Laser Powder Bed Fusion of Metal Coated Copper Powders
Abstract
1. Introduction
- Dense samples can be achieved at lower power by using copper alloys with lower thermal conductivity. Copper alloys that have been successfully processed by L-PBF include Cu-Sn systems [12,13,14], CuCr and CuCrZr alloys [15] and CuNiSi alloys [4]. However, these alloys are less useful for many applications where high thermal conductivity is required.
- Laser sources that are not of the conventional near-infrared type were also used for processing copper alloys. In this regard, green lasers with a wavelength of 532 nm were primarily used. In comparison with infrared light, copper has a significantly higher absorptivity in the green part of the spectrum. Green lasers with sufficient power and beam quality have only become commercially available the last years. Commercial machines using green laser sources have been advertised [16], but scientific literature is scarce on the topic. Direct metal deposition (DMD), an AM technique similar to L-PBF, as well as laser welding of copper with a green laser source have been reported in the scientific literature [5,17,18]. Green lasers have also been used in combination with infrared lasers in laser welding processes [19,20] where the green laser helped stabilizing the process. However, green lasers are still significantly more expensive than infrared lasers, and due to most metals having a relatively flat absorptivity curve in the visible and near-visible range, it can be expected that only highly specialized machines will be equipped with these sources in the near future.
- 4.
- Recently, the L-PBF processability of copper has been increased by coating the surface of the powder with materials with a higher absorptivity. This has been achieved by oxidizing the copper surface [22], yielding decreased porosity, which agrees with similar results on 18 K gold alloys [23]. Mixing of copper powder with carbon nanoparticles has also been attempted [24], but did not have a significant effect on the porosity. In the latter case, it was speculated that the poor wetting of the carbon particles of copper was the reason for not seeing any improvement.
2. Materials and Methods
2.1. Powder Coating
2.2. Laser Powder Bed Fusion
2.3. Sample Analysis
3. Results
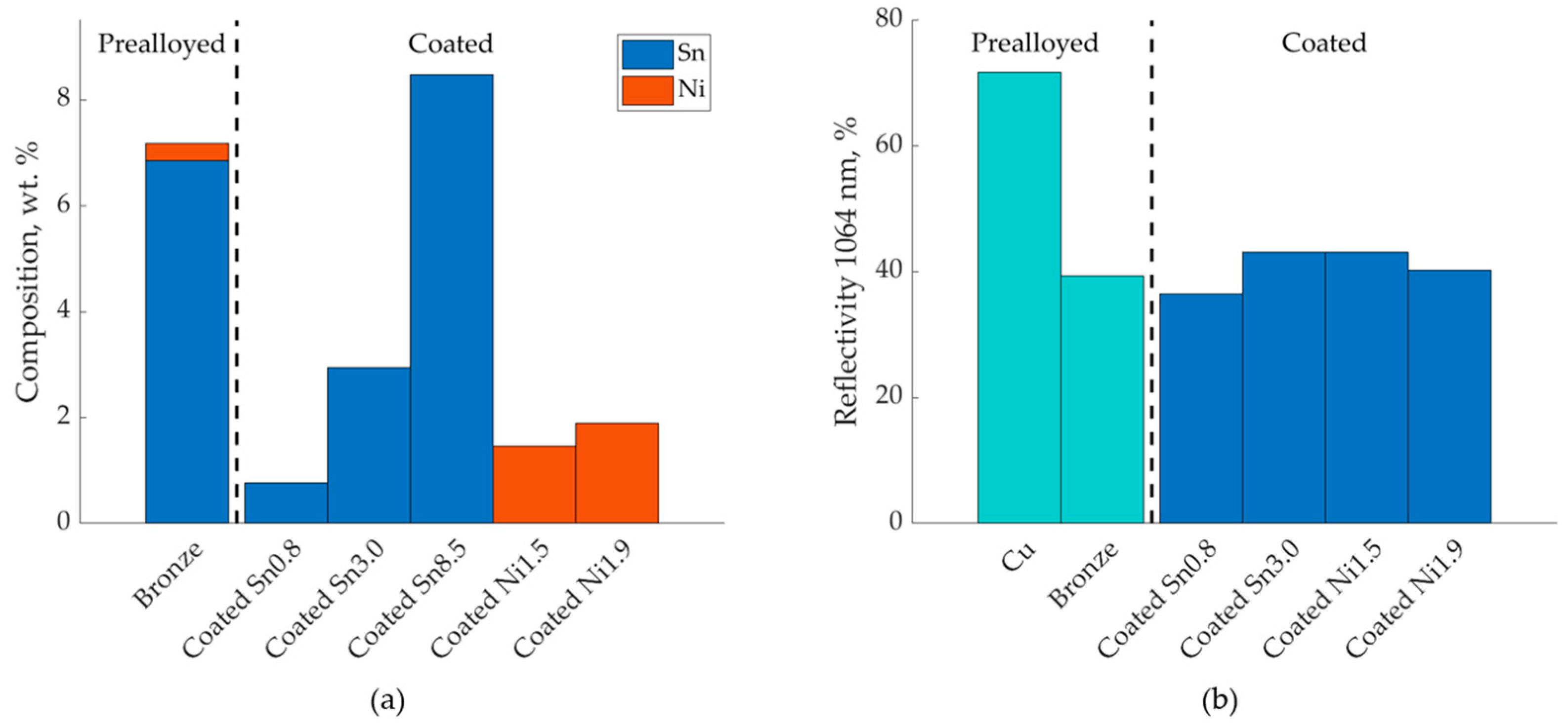
3.1. The Manufactured Powders
3.2. Relative Densities and Microstructure Analysis of L-PBF Samples
4. Discussion
5. Conclusions
Supplementary Materials
Author Contributions
Funding
Acknowledgments
Conflicts of Interest
References
