Recent Trends in Applying Ortho-Nitrobenzyl Esters for the Design of Photo-Responsive Polymer Networks
Abstract
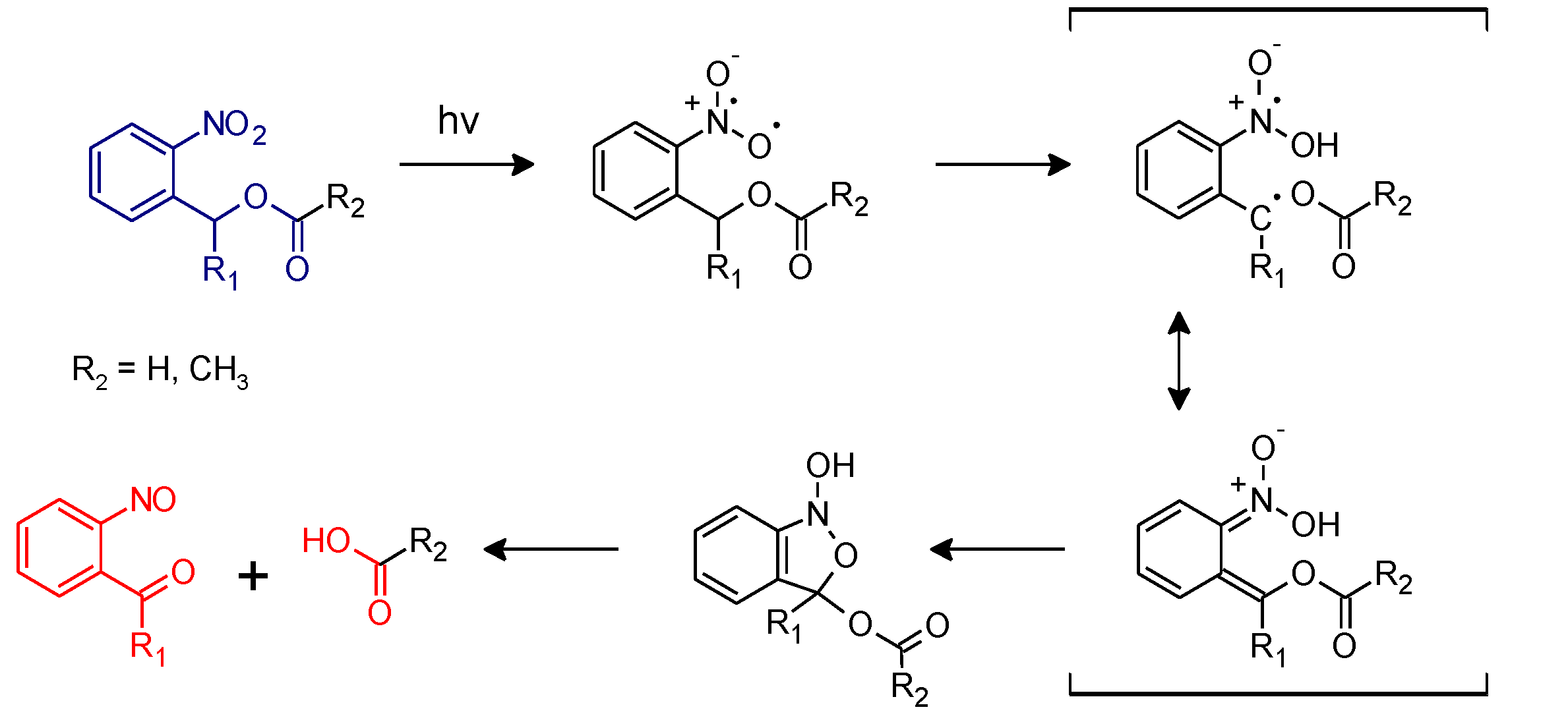
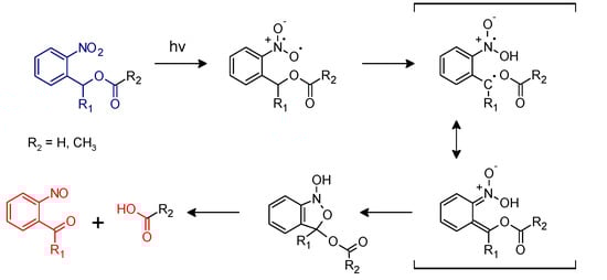
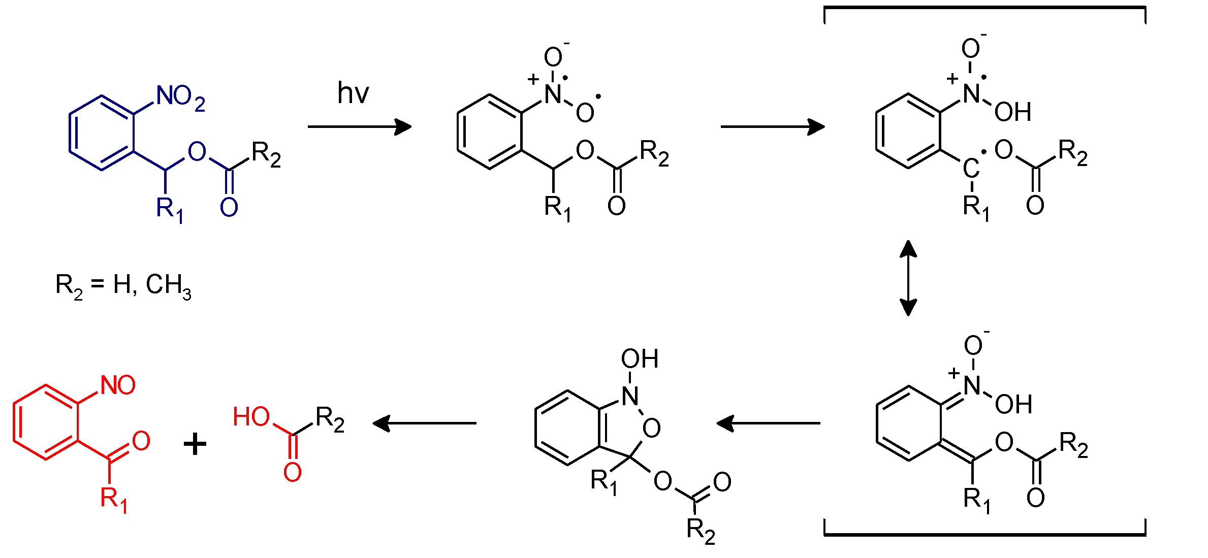
1. Introduction
2. Photo-Responsive Acrylate and Methacrylate Polymers
3. Photo-Responsive “Thiol-Tlick” Networks
4. Photo-Responsive Epoxy Networks
5. Photo-Responsive PDMS Networks
6. Conclusions
Funding
Acknowledgments
Conflicts of Interest
References
- Cabane, E.; Zhang, X.; Langowska, K.; Palivan, C.G.; Meier, W. Stimuli-Responsive Polymers and Their Applications in Nanomedicine. Biointerphases 2012, 7, 1–27. [Google Scholar] [CrossRef]
- Roy, D.; Cambre, J.N.; Sumerlin, B.S. Future Perspectives and Recent Advances in Stimuli-Responsive Materials. Prog. Polym. Sci. 2010, 35, 278–301. [Google Scholar] [CrossRef]
- Li, Y.C.; Zhang, Y.S.; Akpek, A.; Shin, S.R.; Khademhosseini, A. 4D Bioprinting: The next-Generation Technology for Biofabrication Enabled by Stimuli-Responsive Materials. Biofabrication 2017, 9, 1–16. [Google Scholar] [CrossRef] [PubMed]
- Jochum, F.D.; Theato, P. Temperature- and Light-Responsive Smart Polymer Materials. Chem. Soc. Rev. 2013, 42, 7468–7483. [Google Scholar] [CrossRef]
- Theato, P.; Sumerlin, B.S.; O’reilly, R.K.; Epp, T.H. Stimuli Responsive Materials. Chem. Soc. Rev. 2013, 42, 7055–7056. [Google Scholar] [CrossRef]
- Gao, S.; Tang, G.; Hua, D.; Xiong, R.; Han, J.; Jiang, S.; Zhang, Q.; Huang, C. Stimuli-Responsive Bio-Based Polymeric Systems and Their Applications. J. Mater. Chem. B 2019, 7, 709–729. [Google Scholar] [CrossRef]
- Roth, P.J.; Lowe, A.B. Stimulus-Responsive Polymers. Polym. Chem. 2017, 8, 10–11. [Google Scholar] [CrossRef]
- Bertrand, O.; Gohy, J.F. Photo-Responsive Polymers: Synthesis and Applications. Polym. Chem. 2017, 8, 52–73. [Google Scholar] [CrossRef]
- Klán, P.; Šolomek, T.; Bochet, C.G.; Blanc, A.; Givens, R.; Rubina, M.; Popik, V.; Kostikov, A.; Wirz, J. Photoremovable Protecting Groups in Chemistry and Biology: Reaction Mechanisms and Efficacy. Chem. Rev. 2013, 113, 119–191. [Google Scholar] [CrossRef]
- Chatani, S.; Kloxin, C.J.; Bowman, C.N. The Power of Light in Polymer Science: Photochemical Processes to Manipulate Polymer Formation, Structure, and Properties. Polym. Chem. 2014, 5, 2187–2201. [Google Scholar] [CrossRef]
