropenylidene (BAC) Catalyzed Aza-Benzoin Reaction. Org. Lett. 2014, 16, 5308–5311. [Google Scholar] [CrossRef] [PubMed]
- Li, G.Q.; Dai, L.X.; You, S.L. Thiazolium-derived N-heterocyclic carbene-catalyzed cross-coupling of aldehydes with unactivated imines. Chem. Commun. 2007, 852–854. [Google Scholar] [CrossRef] [PubMed]
- Dirocco, D.A.; Rovis, T. Catalytic asymmetric acylation of tertiary amines mediated by a dual catalysis mode: N-heterocyclic carbene and photoredox catalysis. J. Am. Chem. Soc. 2012, 134, 8094–8097. [Google Scholar] [CrossRef]
- Dirocco, D.A.; Rovis, T. Catalytic asymmetric cross-aza-benzoin reactions of aliphatic aldehydes with N-Boc-protected imines. Angew. Chem.-Int. Ed. 2012, 51, 5904–5906. [Google Scholar] [CrossRef]
- Enders, D.; Henseler, A.; Lowins, S. N-heterocyclic carbene catalyzed nucleophilic acylation of trifluoromethyl ketimines. Synthesis 2009, 4125–4128. [Google Scholar] [CrossRef]
- Sun, L.H.; Liang, Z.Q.; Jia, W.Q.; Ye, S. Enantioselective N-heterocyclic carbene catalyzed aza-benzoin reaction of enals with activated ketimines. Angew. Chem.-Int. Ed. 2013, 52, 5803–5806. [Google Scholar] [CrossRef]
- Xu, J.; Mou, C.; Zhu, T.; Song, B.A.; Chi, Y.R. N-heterocyclic carbene-catalyzed chemoselective cross-aza-benzoin reaction of enals with isatin-derived ketimines: Access to chiral quaternary aminooxindoles. Org. Lett. 2014, 16, 3272–3275. [Google Scholar] [CrossRef]
- Claisen, L. Über Umlagerung von Phenol-allyläthern in C-Allyl-phenole. Ber. Dtsch. Chem. Ges. 1912, 45, 3157–3166. [Google Scholar] [CrossRef]
- Claisen, L.; Tietze, E. Über den Mechanismus der Umlagerung der Phenol-allyläther. Ber. Dtsch. Chem. Ges. 1925, 58, 275–281. [Google Scholar] [CrossRef]
- Claisen, L.; Tietze, E. Über den Mechanismus der Umlagerung der Phenol-allyläther. (2. Mitteilung). Ber. Dtsch. Chem. Ges. 1926, 59, 2344–2351. [Google Scholar] [CrossRef]
- Coates, R.M.; Rogers, B.D.; Hobbs, S.J.; Peck, D.R.; Curran, D.P. Synthesis and Claisen Rearrangement of Alkoxyallyl Enol Ethers. Evidence for a Dipolar Transition State. J. Am. Chem. Soc. 1987, 109, 1160–1170. [Google Scholar] [CrossRef]
- Ryan, S.J.; Candish, L.; Lupton, D.W. N-heterocyclic carbene-catalyzed generation of α,β-unsaturated acyl imidazoliums: Synthesis of dihydropyranones by their reaction with enolates. J. Am. Chem. Soc. 2009, 131, 14176–14177. [Google Scholar] [CrossRef] [PubMed]
- Candish, L.; Lupton, D.W. The Total Synthesis of (−)-7-Deoxyloganin via N-Heterocyclic Carbene Catalyzed Rearrangement of α,β-Unsaturated Enol Esters. Org. Lett. 2010, 12, 4836–4839. [Google Scholar] [CrossRef]
- Ryan, S.J.; Stasch, A.; Paddon-Row, M.N.; Lupton, D.W. Synthetic and Quantum Mechanical Studies into the N- Heterocyclic Carbene Catalyzed (4 + 2) Cycloaddition. J. Org. Chem. 2012, 77, 1113–1124. [Google Scholar] [CrossRef]
- Zeitler, K. Stereoselective synthesis of (E)-α,β-unsaturated esters via carbene-catalyzed redox esterification. Org. Lett. 2006, 8, 637–640. [Google Scholar] [CrossRef]
- Zhu, Z.Q.; Xiao, J.C. N-heterocyclic carbene-catalyzed reaction of alkynyl aldehydes with 1,3-keto esters or 1,3-diketones. Adv. Synth. Catal. 2010, 352, 2455–2458. [Google Scholar] [CrossRef]
- Kaeobamrung, J.; Mahatthananchai, J.; Zheng, P.; Bode, J.W. An enantioselective Claisen rearrangement catalyzed by N-heterocyclic carbenes. J. Am. Chem. Soc. 2010, 132, 8810–8812. [Google Scholar] [CrossRef]
- Zhao, C.; Guo, D.; Munkerup, K.; Huang, K.-W.; Li, F.; Wang, J. Enantioselective [3+3] atroposelective annulation catalyzed by N-heterocyclic carbenes. Nat. Commun. 2018, 9, 611. [Google Scholar] [CrossRef]
- Yao, C.; Wang, D.; Lu, J.; Li, T.; Jiao, W.; Yu, C. N-Heterocyclic Carbene Catalyzed Reactions of α-Bromo-α,β-unsaturated Aldehydes/α,β-Dibromoaldehydes with 1,3-Dinucleophilic Reagents. Chem.-A Eur. J. 2012, 18, 1914–1917. [Google Scholar] [CrossRef]
- Zhang, B.; Feng, P.; Cui, Y.; Jiao, N. NHC-catalyzed C-O or C-N bond formation: Efficient approaches to α,β-unsaturated esters and amides. Chem. Commun. 2012, 48, 7280–7282. [Google Scholar] [CrossRef] [PubMed]
- Wang, X.B.; Zou, X.L.; Du, G.F.; Liu, Z.Y.; Dai, B. Nucleophilic carbene-catalyzed redox-esterification reaction of α-halo-α,β-unsaturated aldehyde. Tetrahedron 2012, 68, 6498–6503. [Google Scholar] [CrossRef]
- Lang, M.; Wang, J. N-Heterocyclic Carbene-Catalyzed Enantioselective β-Amination of α-Bromoenals Enabled by a Proton-Shuttling Strategy. Eur. J. Org. Chem. 2018, 2018, 2958–2962. [Google Scholar] [CrossRef]
- Ryan, S.J.; Schimler, S.D.; Bland, D.C.; Sanford, M.S. Acyl azolium fluorides for room temperature nucleophilic aromatic fluorination of chloro- and nitroarenes. Org. Lett. 2015, 17, 1866–1869. [Google Scholar] [CrossRef] [PubMed]