- Pogson, S.R.; Fox, P.; Sutcliffe, C.J.; O’Neill, W. The production of copper parts using DMLR. Rapid Prototyp. J. 2003, 9, 334–343. [Google Scholar] [CrossRef]
- Jonsson, C.; Norlén, T.; Thorsson, L.; Eklund, B. Sätt att framställa smycken och andra ädelmetallprodukter med komplexa geometrier. Sweeden Patent SE527291C2, 2 July 2006. [Google Scholar]
- Tran, T.Q.; Chinnappan, A.; Lee, J.K.Y.; Loc, N.H.; Tran, L.T.; Wang, G.; Kumar, V.V.; Jayathilaka, W.A.D.M.; Ji, D.; Doddamani, M.; et al. 3D printing of highly pure copper. Metals 2019, 9, 756. [Google Scholar] [CrossRef]
- Tiberto, D.; Klotz, U.E.; Held, F.; Wolf, G. Additive manufacturing of copper alloys: Influence of process parameters and alloying elements. Mater. Sci. Technol. 2019, 35, 969–977. [Google Scholar] [CrossRef]
- Siva Prasad, H.; Brueckner, F.; Volpp, J.; Kaplan, A.F.H. Laser metal deposition of copper on diverse metals using green laser sources. Int. J. Adv. Manuf. Technol. 2020, 1559–1568. [Google Scholar] [CrossRef]
- Silbernagel, C.; Gargalis, L.; Ashcroft, I.; Hague, R.; Galea, M.; Dickens, P. Electrical resistivity of pure copper processed by medium-powered laser powder bed fusion additive manufacturing for use in electromagnetic applications. Addit. Manuf. 2019, 29, 1–11. [Google Scholar] [CrossRef]
- Colopi, M.; Caprio, L.; Demir, A.G.; Previtali, B. Selective laser melting of pure Cu with a 1 kW single mode fiber laser. Procedia CIRP 2018, 74, 59–63. [Google Scholar] [CrossRef]
- Gu, D.; Shen, Y. Balling phenomena during direct laser sintering of multi-component Cu-based metal powder. J. Alloys Compd. 2007, 432, 163–166. [Google Scholar] [CrossRef]
- Ikeshoji, T.T.; Nakamura, K.; Yonehara, M.; Imai, K.; Kyogoku, H. Selective Laser Melting of Pure Copper. JOM 2018, 70, 396–400. [Google Scholar] [CrossRef]
- Lykov, P.A.; Safonov, E.V.; Akhmedianov, A.M. Selective Laser Melting of Copper. Mater. Sci. Forum 2016, 843, 284–288. [Google Scholar]
- Jadhav, S.D.; Dadbakhsh, S.; Goossens, L.; Kruth, J.P.; Van Humbeeck, J.; Vanmeensel, K. Influence of selective laser melting process parameters on texture evolution in pure copper. J. Mater. Process. Technol. 2019, 270, 47–58. [Google Scholar] [CrossRef]
- Mao, Z.; Zhang, D.Z.; Wei, P.; Zhang, K. Manufacturing feasibility and forming properties of Cu-4Sn in selective laser melting. Materials 2017, 10, 333. [Google Scholar] [CrossRef] [PubMed]
- Scudino, S.; Unterdörfer, C.; Prashanth, K.G.; Attar, H.; Ellendt, N.; Uhlenwinkel, V.; Eckert, J. Additive manufacturing of Cu-10Sn bronze. Mater. Lett. 2015, 156, 202–204. [Google Scholar] [CrossRef]
