Magnetoimpedance and Stress-Impedance Effects in Amorphous CoFeSiB Ribbons at Elevated Temperatures
Abstract
1. Introduction
2. Materials and Methods
2.1. Samples
2.2. The Impedance Measurements
2.3. Experiment Conditions
3. Results
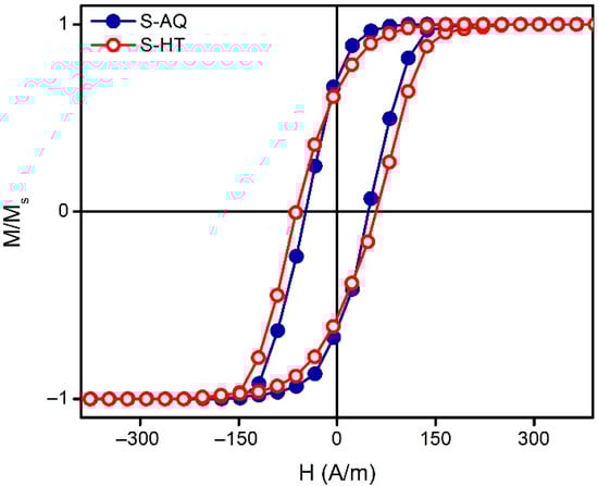
3.1. MI of the Co68.5Fe4Si15B12.5 Ribbons at the T = 295 K before and after Heat Treatment
3.2. MI and SI of the Heat-Threated Co68.5Fe4Si15B12.5 Ribbons in the Tempearature Range from 295 to 405 K
4. Discussion
5. Conclusions
Author Contributions
Funding
Acknowledgments
Conflicts of Interest
References
- Grimes, C.; Mungle, C.; Zeng, K.; Jain, M.; Dreschel, W.; Paulose, M.; Ong, K. Wireless Magnetoelastic Resonance Sensors: A Critical Review. Sensors 2002, 2, 294–313. [Google Scholar] [CrossRef]
- Huber, T.; Bergmair, B.; Vogler, C.; Bruckner, F.; Hrkac, G.; Suess, D. Magnetoelastic resonance sensor for remote strain measurements. Appl. Phys. Lett. 2012, 101, 042402. [Google Scholar] [CrossRef]
- García-Arribas, A.; Gutiérrez, J.; Kurlyandskaya, G.; Barandiarán, J.; Svalov, A.; Fernández, E.; Lasheras, A.; de Cos, D.; Bravo-Imaz, I. Sensor Applications of Soft Magnetic Materials Based on Magneto-Impedance, Magneto-Elastic Resonance and Magneto-Electricity. Sensors 2014, 14, 7602–7624. [Google Scholar] [CrossRef] [PubMed]
- Sisniega, B.; Sagasti Sedano, A.; Gutiérrez, J.; García-Arribas, A. Real Time Monitoring of Calcium Oxalate Precipitation Reaction by Using Corrosion Resistant Magnetoelastic Resonance Sensors. Sensors 2020, 20, 2802. [Google Scholar] [CrossRef] [PubMed]
- Landau, L.D.; Lifshitz, E.M. Electrodynamics of Continuous Media; Pergamon Press: Oxford, UK, 1960. [Google Scholar]
- Beach, R.S.; Berkowitz, A.E. Sensitive field- and frequency-dependent impedance spectra of amorphous FeCoSiB wire and ribbon (invited). J. Appl. Phys. 1994, 76, 6209–6213. [Google Scholar] [CrossRef]
- Panina, L.V.; Mohri, K. Magneto-impedance effect in amorphous wires. Appl. Phys. Lett. 1994, 65, 1189–1191. [Google Scholar] [CrossRef]
- Antonov, A.S.; Gadetskii, S.N.; Granovskii, A.B.; D’yachkov, A.L.; Paramonov, V.P.; Perov, N.S.; Prokoshin, A.F.; Usov, N.A.; Lagar’kov, A.N. Giant magnetoimpedance in amorphous and nanocrystalline multilayers. Phys. Met. Metallogr. 1997, 83, 612–618. [Google Scholar]
- Knobel, M.; Sanchez, M.L.; Velazquez, J.; Vazquez, M. Stress dependence of the giant magneto-impedance effect in amorphous wires. J. Phys. Condens. Matter 1995, 7, L115–L120. [Google Scholar] [CrossRef]
- Gazda, P.; Nowicki, M.; Szewczyk, R. Comparison of Stress-Impedance Effect in Amorphous Ribbons with Positive and Negative Magnetostriction. Materials 2019, 12, 275. [Google Scholar] [CrossRef]
- Buznikov, N.A.; Antonov, A.S.; Granovsky, A.B.; Kim, C.G.; Kim, C.O.; Li, X.P.; Yoon, S.S. Current distribution and giant magnetoimpedance in composite wires with helical magnetic anisotropy. J. Magn. Magn. Mater. 2006, 296, 77–88. [Google Scholar] [CrossRef]