- Gillard, R.M.; Fernando, J.E.M.; Lupton, D.W. Enantioselective N-Heterocyclic Carbene Catalysis via the Dienyl Acyl Azolium. Angew. Chem.-Int. Ed. 2018, 57, 4712–4716. [Google Scholar] [CrossRef] [PubMed]
- Knappke, C.E.I.; Imami, A.; Jacobi von Wangelin, A. Oxidative N-Heterocyclic Carbene Catalysis. ChemCatChem 2012, 4, 937–941. [Google Scholar] [CrossRef]
- De Sarkar, S.; Biswas, A.; Samanta, R.C.; Studer, A. Catalysis with N-heterocyclic carbenes under oxidative conditions. Chem.-A Eur. J. 2013, 19, 4664–4678. [Google Scholar] [CrossRef]
- Zhang, C.; Hooper, J.F.; Lupton, D.W. N-Heterocyclic Carbene Catalysis via the α,β-Unsaturated Acyl Azolium. ACS Catal. 2017, 7, 2583–2596. [Google Scholar] [CrossRef]
- Dzieszkowski, K.; Rafiński, Z. N-Heterocyclic Carbene Catalysis under Oxidizing Conditions. Catalysts 2018, 8, 549. [Google Scholar] [CrossRef]
- Ta, L.; Axelsson, A.; Sundén, H. Attractive aerobic access to the α,β-unsaturated acyl azolium intermediate: Oxidative NHC catalysis via multistep electron transfer. Green Chem. 2016, 18, 686–690. [Google Scholar] [CrossRef]
- Ta, L.; Axelsson, A.; Sundén, H. N-Acylation of Oxazolidinones via Aerobic Oxidative NHC Catalysis. J. Org. Chem. 2018, 83, 12261–12268. [Google Scholar] [CrossRef] [PubMed]
- Ta, L.; Sundén, H. Oxidative organocatalytic chemoselective: N-acylation of heterocycles with aromatic and conjugated aldehydes. Chem. Commun. 2018, 54, 531–534. [Google Scholar] [CrossRef] [PubMed]
- Mahatthananchai, J.; Kaeobamrung, J.; Bode, J.W. Chiral N-heterocyclic carbene-catalyzed annulations of enals and ynals with stable enols: A highly enantioselective Coates-Claisen rearrangement. ACS Catal. 2012, 2, 494–503. [Google Scholar] [CrossRef] [PubMed]
- Li, G.T.; Gu, Q.; You, S.L. Enantioselective annulation of enals with 2-naphthols by triazolium salts derived from L-phenylalanine. Chem. Sci. 2015, 6, 4273–4278. [Google Scholar] [CrossRef] [PubMed]
- Wanner, B.; Mahatthananchai, J.; Bode, J.W. Enantioselective synthesis of dihydropyridinones via NHC-Catalyzed Aza-Claisen reaction. Org. Lett. 2011, 13, 5378–5381. [Google Scholar] [CrossRef] [PubMed]
- Dzieszkowski, K.; Barańska, I.; Rafiński, Z. Construction of Dihydropyrido[2,3-d]pyrimidine Scaffolds via Aza-Claisen Rearrangement Catalyzed by N-Heterocyclic Carbenes. J. Org. Chem. 2020, 85, 6645–6662. [Google Scholar] [CrossRef]
- Barik, S.; Shee, S.; Ghosh, A.; Biju, A.T. Catalytic, Enantioselective C2-Functionalization of 3-Aminobenzofurans Using N-Heterocyclic Carbenes. Org. Lett. 2020, 22, 3865–3869. [Google Scholar] [CrossRef]
- Lyngvi, E.; Bode, J.W.; Schoenebeck, F. A computational study of the origin of stereoinduction in NHC-catalyzed annulation reactions of α,β-unsaturated acyl azoliums. Chem. Sci. 2012, 3, 2346–2350. [Google Scholar] [CrossRef]
- Mahatthananchai, J.; Zheng, P.; Bode, J.W. α,β-Unsaturated acyl azoliums from N-heterocyclic carbene catalyzed reactions: Observation and mechanistic investigation. Angew. Chem.-Int. Ed. 2011, 50, 1673–1677. [Google Scholar] [CrossRef]
- Mahatthananchai, J.; Bode, J.W. The effect of the N-mesityl group in NHC-catalyzed reactions. Chem. Sci. 2012, 3, 192–197. [Google Scholar] [CrossRef]
- Vedachalam, S.; Murugesh, N.; Chakraborty, P.; Karvembu, R.; Liu, X.W. NHC catalyzed enantioselective Coates-Claisen rearrangement: A rapid access to the dihydropyran core for oleuropein based secoiridoids. New J. Chem. 2018, 42, 1832–1839. [Google Scholar] [CrossRef]
- Ireland, R.E.; Mueller, R.H. Claisen rearrangement of allyl esters. J. Am. Chem. Soc. 1972, 94, 5897–5898. [Google Scholar] [CrossRef]
- Candish, L.; Lupton, D.W. N-heterocyclic carbene-catalyzed Ireland-Coates-Claisen rearrangement: Synthesis of functionalized β-lactones. J. Am. Chem. Soc. 2013, 135, 58–61. [Google Scholar] [CrossRef] [PubMed]
- Cope, A.C.; Hardy, E.M. The Introduction of Substituted Vinyl Groups. V. A Rearrangement Involving the Migration of an Allyl Group in a Three-Carbon System1. J. Am. Chem. Soc. 1940, 62, 441–444. [Google Scholar] [CrossRef]
- Berson, J.A.; Jones, M. A Synthesis of Ketones by the Thermal Isomerization of 3-Hydroxy-1,5-hexadienes. The Oxy-Cope Rearrangement. J. Am. Chem. Soc. 1964, 86, 5019–5020. [Google Scholar] [CrossRef]
- Padarti, A.; Han, H. Rationally Designed Chiral Synthons Enabling Asymmetric Z- and E-Selective Vinylogous Aldol Reactions of Aldehydes. Org. Lett. 2018, 20, 1448–1452. [Google Scholar] [CrossRef]
- Reid, J.P.; McAdam, C.A.; Johnston, A.J.S.; Grayson, M.N.; Goodman, J.M.; Cook, M.J. Base-Mediated Cascade Rearrangements of Aryl-Substituted Diallyl Ethers. J. Org. Chem. 2015, 80, 1472–1498. [Google Scholar] [CrossRef]