- Mao, Z.; Zhang, D.Z.; Jiang, J.; Fu, G.; Zhang, P. Processing optimisation, mechanical properties and microstructural evolution during selective laser melting of Cu-15Sn high-tin bronze. Mater. Sci. Eng. A 2018, 721, 125–134. [Google Scholar] [CrossRef]
- Uhlmann, E.; Tekkaya, A.E.; Kasjevko, V.; Gies, S.; Reimann, R.; John, P. Qualification of CuCr1 for the SLM Process. In Proceedings of the 7th International Conference on High Speed Forming, Dortmund, Germany, 27 –28 April 2016; pp. 173–182. [Google Scholar] [CrossRef]
- World Premiere at Formnext: Green Laser from TRUMPF Prints Copper and Gold. Trumpf.com 2018. Available online: https://www.trumpf.com/en_SG/company/press/global-press-releases/press-release-detail-page/release/world-premiere-at-formnext-green-laser-from-trumpf-prints-copper-and-gold/ (accessed on 6 August 2020).
- Ramsayer, R.M.; Engler, S.; Schmitz, G. New approaches for highly productive laser welding of copper materials. 1st Int. Electr. Drives Prod. Conf. 2011, EDPC-2011 Proc. 2011, 69–73. [Google Scholar] [CrossRef]
- Pricking, S.; Huber, R.; Klausmann, K.; Kaiser, E.; Stolzenburg, C.; Killi, A. High-power CW and long-pulse lasers in the green wavelength regime for copper welding. High-Power Laser Mater. Process. Lasers, Beam Deliv. Diagnostics Appl. V 2016, 9741, 97410G. [Google Scholar] [CrossRef]
- Engler, S.; Ramsayer, R.; Poprawe, R. Process studies on laser welding of copper with brilliant green and infrared lasers. Phys. Procedia 2011, 12, 342–349. [Google Scholar] [CrossRef]
- Hess, A.; Schuster, R.; Heider, A.; Weber, R.; Graf, T. Continuous wave laser welding of copper with combined beams at wavelengths of 1030 nm and of 515 nm. Phys. Procedia 2011, 12, 88–94. [Google Scholar] [CrossRef]
- Kaden, L.; Matthäus, G.; Ullsperger, T.; Engelhardt, H.; Rettenmayr, M.; Tünnermann, A.; Nolte, S. Selective laser melting of copper using ultrashort laser pulses. Appl. Phys. A 2017, 123, 596. [Google Scholar] [CrossRef]
- Jadhav, S.D.; Vleugels, J.; Kruth, J.; Van Humbeeck, J.; Vanmeensel, K. Mechanical and electrical properties of selective laser-melted parts produced from surface-oxidized copper powder. Mater. Des. Process. Commun. 2019, 1–8. [Google Scholar] [CrossRef]
- Klotz, U.E.; Tiberto, D.; Held, F. Additive Manufacturing of 18-Karat Yellow Gold Alloys. In Proceedings of the Proc. of Santa Fe Symposium on Jewelry Manufacturing Technology, Santa Fe, NM, USA, May 2016; pp. 255–272. [Google Scholar]