- Buznikov, N.A.; Antonov, A.S.; Rakhmanov, A.A. A model for torsion-stress effect on nonlinear magnetoimpedance in amorphous wires with negative magnetostriction. J. Magn. Magn. Mater. 2011, 323, 189–194. [Google Scholar] [CrossRef]
- Makhotkin, V.E.; Shurukhin, B.P.; Lopatin, V.A.; Marchukov, P.Y.; Levin, Y.K. Magnetic field sensors based on amorphous ribbons. Sens. Actuators A Phys. 1991, 27, 759–762. [Google Scholar] [CrossRef]
- Kurlyandskaya, G.V.; de Cos, D.; Volchkov, S.O. Magnetosensitive transducers for nondestructive testing operating on the basis of the giant magnetoimpedance effect: A review. Russ. J. Nondestruct. Test. 2009, 45, 377–398. [Google Scholar] [CrossRef]
- Shen, L.P.; Uchiyama, T.; Mohri, K.; Kita, E.; Bushida, K. Sensitive stress-impedance micro sensor using amorphous magnetostrictive wire. IEEE Trans. Magn. 1997, 33, 3355–3357. [Google Scholar] [CrossRef]
- Beato-López, J.J.; Urdániz-Villanueva, J.G.; Pérez-Landazábal, J.I.; Gómez-Polo, C. Giant Stress Impedance Magnetoelastic Sensors Employing Soft Magnetic Amorphous Ribbons. Materials 2020, 13, 2175. [Google Scholar] [CrossRef] [PubMed]
- Chen, L.; Bao, C.-C.; Yang, H.; Li, D.; Lei, C.; Wang, T.; Hu, H.-Y.; He, M.; Zhou, Y.; Cui, D.-X. A prototype of giant magnetoimpedance-based biosensing system for targeted detection of gastric cancer cells. Biosens. Bioelectron. 2011, 26, 3246–3253. [Google Scholar] [CrossRef]
- Beato-López, J.J.; Pérez-Landazábal, J.I.; Gómez-Polo, C. Magnetic nanoparticle detection method employing non-linear magnetoimpedance effects. J. Appl. Phys. 2017, 121, 163901. [Google Scholar] [CrossRef]
- Kurlyandskaya, G.V.; Fernández, E.; Safronov, A.P.; Svalov, A.V.; Beketov, I.; Beitia, A.B.; García-Arribas, A.; Blyakhman, F.A. Giant magnetoimpedance biosensor for ferrogel detection: Model system to evaluate properties of natural tissue. Appl. Phys. Lett. 2015, 106, 193702. [Google Scholar] [CrossRef]
- Malátek, M.; Ripka, P.; Kraus, L. Temperature offset drift of GMI sensors. Sens. Actuators A Phys. 2008, 147, 415–418. [Google Scholar] [CrossRef]
- Nabias, J.; Asfour, A.; Yonnet, J.-P. Temperature effect on GMI sensor: Comparison between diagonal and off-diagonal response. Sens. Actuators A Phys. 2019, 289, 50–56. [Google Scholar] [CrossRef]
- Semirov, A.V.; Bukreev, D.A.; Moiseev, A.A.; Kudryavtsev, V.O.; Derevyanko, M.S. Influence of thermo-stress factor on magnetoimpedance of soft magnetic materials. In Proceedings of the 2010 11th International Conference and Seminar on Micro/Nanotechnologies and Electron Devices, Novosibirsk, Russia, 30 June–4 July 2010; IEEE: Piscataway, NJ, USA, 2010; pp. 47–49. [Google Scholar]
- Semirov, A.V.; Bukreev, D.A.; Moiseev, A.A.; Derevyanko, M.S.; Kudryavtsev, V.O. Relationship Between the Temperature Changes of the Magnetostriction Constant and the Impedance of Amorphous Elastically Deformed Soft Magnetic Cobalt-Based Ribbons. Russ. Phys. J. 2013, 55, 977–982. [Google Scholar] [CrossRef]