- Hansen, M.J.; Velema, W.A.; Lerch, M.M.; Szymanski, W.; Feringa, B.L. Wavelength-Selective Cleavage of Photoprotecting Groups: Strategies and Applications in Dynamic Systems. Chem. Soc. Rev. 2015, 44, 3358–3377. [Google Scholar] [CrossRef]
- Russew, M.M.; Hecht, S. Photoswitches: From Molecules to Materials. Adv. Mater. 2010, 22, 3348–3360. [Google Scholar] [CrossRef] [PubMed]
- Habault, D.; Zhang, H.; Zhao, Y. Light-Triggered Self-Healing and Shape-Memory Polymers. Chem. Soc. Rev. 2013, 42, 7244–7256. [Google Scholar] [CrossRef]
- Trenor, S.R.; Shultz, A.R.; Love, B.J.; Long, T.E. Coumarins in Polymers: From Light Harvesting to Photo-Cross-Linkable Tissue Scaffolds. Chem. Rev. 2004, 104, 3059–3077. [Google Scholar] [CrossRef] [PubMed]
- Il’ichev, Y.V.; Schwörer, M.A.; Wirz, J. Photochemical Reaction Mechanisms of 2-Nitrobenzyl Compounds: Methyl Ethers and Caged ATP. J. Am. Chem. Soc. 2004, 126, 4581–4595. [Google Scholar] [CrossRef]
- Guillier, F.; Orain, D.; Bradley, M. Linkers and Cleavage Strategies in Solid-Phase Organic Synthesis and Combinatorial Chemistry. Chem. Rev. 2000, 100, 2091–2157. [Google Scholar] [CrossRef]
- Pelliccioli, A.P.; Wirz, J. Photoremovable Protecting Groups: Reaction Mechanisms and Applications. Photochem. Photobiol. Sci. 2002, 1, 441–458. [Google Scholar] [CrossRef]
- Bochet, C.G. Photolabile Protecting Groups and Linkers. J. Chem. Soc. Perkin 1 2002, 2, 125–142. [Google Scholar]
- Rajasekharan Pillai, V.N. Photoremovable Protecting Groups in Organic Synthesis. Synthesis (Stuttg). 1980, 1, 1–26. [Google Scholar] [CrossRef]
- Barltrop, J.A.; Plant, P.J.; Schofield, P. Photosensitive Protective Groups. Chem. Commun. 1966, 822–823. [Google Scholar] [CrossRef]
- Romano, A.; Roppolo, I.; Giebler, M.; Dietliker, K.; Možina, S.; Šket, P.; Mühlbacher, I.; Schlögl, S.; Sangermano, M. Stimuli-Responsive Thiol-Epoxy Networks with Photo-Switchable Bulk and Surface Properties. RSC Adv. 2018, 8, 41904–41914. [Google Scholar] [CrossRef]
- Cameron, J.F.; Fréchet, J.M.J. Photogeneration of Organic Bases from O-Nitrobenzyl-Derived Carbamates. J. Am. Chem. Soc. 1991, 113, 4303–4313. [Google Scholar] [CrossRef]
- Wang, P. Photolabile Protecting Groups: Structure and Reactivity. Asian J. Org. Chem. 2013, 2, 452–464. [Google Scholar] [CrossRef]