- Liu, J.; Cao, C.-G.; Sun, H.-B.; Zhang, X.; Niu, D. Catalytic Asymmetric Umpolung Allylation of Imines. J. Am. Chem. Soc. 2016, 138, 13103–13106. [Google Scholar] [CrossRef]
- Ogawa, Y.; Ueno, T.; Karikomi, M.; Seki, K.; Haga, K.; Uyehara, T. Synthesis of 2-acetoxy[5]helicene by sequential double aromatic oxy-Cope rearrangement. Tetrahedron Lett. 2002, 43, 7827–7829. [Google Scholar] [CrossRef]
- Struble, J.R.; Kaeobamrung, J.; Bode, J.W. Synthesis of an N-Mesityl Substituted Chiral Imidazolium Salt for NHC-Catalyzed Reactions. Org. Lett. 2008, 10, 957–960. [Google Scholar] [CrossRef]
- Chiang, P.-C.; Kaeobamrung, J.; Bode, J.W. Enantioselective, Cyclopentene-Forming Annulations via NHC-Catalyzed Benzoin−Oxy-Cope Reactions. J. Am. Chem. Soc. 2007, 129, 3520–3521. [Google Scholar] [CrossRef] [PubMed]
- He, M.; Bode, J.W. Enantioselective, NHC-Catalyzed Bicyclo-β-Lactam Formation via Direct Annulations of Enals and Unsaturated N-Sulfonyl Ketimines. J. Am. Chem. Soc. 2008, 130, 418–419. [Google Scholar] [CrossRef] [PubMed]
- Ma, J.; Huang, Y.; Chen, R. N-Heterocyclic carbene-catalyzed (NHC) three-component domino reactions: Highly stereoselective synthesis of functionalized acyclic ε-ketoesters. Org. Biomol. Chem. 2011, 9, 1791–1798. [Google Scholar] [CrossRef] [PubMed]
- Stork, G.; Raucher, S. Chiral synthesis of prostaglandins from carbohydrates. Synthesis of (+)-15-(S)-prostaglandin A2. J. Am. Chem. Soc. 1976, 98, 1583–1584. [Google Scholar] [CrossRef] [PubMed]
- Nicolaou, K.C.; Chakraborty, T.K.; Ogawa, Y.; Daines, R.A.; Simpkins, N.S.; Furst, G.T. Chemistry of amphotericin B. Degradation studies and preparation of amphoteronolide B. J. Am. Chem. Soc. 1988, 110, 4660–4672. [Google Scholar] [CrossRef]
- Crimmins, M.T.; Jung, D.K.; Gray, J.L. Synthetic studies on the ginkgolides: Total synthesis of (±)-bilobalide. J. Am. Chem. Soc. 1993, 115, 3146–3155. [Google Scholar] [CrossRef]
- Corey, E.J.; Su, W.G. Total synthesis of a C15 ginkgolide, (±)-bilobalide. J. Am. Chem. Soc. 1987, 109, 7534–7536. [Google Scholar] [CrossRef]
- Diels, O.; Alder, K. Synthesen in der hydroaromatischen Reihe. XXIV “Dien-Synthesen” stickstoffhaltiger Heteroringe. Justus Liebigs Ann. Chem. 1928, 460, 98–122. [Google Scholar] [CrossRef]
- Kowalczyk, M.; Lupton, D.W. Cascade olefin isomerization/intramolecular Diels-Alder reaction catalyzed by N-heterocyclic carbenes. Angew. Chem.-Int. Ed. 2014, 53, 5314–5317. [Google Scholar] [CrossRef]
- He, M.; Struble, J.R.; Bode, J.W. Highly Enantioselective Azadiene Diels-Alder Reactions Catalyzed by Chiral. J. Am. Chem. Soc. 2006, 128, 8418–8420. [Google Scholar] [CrossRef]
- He, M.; Uc, G.J.; Bode, J.W. Chiral N-heterocyclic carbene catalyzed, enantioselective oxodiene Diels-Alder reactions with low catalyst loadings. J. Am. Chem. Soc. 2006, 128, 15088–15089. [Google Scholar] [CrossRef] [PubMed]
- Jian, T.Y.; Sun, L.H.; Ye, S. Highly enantioselective [4 + 2] cyclization of chloroaldehydes and 1-azadienes catalyzed by N-heterocyclic carbenes. Chem. Commun. 2012, 48, 10907–10909. [Google Scholar] [CrossRef] [PubMed]
- Yang, L.; Wang, F.; Chua, P.J.; Lv, Y.; Zhong, L.J.; Zhong, G. N-heterocyclic carbene (NHC)-catalyzed highly diastereo- and enantioselective oxo-Diels-Alder reactions for synthesis of fused pyrano[2,3-b]indoles. Org. Lett. 2012, 14, 2894–2897. [Google Scholar] [CrossRef] [PubMed]
- Rong, Z.Q.; Wang, M.; Chow, C.H.E.; Zhao, Y. A Catalyst-Enabled Diastereodivergent Aza-Diels–Alder Reaction: Complementarity of N-Heterocyclic Carbenes and Chiral Amines. Chem.-A Eur. J. 2016, 22, 9483–9487. [Google Scholar] [CrossRef] [PubMed]
- Huang, X.L.; He, L.; Shao, P.L.; Ye, S. [4+2] Cycloaddition of ketenes with N-benzoyldiazenes catalyzed by N-heterocyclic carbenes. Angew. Chem.-Int. Ed. 2009, 48, 192–195. [Google Scholar] [CrossRef] [PubMed]
- Jian, T.Y.; Shao, P.L.; Ye, S. Enantioselective [4+2] cycloaddition of ketenes and 1-azadienes catalyzed by N-heterocyclic carbenes. Chem. Commun. 2011, 47, 2381–2383. [Google Scholar] [CrossRef]
- Kaeobamrung, J.; Kozlowski, M.C.; Bode, J.W. Chiral N-heterocyclic carbene-catalyzed generation of ester enolate equivalents from a,β-unsaturated aldehydes for enantioselective Diels-Alder reactions. Proc. Natl. Acad. Sci. USA 2010, 107, 20661–20665. [Google Scholar] [CrossRef]
- Lv, H.; Mo, J.; Fang, X.; Chi, Y.R. Formal Diels-Alder reactions of chalcones and formylcyclopropanes catalyzed by chiral N-heterocyclic carbenes. Org. Lett. 2011, 13, 5366–5369. [Google Scholar] [CrossRef]