- Fujimori, H.; Obi, Y.; Masumoto, T.; Saito, H. Soft Ferromagnetic properties of some amorphous alloys. Mater. Sci. Eng. 1976, 23, 281–284. [Google Scholar] [CrossRef]
- Bukreev, D.A.; Derevyanko, M.S.; Moiseev, A.A.; Semirov, A.V. Effect of tensile stress on cobalt-based amorphous wires impedance near the magnetostriction compensation temperature. J. Magn. Magn. Mater. 2020, 500, 166436. [Google Scholar] [CrossRef]
- Lotfollahi, Z.; García-Arribas, A.; Amirabadizadeh, A.; Orue, I.; Kurlyandskaya, G.V. Comparative study of magnetic and magnetoimpedance properties of CoFeSiB-based amorphous ribbons of the same geometry with Mo or W additions. J. Alloys Compd. 2017, 693, 767–776. [Google Scholar] [CrossRef]
- Kurlyandskaya, G.V.; Fal Miyar, V. Surface modified amorphous ribbon based magnetoimpedance biosensor. Biosens. Bioelectron. 2007, 22, 2341–2345. [Google Scholar] [CrossRef]
- Wang, T.; Zhou, Y.; Lei, C.; Luo, J.; Xie, S.; Pu, H. Magnetic impedance biosensor: A review. Biosens. Bioelectron. 2017, 90, 418–435. [Google Scholar] [CrossRef]
- Manna, S.K.; Srinivas, V. Role of artificially created defects on magnetoimpedance of Co73Fe4.5Mn0.5Nb1.0Si4.2B16.8 ribbon. J. Magn. Magn. Mater. 2016, 418, 62–67. [Google Scholar] [CrossRef]
- Inoue, A.; Shen, B.; Koshiba, H.; Kato, H.; Yavari, A.R. Cobalt-based bulk glassy alloy with ultrahigh strength and soft magnetic properties. Nat. Mater. 2003, 2, 661–663. [Google Scholar] [CrossRef]
- Squire, P.T.; Atkinson, D.; Gibbs, M.R.J.; Atalay, S. Amorphous wires and their applications. J. Magn. Magn. Mater. 1994, 132, 10–21. [Google Scholar] [CrossRef]
- Semirov, A.V.; Moiseev, A.A.; Bukreev, D.A.; Kudryavtsev, V.O.; Zakharov, G.V.; Gavrilyuk, A.A.; Sapozhnikov, A.N. Magnetoimpedance detection of the structural relaxation of amorphous ferromagnetic alloys. Russ. J. Nondestruct. Test. 2010, 46, 887–891. [Google Scholar] [CrossRef]
- Derevyanko, M.S.; Bukreev, D.A.; Moiseev, A.A.; Kurlyandskaya, G.V.; Semirov, A.V. Effect of Heat Treatment on the Magnetoimpedance of Soft Magnetic Co68.5Fe4Si15B12.5 Amorphous Ribbons. Phys. Met. Metallogr. 2020, 121, 28–31. [Google Scholar] [CrossRef]
- Kraus, L. Theory of giant magneto-impedance in the planar conductor with uniaxial magnetic anisotropy. J. Magn. Magn. Mater. 1999, 195, 764–778. [Google Scholar] [CrossRef]
- Barandiarán, J.M.; Fernández Barquín, L.; Sal, J.C.G.; Gorría, P.; Hernando, A. Resistivity changes of some amorphous alloys undergoing nanocrystallization. Solid State Commun. 1993, 88, 75–80. [Google Scholar] [CrossRef]
- Stoner, E.C.; Wohlfarth, E.P. A mechanism of magnetic hysteresis in heterogeneous alloys. Philos. Trans. R. Soc. London. Ser. A Math. Phys. Sci. 1948, 240, 599–642. [Google Scholar] [CrossRef]
- Knobel, M.; Gómez-Polo, C.; Vázquez, M. Evaluation of the linear magnetostriction in amorphous wires using the giant magneto-impedance effect. J. Magn. Magn. Mater. 1996, 160, 243–244. [Google Scholar] [CrossRef]