- Jadhav, S.D.; Dadbakhsh, S.; Vleugels, J.; Hofkens, J.; Van Puyvelde, P.; Yang, S.; Kruth, J.P.; Van Humbeeck, J.; Vanmeensel, K. Influence of Carbon Nanoparticle Addition (and Impurities) on Selective Laser Melting of Pure Copper. Materials 2019, 12, 2469. [Google Scholar] [CrossRef] [PubMed]
- Huttunen-Saarivirta, E.; Tiainen, T.; Lepistö, T. Microstructural study of the initiation and formation of immersion tin coating on copper. Mater. Sci. Eng. A. 2002, 336, 52–58. [Google Scholar] [CrossRef]
- Araźna, A. Electroless Tin Deposition on Copper From Thiourea Type Baths. Mechatronika.Polsl.Pl 2013, 19–22. [Google Scholar]
- Tian, D.; Li, D.Y.; Wang, F.F.; Xiao, N.; Liu, R.Q.; Li, N.; Li, Q.; Gao, W.; Wu, G. A Pd-free activation method for electroless nickel deposition on copper. Surf. Coatings Technol. 2013, 228, 27–33. [Google Scholar] [CrossRef]
- Doona, C.J.; Stanbury, D.M. Equilibrium and redox kinetics of copper(II)-thiourea complexes. Inorg. Chem. 1996, 35, 3210–3216. [Google Scholar] [CrossRef]
- Schindelin, J.; Arganda-Carreras, I.; Frise, E.; Kaynig, V.; Longair, M.; Pietzsch, T.; Preibisch, S.; Rueden, C.; Saalfeld, S.; Schmid, B.; et al. Fiji: An open-source platform for biological-image analysis. Nat. Methods 2012, 9, 676–682. [Google Scholar] [CrossRef]
- Huang, L.-K.; Wang, M.-J.J. Image thresholding by minimizing the measures of fuzziness. Pattern Recignition 1995, 28, 41–51. [Google Scholar] [CrossRef]
- Kapur, J.N.; Sahoo, P.K.; Wong, A.K.C. A New Method for Gray-Level Picture Thresholding Using the Entropy of the Histogram. Comput. Vis. Graph. image Process. 1985, 29, 273–285. [Google Scholar] [CrossRef]
- Spierings, A.B.; Voegtlin, M.; Bauer, T.; Wegener, K. Powder flowability characterisation methodology for powder-bed-based metal additive manufacturing. Prog. Addit. Manuf. 2016, 1, 9–20. [Google Scholar] [CrossRef]
- Grujicic, D.; Pesic, B. Electrodeposition of copper: The nucleation mechanisms. Electrochim. Acta 2002, 47, 2901–2912. [Google Scholar] [CrossRef]
- Scharifker, B. Theoretical and experimental studies of multiple nucleation. Electrochem. Acta. 1983, 28, 879–889. [Google Scholar] [CrossRef]
- Huttunen-Saarivirta, E. Observations on the uniformity of immersion tin coatings on copper. Surf. Coatings Technol. 2002, 160, 288–294. [Google Scholar] [CrossRef]
- Rubenchik, A.M.; King, W.E.; Wu, S.S. Scaling laws for the additive manufacturing. J. Mater. Process. Technol. 2018, 257, 234–243. [Google Scholar] [CrossRef]
- Klotz, U.E.; Tiberto, D.; Held, F. Optimization of 18-karat yellow gold alloys for the additive manufacturing of jewelry and watch parts. Gold Bull. 2017, 50, 111–121. [Google Scholar] [CrossRef]