- Amit, B.; Zehavi, U.; Patchornik, A. Photosensitive Protecting Groups — A Review. Isr. J. Chem. 1974, 12, 103–113. [Google Scholar] [CrossRef]
- Rich, D.H.; Gurwara, S.K. Removal of Protected Peptides from an Ortho-Nitrobenzyl Resin by Photolysis. J. Chem. Soc. Chem. Commun. 1973, 17, 610–611. [Google Scholar] [CrossRef]
- Zhao, H.; Sterner, E.S.; Coughlin, E.B.; Theato, P. O-Nitrobenzyl Alcohol Derivatives: Opportunities in Polymer and Materials Science. Macromolecules 2012, 45, 1723–1736. [Google Scholar] [CrossRef]
- Zhang, X.; Xi, W.; Gao, G.; Wang, X.; Stansbury, J.W.; Bowman, C.N. O-Nitrobenzyl-Based Photobase Generators: Efficient Photoinitiators for Visible-Light Induced Thiol-Michael Addition Photopolymerization. ACS Macro Lett. 2018, 7, 852–857. [Google Scholar] [CrossRef]
- Kretschy, N.; Holik, A.K.; Somoza, V.; Stengele, K.P.; Somoza, M.M. Next-Generation o-Nitrobenzyl Photolabile Groups for Light-Directed Chemistry and Microarray Synthesis. Angew. Chemie - Int. Ed. 2015, 54, 8555–8559. [Google Scholar] [CrossRef]
- Holmes, C.P. Model Studies for New O-Nitrobenzyl Photolabile Linkers: Substituent Effects on the Rates of Photochemical Cleavage. J. Org. Chem. 1997, 62, 2370–2380. [Google Scholar] [CrossRef]
- Bley, F.; Schaper, K.; Görner, H. Photoprocesses of Molecules with 2-Nitrobenzyl Protecting Groups and Caged Organic Acids. Photochem. Photobiol. 2008, 84, 162–171. [Google Scholar] [CrossRef]
- Wöll, D.; Smirnova, J.; Galetskaya, M.; Prykota, T.; Bühler, J.; Stengele, K.P.; Pfleiderer, W.; Steiner, U.E. Intramolecular Sensitization of Photocleavage of the Photolabile 2-(2-Nitrophenyl)Propoxycarbonyl (NPPOC) Protecting Group: Photoproducts and Photokinetics of the Release of Nucleosides. Chem. - A Eur. J. 2008, 14, 6490–6497. [Google Scholar] [CrossRef]
- Wöll, D.; Laimgruber, S.; Galetskaya, M.; Smirnova, J.; Pfleiderer, W.; Heinz, B.; Gilch, P.; Steiner, U.E. On the Mechanism of Intramolecular Sensitization of Photocleavage of the 2-(2-Nitrophenyl)Propoxycarbonyl (NPPOC) Protecting Group. J. Am. Chem. Soc. 2007, 129, 12148–12158. [Google Scholar] [CrossRef]
- Zeng, X.; Zhou, X.; Wu, S. Red and Near-Infrared Light-Cleavable Polymers. Macromol. Rapid Commun. 2018, 39, 1–16. [Google Scholar] [CrossRef]
- Lunzer, M.; Shi, L.; Andriotis, O.G.; Gruber, P.; Markovic, M.; Thurner, P.J.; Ossipov, D.; Liska, R.; Ovsianikov, A. A Modular Approach to Sensitized Two-Photon Patterning of Photodegradable Hydrogels. Angew. Chemie 2018, 130, 15342–15347. [Google Scholar] [CrossRef]