- Sommer, R.L.; Chien, C.L. Role of magnetic anisotropy in the magnetoimpedance effect in amorphous alloys. Appl. Phys. Lett. 1995, 67, 857–859. [Google Scholar] [CrossRef]
- Nakai, T.; Abe, H.; Yabukami, S.; Arai, K.I. Impedance property of thin film GMI sensor with controlled inclined angle of stripe magnetic domain. J. Magn. Magn. Mater. 2005, 290–291, 1355–1358. [Google Scholar] [CrossRef]
- Barandiarán, J.M.; Hernando, A.; Madurga, V.; Nielsen, O.V.; Vázquez, M.; Vázquez-López, M. Temperature, stress, and structural-relaxation dependence of the magnetostriction in (Co0.94Fe0.06)75Si15B10 glasses. Phys. Rev. B 1987, 35, 5066–5071. [Google Scholar] [CrossRef]
- Siemko, A.; Lachowicz, H.K. Temperature and stress dependence of magnetostriction in Co-based metallic glasses. IEEE Trans. Magn. 1988, 24, 1984–1986. [Google Scholar] [CrossRef]
- Tejedor, M.; Hernando, B.; Sánchez, M.L.; Prida, V.M.; Vázquez, M. The magnetostriction and stress dependence of the magneto-impedance effect in ribbons of amorphous Fe4Co67Mo1.5Si16.5B11. J. Phys. D Appl. Phys. 1998, 31, 2431–2437. [Google Scholar] [CrossRef]
- O’Handley, R.C. Magnetostriction of transition-metal-metalloid glasses: Temperature dependence. Phys. Rev. B 1978, 18, 930–938. [Google Scholar] [CrossRef]
- Madurga, V.; Vazquez, M.; Hernando, A.; Nielsen, O.V. Magnetostriction of amorphous (Co1−xFex)75Si15B10 ribbons (0 ⩽ x ⩽ 0.12) and its temperature dependence. Solid State Commun. 1984, 52, 701–703. [Google Scholar] [CrossRef]









© 2020 by the authors. Licensee MDPI, Basel, Switzerland. This article is an open access article distributed under the terms and conditions of the Creative Commons Attribution (CC BY) license (http://creativecommons.org/licenses/by/4.0/).
Share and Cite
Bukreev, D.A.; Derevyanko, M.S.; Moiseev, A.A.; Semirov, A.V.; Savin, P.A.; Kurlyandskaya, G.V. Magnetoimpedance and Stress-Impedance Effects in Amorphous CoFeSiB Ribbons at Elevated Temperatures. Materials 2020, 13, 3216. https://doi.org/10.3390/ma13143216
Bukreev DA, Derevyanko MS, Moiseev AA, Semirov AV, Savin PA, Kurlyandskaya GV. Magnetoimpedance and Stress-Impedance Effects in Amorphous CoFeSiB Ribbons at Elevated Temperatures. Materials. 2020; 13(14):3216. https://doi.org/10.3390/ma13143216
Chicago/Turabian StyleBukreev, Dmitriy A., Michael S. Derevyanko, Alexey A. Moiseev, Alexander V. Semirov, Peter A. Savin, and Galina V. Kurlyandskaya. 2020. "Magnetoimpedance and Stress-Impedance Effects in Amorphous CoFeSiB Ribbons at Elevated Temperatures" Materials 13, no. 14: 3216. https://doi.org/10.3390/ma13143216
APA StyleBukreev, D. A., Derevyanko, M. S., Moiseev, A. A., Semirov, A. V., Savin, P. A., & Kurlyandskaya, G. V. (2020). Magnetoimpedance and Stress-Impedance Effects in Amorphous CoFeSiB Ribbons at Elevated Temperatures. Materials, 13(14), 3216. https://doi.org/10.3390/ma13143216