- Hao, L.; Du, Y.; Lv, H.; Chen, X.; Jiang, H.; Shao, Y.; Chi, Y.R. Enantioselective Activation of Stable Carboxylate Esters as Enolate Equivalents via N-Heterocyclic Carbene Catalysts. Org. Lett. 2012, 14, 2154–2157. [Google Scholar] [CrossRef]
- Zhao, X.; Ruhl, K.E.; Rovis, T. N-Heterocyclic-carbene-catalyzed asymmetric oxidative hetero-Diels-Alder reactions with simple aliphatic aldehydes. Angew. Chem.-Int. Ed. 2012, 51, 12330–12333. [Google Scholar] [CrossRef]
- Mavroskoufis, A.; Rajes, K.; Golz, P.; Agrawal, A.; Ruß, V.; Götze, J.P.; Hopkinson, M.N. N-Heterocyclic Carbene Catalyzed Photoenolization/Diels–Alder Reaction of Acid Fluorides. Angew. Chem.-Int. Ed. 2020, 59, 3190–3194. [Google Scholar] [CrossRef] [PubMed]
- Michael, A. Ueber die Addition von Natriumacetessig- und Natriummalonsäureäthern zu den Aethern ungesättigter Säuren. J. Prakt. Chem. 1887, 35, 349–356. [Google Scholar] [CrossRef]
- Pfau, M.; Revial, G.; Guingant, A.; d’Angelo, J. Enantioselective synthesis of quaternary carbon centers through Michael-type alkylation of chiral imines. J. Am. Chem. Soc. 1985, 107, 273–274. [Google Scholar] [CrossRef]
- Saito, S.; Hirohara, Y.; Narahara, O.; Moriwake, T. Rotamer distribution control and double Michael addition for cyclopentane annulation with superb selectivity. J. Am. Chem. Soc. 1989, 111, 4533–4535. [Google Scholar] [CrossRef]
- Rubio, A.; Ezquerra, J.; Escribano, A.; Remuiñán, M.J.; Vaquero, J.J. New enantioselective approach to the total synthesis of (−)-α-Kainic Acid. Tetrahedron Lett. 1998, 39, 2171–2174. [Google Scholar] [CrossRef]
- Halland, N.; Aburel, P.S.; Jørgensen, K.A. Highly Enantio- and Diastereoselective Organocatalytic Asymmetric Domino Michael–Aldol Reaction of β-Ketoesters and α,β-Unsaturated Ketones. Angew. Chem. Int. Ed. 2004, 43, 1272–1277. [Google Scholar]
- Adderley, N.J.; Buchanan, D.J.; Dixon, D.J.; Lainé, D.I. Highly Diastereoselective Oxy-Michael Additions of Enantiopure δ-Lactol Anions to Nitroalkenes: Asymmetric Synthesis of 1,2-Amino Alcohols. Angew. Chem. Int. Ed. 2003, 42, 4241–4244. [Google Scholar] [CrossRef]
- Sarkar, D.; Bhattarai, R.; Headley, A.D.; Ni, B. A Novel Recyclable Organocatalytic System for the Highly Asymmetric Michael Addition of Aldehydes to Nitroolefins in Water. Synthesis 2011, 12, 1993–1997. [Google Scholar] [CrossRef]
- D’Angelo, J.; Desmaële, D.; Dumas, F.; Guingant, A. The asymmetric Michael addition reactions using chiral imines. Tetrahedron: Asymmetry 1992, 3, 459–505. [Google Scholar] [CrossRef]
- Arduengo, A.J.; Harlow, R.L.; Kline, M. A stable crystalline carbene. J. Am. Chem. Soc. 1991, 113, 361–363. [Google Scholar] [CrossRef]
- Nair, V.; Sinu, C.R.; Babu, B.P.; Varghese, V.; Jose, A.; Suresh, E. Novel Nucleophilic Heterocyclic Carbene Mediated Stereoselective Conjugate Addition of Enals to Nitrostyrenes via Homoenolate. Org. Lett. 2009, 11, 5570–5573. [Google Scholar] [CrossRef] [PubMed]
- Hans, M.; Delaude, L.; Rodriguez, J.; Coquerel, Y. N-Heterocyclic Carbene Catalyzed Carba-, Sulfa-, and Phospha-Michael Additions with NHC·CO2 Adducts as Precatalysts. J. Org. Chem. 2014, 79, 2758–2764. [Google Scholar] [CrossRef] [PubMed]
- Rong, Z.-Q.; Jia, M.-Q.; You, S.-L. Enantioselective N-Heterocyclic Carbene-Catalyzed Michael Addition to α,β-Unsaturated Aldehydes by Redox Oxidation. Org. Lett. 2011, 13, 4080–4083. [Google Scholar] [CrossRef] [PubMed]
- Zhang, F.-Y.; Corey, E.J. Highly Enantioselective Michael Reactions Catalyzed by a Chiral Quaternary Ammonium Salt. Illustration by Asymmetric Syntheses of (S)-Ornithine and Chiral 2-Cyclohexenones. Org. Lett. 2000, 2, 1097–1100. [Google Scholar] [CrossRef]
- Wadamoto, M.; Phillips, E.M.; Reynolds, T.E.; Scheidt, K.A. Enantioselective Synthesis of α,α-Disubstituted Cyclopentenes by an N-Heterocyclic Carbene-Catalyzed Desymmetrization of 1,3-Diketones. J. Am. Chem. Soc. 2007, 129, 10098–10099. [Google Scholar] [CrossRef]
- DeSarkar, S.; Studer, A. NHC-Catalyzed Michael Addition to α,β-Unsaturated Aldehydes by Redox Activation. Angew. Chem. Int. Ed. 2010, 49, 9266–9269. [Google Scholar] [CrossRef]
- Lathrop, S.P.; Rovis, T. Asymmetric Synthesis of Functionalized Cyclopentanones via a Multicatalytic Secondary Amine/N-Heterocyclic Carbene Catalyzed Cascade Sequence. J. Am. Chem. Soc. 2009, 131, 13628–13630. [Google Scholar] [CrossRef]
- Ozboya, K.E.; Rovis, T. Enamine/carbene cascade catalysis in the diastereo- and enantioselective synthesis of functionalized cyclopentanones. Chem. Sci. 2011, 2, 1835–1838. [Google Scholar] [CrossRef]
- Enders, D.; Grossmann, A.; Huang, H.; Raabe, G. Dual Secondary Amine/N-Heterocyclic Carbene Catalysis in the Asymmetric Michael/Cross-Benzoin Cascade Reaction of β-Oxo-Sulfones with Enals. Eur. J. Org. Chem. 2011, 2011, 4298–4301. [Google Scholar] [CrossRef]