- Lee, G.; Park, Y.I. Lanthanide-Doped Upconversion Nanocarriers for Drug and Gene Delivery. Nanomaterials 2018, 8, 511. [Google Scholar] [CrossRef]
- Petropoulos, C.C. Synthesis of Novel Photodegradable Poly(O-Nitrobenzaldehyde Acetal) Polymers. J. Polym. Sci. Polym. Chem. Ed. 1977, 15, 1637–1644. [Google Scholar] [CrossRef]
- Zhu, C.; Bettinger, C.J. Photoreconfigurable Physically Cross-Linked Triblock Copolymer Hydrogels: Photodisintegration Kinetics and Structure-Property Relationships. Macromolecules 2015, 48, 1563–1572. [Google Scholar] [CrossRef]
- Zhao, H.; Gu, W.; Sterner, E.; Russell, T.P.; Coughlin, E.B.; Theato, P. Highly Ordered Nanoporous Thin Films from Photocleavable Block Copolymers. Macromolecules 2011, 44, 6433–6440. [Google Scholar] [CrossRef]
- Bertrand, O.; Poggi, E.; Gohy, J.F.; Fustin, C.A. Functionalized Stimuli-Responsive Nanocages from Photocleavable Block Copolymers. Macromolecules 2014, 47, 183–190. [Google Scholar] [CrossRef]
- Reichmanis, E.; Smith, B.C.; Gooden, R. Omicron -nitrobenzyl photochemistry: Solution vs. Solid-state behavior. J. Polym. Sci. A1 1985, 23, 1–8. [Google Scholar]
- Kloxin, A.M.; Kasko, A.M.; Salinas, C.N.; Anseth, K.S. Photodegradable Hydrogels for Dynamic Tuning of Physical and Chemical Properties. Science 2009, 324, 59–63. [Google Scholar] [CrossRef] [PubMed]
- Zhao, H.; Gu, W.; Kakuchi, R.; Sun, Z.; Sterner, E.; Russell, T.P.; Coughlin, E.B.; Theato, P. Photocleavable Triblock Copolymers Featuring an Activated Ester Middle Block: “One-Step” Synthesis and Application as Locally Reactive Nanoporous Thin Films. ACS Macro Lett. 2013, 2, 966–969. [Google Scholar] [CrossRef]
- Mo, B.; Liu, H.; Zhou, X.; Zhao, Y. Facile Synthesis of Photolabile Dendritic-Unit-Bridged Hyperbranched Graft Copolymers for Stimuli-Triggered Topological Transition and Controlled Release of Nile Red. Polym. Chem. 2015, 6, 3489–3501. [Google Scholar] [CrossRef]
- Liu, C.; Ewert, K.K.; Yao, W.; Wang, N.; Li, Y.; Safinya, C.R.; Qiao, W. A Multifunctional Lipid Incorporating Active Targeting and Dual-Control Release Capabilities for Precision Drug Delivery. ACS Appl. Mater. Interfaces 2020, 12, 70–85. [Google Scholar] [CrossRef] [PubMed]