- Buchbinder, D.; Meiners, W.; Pirch, N.; Wissenbach, K.; Schrage, J. Investigation on reducing distortion by preheating during manufacture of aluminum components using selective laser melting. J. Laser Appl. 2014, 26, 012004. [Google Scholar] [CrossRef]
- Kang, M.; Han, H.N.; Kim, C. Microstructure and solidification crack susceptibility of Al 6014 molten alloy subjected to a spatially oscillated laser beam. Materials 2018, 11, 648. [Google Scholar] [CrossRef]







| Powder Designation | Coating (salt) | Powder Mass (g) | Solution Volume (L) | Reaction Temp. (°C) | Reaction Time (min) | Concentration Thiourea (M) | Concentration Acid (M) | Concentration Cation (mM) | Addition of Salt Solution | Preparation Method |
|---|---|---|---|---|---|---|---|---|---|---|
| Coated Sn0.8 | Sn (SnCl2) | 103.86 | 0.8 | 43 | 1.5 | 0.41 | 0.40 (HCl) | 76 | All at once | 1 |
| Coated Sn3.0 | Sn (SnCl2) | 100 | 1.0 | 64 | 20 | 0.66 | 0.31 (H2SO4) | 21 | All at once | 2 |
| Coated Sn8.5 | Sn (SnCl2) | 25 | 1.0 | 60 | 20 | 1.1 | 0.29 (HCl) | 21 | All at once | 2 |
| Coated Ni1.5 | Ni (NiCl2) | 120.44 | 0.8 | 52 | 2.5 | 1.64 | 0.12 (HCl) | 70 | All at once | 1 |
| Coated Ni1.9 | Ni (NiCl2) | 120.47 | 0.8 | 50 | 2.5 | 1.64 | 0.08 (HCl) | 70 | Dropwise | 1 |
| Coated Ni2.4 | Ni (NiCl2) | 200.25 | 2.0 | 52 | 3 | 1.60 | 0.20 | 47 | Dropwise | 1 |
© 2020 by the authors. Licensee MDPI, Basel, Switzerland. This article is an open access article distributed under the terms and conditions of the Creative Commons Attribution (CC BY) license (http://creativecommons.org/licenses/by/4.0/).
Share and Cite
Lindström, V.; Liashenko, O.; Zweiacker, K.; Derevianko, S.; Morozovych, V.; Lyashenko, Y.; Leinenbach, C. Laser Powder Bed Fusion of Metal Coated Copper Powders. Materials 2020, 13, 3493. https://doi.org/10.3390/ma13163493
Lindström V, Liashenko O, Zweiacker K, Derevianko S, Morozovych V, Lyashenko Y, Leinenbach C. Laser Powder Bed Fusion of Metal Coated Copper Powders. Materials. 2020; 13(16):3493. https://doi.org/10.3390/ma13163493
Chicago/Turabian StyleLindström, Viktor, Oleksii Liashenko, Kai Zweiacker, Serhii Derevianko, Vladyslav Morozovych, Yurij Lyashenko, and Christian Leinenbach. 2020. "Laser Powder Bed Fusion of Metal Coated Copper Powders" Materials 13, no. 16: 3493. https://doi.org/10.3390/ma13163493
APA StyleLindström, V., Liashenko, O., Zweiacker, K., Derevianko, S., Morozovych, V., Lyashenko, Y., & Leinenbach, C. (2020). Laser Powder Bed Fusion of Metal Coated Copper Powders. Materials, 13(16), 3493. https://doi.org/10.3390/ma13163493