- Ghosh, A.; Barik, S.; Biju, A.T. NHC-Catalyzed [3 + 3] Annulation of Thioamides and Modified Enals for the Enantioselective Synthesis of Functionalized Thiazinones. Org. Lett. 2019, 21, 8598–8602. [Google Scholar] [CrossRef]
- Fang, C.; Cao, J.; Sun, K.; Zhu, J.; Lu, T.; Du, D. Direct and Enantioselective Synthesis of N−H-Free 1,5-Benzodiazepin-2-ones by an N-Heterocyclic Carbene Catalyzed [3+4] Annulation Reaction. Chem.-A Eur. J. 2018, 24, 2103–2108. [Google Scholar] [CrossRef] [PubMed]
- Li, Y.; Wang, X.-Q.; Zheng, C.; You, S.-L. Highly enantioselective intramolecular Michael reactions by D-camphor-derived triazolium salts. Chem. Commun. 2009, 5823–5825. [Google Scholar] [CrossRef] [PubMed]
- Phillips, E.M.; Wadamoto, M.; Chan, A.; Scheidt, K.A. A Highly Enantioselective Intramolecular Michael Reaction Catalyzed by N-Heterocyclic Carbenes. Angew. Chem. Int. Ed. 2007, 46, 3107–3110. [Google Scholar] [CrossRef] [PubMed]
- Mukherjee, S.; Shee, S.; Poisson, T.; Besset, T.; Biju, A.T. Enantioselective N-Heterocyclic Carbene-Catalyzed Cascade Reaction for the Synthesis of Pyrroloquinolines via N–H Functionalization of Indoles. Org. Lett. 2018, 20, 6998–7002. [Google Scholar] [CrossRef] [PubMed]
- Rapson, W.S.; Robinson, R. 307. Experiments on the synthesis of substances related to the sterols. Part II. A new general method for the synthesis of substituted cyclohexenones. J. Chem. Soc. 1935, 37, 1285. [Google Scholar] [CrossRef]
- Tong, Y.; Mao, J.; Wu, S.; Zhao, Y.; Cheng, Y. Changing the Reaction Pathway by NHC/Brønsted Base Cooperative Catalysis: Highly Stereoselective Synthesis of Multifunctional Benzo[a]fluoren-11-ones from the Dimerization of 2-(Aroylvinyl)arylaldehydes. J. Org. Chem. 2014, 79, 2075–2081. [Google Scholar] [CrossRef] [PubMed]
- Sánchez-Larios, E.; Holmes, J.M.; Daschner, C.L.; Gravel, M. NHC-Catalyzed Spiro Bis-Indane Formation via Domino Stetter−Aldol−Michael and Stetter−Aldol−Aldol Reactions. Org. Lett. 2010, 12, 5772–5775. [Google Scholar] [CrossRef]
- Sánchez-Larios, E.; Holmes, J.M.; Daschner, C.L.; Gravel, M. Synthesis of Spiro Bis-Indanes via Domino Stetter-Aldol-Michael and Stetter-Aldol-Aldol Reactions: Scope and Limitations. Synthesis 2011, 2011, 1896–1904. [Google Scholar]
- Ye, W.; Cai, G.; Zhuang, Z.; Jia, X.; Zhai, H. One-Step Assembly of Functionalized γ-Butyrolactones from Benzoins or Benzaldehydes via an N-Heterocyclic Carbene-Mediated Tandem Reaction. Org. Lett. 2005, 7, 3769–3771. [Google Scholar] [CrossRef]
- Phillips, E.M.; Wadamoto, M.; Roth, H.S.; Ott, A.W.; Scheidt, K.A. NHC-Catalyzed Reactions of Aryloxyacetaldehydes: A Domino Elimination/Conjugate Addition/Acylation Process for the Synthesis of Substituted Coumarins. Org. Lett. 2009, 11, 105–108. [Google Scholar] [CrossRef]
- Shu, T.; Ni, Q.; Song, X.; Zhao, K.; Wu, T.; Puttreddy, R.; Rissanen, K.; Enders, D. Asymmetric synthesis of cyclopentanes bearing four contiguous stereocenters via an NHC-catalyzed Michael/Michael/esterification domino reaction. Chem. Commun. 2016, 52, 2609–2611. [Google Scholar] [CrossRef] [PubMed]
- Shu, T.; Li, S.; Chen, X.-Y.; Liu, Q.; von Essen, C.; Rissanen, K.; Enders, D. Asymmetric synthesis of functionalized tetrahydrofluorenones via an NHC-catalyzed homoenolate Michael addition. Chem. Commun. 2018, 54, 7661–7664. [Google Scholar] [CrossRef] [PubMed]
- Mitsunobu, O.; Obata, T.; Mukaiyama, T. Preparation of Esters of Phosphoric Acid via Quaternary Phosphonium Salts. J. Org. Chem. 1965, 30, 1071–1073. [Google Scholar] [CrossRef]
- Mitsunobu, O.; Yamada, M. Preparation of Esters of Phosphoric Acid via Quaternary Phosphonium Salts. Bull. Chem. Soc. Jpn. 1967, 40, 2380–2382. [Google Scholar] [CrossRef]
- Mitsunobu, O.; Yamada, M.; Mukaiyama, T. Preparation of Esters of Phosphoric Acid by the Reaction of Trivalent Phosphorus Compounds with Diethyl Azodicarboxylate in the Presence of Alcohols. Bull. Chem. Soc. Jpn. 1967, 40, 935–939. [Google Scholar] [CrossRef]
- Kato, T.; Matsuoka, S.I.; Suzuki, M. N-Heterocyclic carbene-mediated redox condensation of alcohols. Chem. Commun. 2016, 52, 8569–8572. [Google Scholar] [CrossRef]
- Kharasch, M.S.; Joshi, B.S. Reactions of Hindered Phenols. II. Base-Catalyzed Oxidations of Hindered Phenols. J. Org. Chem. 1957, 22, 1439–1443. [Google Scholar] [CrossRef]
- Morita, K.; Suzuki, Z.; Hirose, H. A Tertiary Phosphine-catalyzed with Reaction Aldehydes of Acrylic Compounds. Bull. Chem. Soc. Jpn. 1968, 41, 2815. [Google Scholar] [CrossRef]
- Baylis, A.B.; Hillman, M.E.D. German Patent 2155113, 1972.
- He, L.; Jian, T.; Ye, S. N-Heterocyclic Carbene Catalyzed Aza-Morita-Baylis-Hillman Reaction of Cyclic Enones with N-Tosylarylimines. J. Org. Chem. 2007, 72, 7466–7468. [Google Scholar] [CrossRef]
- He, L.; Zhang, Y.R.; Huang, X.L.; Ye, S. Chiral bifunctional N-heterocyclic carbenes: Synthesis and application in the aza-Morita-Baylis-Hillman reaction. Synthesis 2008, 17, 2825–2829. [Google Scholar]
- Chen, X.Y.; Xia, F.; Ye, S. Catalytic MBH reaction of β-substituted nitroalkenes with azodicarboxylates. Org. Biomol. Chem. 2013, 11, 5722–5726. [Google Scholar] [CrossRef] [PubMed]
- Dadwal, M.; Mohan, R.; Panda, D.; Mobin, S.M.; Namboothiri, I.N.N. The Morita-Baylis-Hillman adducts of β-aryl nitroethylenes with other activated alkenes: Synthesis and anticancer activity studies. Chem. Commun. 2006, 338–340. [Google Scholar] [CrossRef]
- Rauhut, M.M.; Currier, H. Preparation of Dialkyl-2-Methylene Glutamates. U.S. Patent 3074999, 22 January 1963. [Google Scholar]
- Atienza, R.L.; Scheidt, K.A. N-heterocyclic carbene-promoted rauhutcurrier reactions between vinyl sulfones and α,β-unsaturated aldehydes. Aust. J. Chem. 2011, 64, 1158–1164. [Google Scholar] [CrossRef] [PubMed]
- Wu, X.; Zhou, L.; Maiti, R.; Mou, C.; Pan, L.; Chi, Y.R. Sulfinate and Carbene Co-catalyzed Rauhut–Currier Reaction for Enantioselective Access to Azepino[1,2-a]indoles. Angew. Chem.-Int. Ed. 2019, 58, 477–481. [Google Scholar] [CrossRef]
- Goswami, P.; Sharma, S.; Singh, G.; Vijaya Anand, R. Bis(amino)cyclopropenylidene catalyzed Rauhut-Currier reaction between α,β-unsaturated carbonyl compounds and para-quinone methides. J. Org. Chem. 2018, 83, 4213–4220. [Google Scholar] [CrossRef]
- Bae, S.; Zhang, C.; Gillard, R.M.; Lupton, D.W. Enantioselective N-Heterocyclic Carbene Catalyzed Bis(enoate) Rauhut–Currier Reaction. Angew. Chem.-Int. Ed. 2019, 58, 13370–13374. [Google Scholar] [CrossRef]
- Staudinger, H. Mittheilungen aus dem chemischen Institut der Universitit. Liebigs Ann. Chem. 1907, 356, 51–123. [Google Scholar] [CrossRef]
- Zhang, Y.R.; He, L.; Wu, X.; Shao, P.L.; Ye, S. Chiral N-heterocyclic carbene catalyzed staudinger reaction of ketenes with imines: Highly enantioselective synthesis of N-boc β-lactams. Org. Lett. 2008, 10, 277–280. [Google Scholar] [CrossRef]
- Hans, M.; Wouters, J.; Demonceau, A.; Delaude, L. Mechanistic insight into the Staudinger reaction catalyzed by N-heterocyclic carbenes. Chem.-A Eur. J. 2013, 19, 9668–9676. [Google Scholar] [CrossRef]
- Wang, X.; Shao, P.; Lv, H.; Ye, S. Enantioselective Synthesis of β-Trifluoromethyl-β-lactones via NHC-Catalyzed Ketene−Ketone Cycloaddition Reactions. Org. Lett. 2009, 11, 4029–4031. [Google Scholar] [CrossRef] [PubMed]
- He, L.; Lv, H.; Zhang, Y.R.; Ye, S. Formal cycloaddition of disubstituted ketenes with 2-oxoaldehydes catalyzed by chiral N-heterocyclic carbenes. J. Org. Chem. 2008, 73, 8101–8103. [Google Scholar] [CrossRef] [PubMed]
- Douglas, J.; Taylor, J.E.; Churchill, G.; Slawin, A.M.Z.; Smith, A.D. NHC-promoted asymmetric β-lactone formation from arylalkylketenes and electron-deficient benzaldehydes or pyridinecarboxaldehydes. J. Org. Chem. 2013, 78, 3925–3938. [Google Scholar] [CrossRef] [PubMed]
- Wang, X.N.; Zhang, Y.Y.; Ye, S. Enantioselective synthesis of spirocyclic oxindole-β-lactones via N-heterocyclic carbene-catalyzed cycloaddition of ketenes and isatins. Adv. Synth. Catal. 2010, 352, 1892–1895. [Google Scholar] [CrossRef]
- Huang, X.L.; Chen, X.Y.; Ye, S. Enantioselective synthesis of Aza-β-lactams via NHC-catalyzed [2 + 2] cycloaddition of ketenes with diazenedicarboxylates. J. Org. Chem. 2009, 74, 7585–7587. [Google Scholar] [CrossRef] [PubMed]
- Wang, T.; Huang, X.L.; Ye, S. Enantioselective formal [2+2] cycloaddition of ketenes with nitroso compounds catalyzed by N-heterocyclic carbenes. Org. Biomol. Chem. 2010, 8, 5007–5011. [Google Scholar] [CrossRef]
- Jian, T.Y.; He, L.; Tang, C.; Ye, S. N-heterocyclic carbene catalysis: Enantioselective formal [2+2] cycloaddition of ketenes and N-sulfinylanilines. Angew. Chem.-Int. Ed. 2011, 50, 9104–9107. [Google Scholar] [CrossRef]
- Feroci, M.; Chiarotto, I.; Orsini, M.; Inesi, A. Electrogenerated NHC as an organocatalyst in the Staudinger reaction. Chem. Commun. 2010, 46, 4121–4123. [Google Scholar] [CrossRef]
- Chiarotto, I.; Mattiello, L.; Pandolfi, F.; Rocco, D.; Feroci, M. NHC in imidazolium acetate ionic liquids: Actual or potential presence? Front. Chem. 2018, 6, 355. [Google Scholar] [CrossRef]
- Feroci, M.; Chiarotto, I.; Orsini, M.; Pelagalli, R.; Inesi, A. Umpolung reactions in an ionic liquid catalyzed by electrogenerated N-heterocyclic carbenes. Synthesis of saturated esters from activated α,β-unsaturated aldehydes. Chem. Commun. 2012, 48, 5361–5363. [Google Scholar] [CrossRef]
- Stetter, H.; Kuhlmann, H. Addition of Aliphatic Aldehydes to Activated Double Bonds. Angew. Chem.-Int. Ed. 1974, 13, 539. [Google Scholar] [CrossRef]
- Enders, D.; Han, J.; Henseler, A. Asymmetric intermolecular Stetter reactions catalyzed by a novel triazolium derived N-heterocyclic carbene. Chem. Commun. 2008, 3989–3991. [Google Scholar] [CrossRef] [PubMed]
- Liu, Q.; Perreault, S.; Rovis, T. Catalytic asymmetric intermolecular Stetter reaction of glyoxamides with alkylidenemalonates. J. Am. Chem. Soc. 2008, 130, 14066–14067. [Google Scholar] [CrossRef] [PubMed]
- Jousseaume, T.; Wurz, N.E.; Glorius, F. Highly enantioselective synthesis of α-amino acid derivatives by an NHC-catalyzed intermolecular Stetter reaction. Angew. Chem.-Int. Ed. 2011, 50, 1410–1414. [Google Scholar] [CrossRef] [PubMed]
- Wurz, N.E.; Daniliuc, C.G.; Glorius, F. Highly enantioselective intermolecular Stetter reaction of simple acrylates: Synthesis of α-chiral γ-Ketoesters. Chem.-A Eur. J. 2012, 18, 16297–16301. [Google Scholar] [CrossRef]
- Fang, X.; Chen, X.; Lv, H.; Chi, Y.R. Enantioselective Stetter reactions of enals and modified chalcones catalyzed by N-heterocyclic carbenes. Angew. Chem.-Int. Ed. 2011, 50, 11782–11785. [Google Scholar] [CrossRef]
- Patra, A.; Bhunia, A.; Biju, A.T. Facile synthesis of γ-ketophosphonates by an intermolecular Stetter reaction onto vinylphosphonates. Org. Lett. 2014, 16, 4798–4801. [Google Scholar] [CrossRef]
- Dirocco, D.A.; Oberg, K.M.; Dalton, D.M.; Rovis, T. Catalytic Asymmetric Intermolecular Stetter Reaction of Heterocyclic Aldehydes with Nitroalkenes: Backbone Fluorination Improves Selectivity. J. Am. Chem. Soc. 2009, 131, 10872–10874. [Google Scholar] [CrossRef]
- Gacem, B.; Jenner, G. Effect of pressure on stetter reactions: Synthesis of hindered aliphatic acyloins and γ-ketonitriles. High Press. Res. 2004, 24, 233–236. [Google Scholar] [CrossRef]
- Fernando, J.E.M.; Nakano, Y.; Zhang, C.; Lupton, D.W. Enantioselective N-Heterocyclic Carbene Catalysis that Exploits Imine Umpolung. Angew. Chem.-Int. Ed. 2019, 58, 4007–4011. [Google Scholar] [CrossRef]
- Mattson, A.E.; Bharadwaj, A.R.; Scheidt, K.A. The Thiazolium-Catalyzed Sila-Stetter Reaction: Conjugate Addition of Acylsilanes to Unsaturated Esters and Ketones. J. Am. Chem. Soc. 2004, 126, 2314–2315. [Google Scholar] [CrossRef] [PubMed]
- Trost, B.M.; Shuey, C.D.; Dininno, F.; McElvain, S.M. A Stereocontrolled Total Synthesis of (i)-Hirsutic Acid C. J. Am. Chem. Soc. 1979, 101, 1908. [Google Scholar] [CrossRef]
- Paal, C. Ueber die Derivate des Acetophenonacetessigesters und des Acetonylacetessigesters. Ber. Dtsch. Chem. Ges. 1884, 17, 2756–2767. [Google Scholar] [CrossRef]
- Knorr, L. Synthese von Furfuranderivaten aus dem Diacetbernsteinsäureester. Ber. Dtsch. Chem. Ges. 1884, 17, 2863–2870. [Google Scholar] [CrossRef]
- Braun, R.U.; Zeitler, K.; Müller, T.J.J. A novel one-pot pyrrole synthesis via a coupling-isomerization-Stetter-Paal-Knorr sequence. Org. Lett. 2001, 3, 3297–3300. [Google Scholar] [CrossRef]
- Bharadwaj, A.R.; Scheidt, K.A. Catalytic multicomponent synthesis of highly substituted pyrroles utilizing a one-pot sila-Stetter/Paal-Knorr strategy. Org. Lett. 2004, 6, 2465–2468. [Google Scholar] [CrossRef]
- Sánchez-Larios, E.; Gravel, M. Diastereoselective synthesis of indanes via a domino Stetter-Michael reaction. J. Org. Chem. 2009, 74, 7536–7539. [Google Scholar] [CrossRef]
- Stetter, H.; Kuhlmann, H. Addition von Aldehyden an aktivierte Doppelbindungen; VII1. Eine neue einfache Synthese von cis-Jasmon und Dihydrojasmon. Synthesis 1975, 6, 379–380. [Google Scholar] [CrossRef]
- Galopin, C.C. A short and efficient synthesis of (±)-trans-sabinene hydrate. Tetrahedron Lett. 2001, 42, 5589–5591. [Google Scholar] [CrossRef]
- Randl, S.; Blechert, S. Concise Enantioselective Synthesis of 3,5-Dialkyl-Substituted Indolizidine Alkaloids via Sequential Cross-Metathesis-Double-Reductive Cyclization. J. Org. Chem. 2003, 68, 8879–8882. [Google Scholar] [CrossRef]
- Baumann, K.L.; Butler, D.E.; Deering, C.F.; Mennen, K.E.; Millar, A.; Nanninga, T.N.; Palmer, C.W.; Roth, B.D. The convergent synthesis of CI-981, an optically active, highly potent, tissue selective inhibitor of HMG-CoA reductase. Tetrahedron Lett. 1992, 33, 2283–2284. [Google Scholar] [CrossRef]
- O’Sullivan, S.; O’Neill, J. Preparation of an Atorvastatin Intermediate. U.S. Patent US20090221839A1, 3 September 2009. [Google Scholar]
- Wallach, O. Ueber die Einwirkung von Cyankalium auf Chloral; eine neue Darstellungsweise der Dichloressigsäure. Ber. Dtsch. Chem. Ges. 1873, 6, 114–119. [Google Scholar] [CrossRef]
- Corey, E.J.; Gilman, N.W.; Ganem, B.E. New methods for the oxidation of aldehydes to carboxylic acids and esters. J. Am. Chem. Soc. 1968, 90, 5616–5617. [Google Scholar] [CrossRef]
- Amatore, M.; Beeson, T.D.; Brown, S.P.; MacMillan, D.W.C. Enantioselective Linchpin Catalysis by SOMO Catalysis: An Approach to the Asymmetric α-Chlorination of Aldehydes and Terminal Epoxide Formation. Angew. Chemie Int. Ed. 2009, 48, 5121–5124. [Google Scholar] [CrossRef] [PubMed]
- Burns, N.Z.; Baran, P.S.; Hoffmann, R.W. Redox Economy in Organic Synthesis. Angew. Chemie Int. Ed. 2009, 48, 2854–2867. [Google Scholar] [CrossRef] [PubMed]
- Castells, J.; Llitjos, H.; Moreno-Mañas, M. Nitrobenzene aldehyde oxidations catalyzed by the conjugate bases of thiazolium ions. Tetrahedron Lett. 1977, 18, 205–206. [Google Scholar] [CrossRef]
- Chow, K.Y.-K.; Bode, J.W. Catalytic Generation of Activated Carboxylates: Direct, Stereoselective Synthesis of β-Hydroxyesters from Epoxyaldehydes. J. Am. Chem. Soc. 2004, 126, 8126–8127. [Google Scholar] [CrossRef]
- Reynolds, N.T.; Read de Alaniz, J.; Rovis, T. Conversion of α-Haloaldehydes into Acylating Agents by an Internal Redox Reaction Catalyzed by Nucleophilic Carbenes. J. Am. Chem. Soc. 2004, 126, 9518–9519. [Google Scholar] [CrossRef]
- Reynolds, N.T.; Rovis, T. Enantioselective Protonation of Catalytically Generated Chiral Enolates as an Approach to the Synthesis of α-Chloroesters. J. Am. Chem. Soc. 2005, 127, 16406–16407. [Google Scholar] [CrossRef]
- Chan, A.; Scheidt, K.A. Conversion of α,β-Unsaturated Aldehydes into Saturated Esters: An Umpolung Reaction Catalyzed by Nucleophilic Carbenes. Org. Lett. 2005, 7, 905–908. [Google Scholar] [CrossRef]
- Zhao, G.-L.; Córdova, A. A one-pot combination of amine and heterocyclic carbene catalysis: Direct asymmetric synthesis of β-hydroxy and β-malonate esters from α,β-unsaturated aldehydes. Tetrahedron Lett. 2007, 48, 5976–5980. [Google Scholar] [CrossRef]
- Jiang, H.; Gschwend, B.; Albrecht, Ł.; Anker Jørgensen, K. Organocatalytic Preparation of Simple β-Hydroxy and β-Amino Esters: Low Catalyst Loadings and Gram-Scale Synthesis. Org. Lett. 2010, 12, 5052–5055. [Google Scholar] [CrossRef]
- Sohn, S.S.; Bode, J.W. Catalytic Generation of Activated Carboxylates from Enals: A Product-Determining Role for the Base. Org. Lett. 2005, 7, 3873–3876. [Google Scholar] [CrossRef] [PubMed]
- Zeitler, K.; Rose, C.A. An Efficient Carbene-Catalyzed Access to 3,4-Dihydrocoumarins. J. Org. Chem. 2009, 74, 1759–1762. [Google Scholar] [CrossRef] [PubMed]
© 2020 by the authors. Licensee MDPI, Basel, Switzerland. This article is an open access article distributed under the terms and conditions of the Creative Commons Attribution (CC BY) license (http://creativecommons.org/licenses/by/4.0/).




