- Li, W.; He, Y.G.; Shi, S.Y.; Liu, N.; Zhu, Y.Y.; Ding, Y.S.; Yin, J.; Wu, Z.Q. Fabrication of a Multi-Charge Generable Poly(Phenyl Isocyanide)-Block-Poly(3-Hexylthiophene) Rod-Rod Conjugated Copolymer. Polym. Chem. 2015, 6, 2348–2355. [Google Scholar] [CrossRef]
- Li, L.; Scheiger, J.M.; Levkin, P.A. Design and Applications of Photoresponsive Hydrogels. Adv. Mater. 2019, 31, 1807333. [Google Scholar] [CrossRef]
- Hegazy, M.; Zhou, P.; Rahoui, N.; Wu, G.; Taloub, N.; Lin, Y.; Huang, X.; Huang, Y. A Facile Design of Smart Silica Nanocarriers via Surface-Initiated RAFT Polymerization as a Dual-Stimuli Drug Release Platform. Colloids Surfaces A Physicochem. Eng. Asp. 2019, 581, 123797. [Google Scholar] [CrossRef]
- Han, D.; Tong, X.; Zhao, Y. Block Copolymer Micelles with a Dual-Stimuli-Responsive Core for Fast or Slow Degradation. Langmuir 2012, 28, 2327–2331. [Google Scholar] [CrossRef]
- Cao, Z.; Li, Q.; Wang, G. Photodegradable Polymer Nanocapsules Fabricated from Dimethyldiethoxysilane Emulsion Templates for Controlled Release. Polym. Chem. 2017, 8, 6817–6823. [Google Scholar] [CrossRef]
- Wang, Y.Z.; Li, L.; Du, F.S.; Li, Z.C. A Facile Approach to Catechol Containing UV Dismantlable Adhesives. Polymer (Guildf.) 2015, 68, 270–278. [Google Scholar] [CrossRef]
- Del Campo, A.; Boos, D.; Spiess, H.W.; Jonas, U. Surface Modification with Orthogonal Photosensitive Silanes for Sequential Chemical Lithography and Site-Selective Particle Deposition. Angew. Chemie - Int. Ed. 2005, 44, 4707–4712. [Google Scholar] [CrossRef] [PubMed]
- Cordonier, C.E.J.; Nakamura, A.; Shimada, K.; Fujishima, A. Metallic Film Formation Using Direct Micropatterning with Photoreactive Metal Complexes. Langmuir 2012, 28, 13542–13548. [Google Scholar] [CrossRef] [PubMed]
- Shadish, J.A.; Benuska, G.M.; DeForest, C.A. Bioactive Site-Specifically Modified Proteins for 4D Patterning of Gel Biomaterials. Nat. Mater. 2019, 18, 1005–1014. [Google Scholar] [CrossRef] [PubMed]
- Katz, J.S.; Doh, J.; Irvine, D.J. Composition-Tunable Properties of Amphiphilic Comb Copolymers Containing Protected Methacrylic Acid Groups for Multicomponent Protein Patterning. Langmuir 2006, 22, 353–359. [Google Scholar] [CrossRef] [PubMed]
- Gumbley, P.; Koylu, D.; Pawle, R.H.; Umezuruike, B.; Spedden, E.; Staii, C.; Thomas, S.W. Wavelength-Selective Disruption and Triggered Release with Photolabile Polyelectrolyte Multilayers. Chem. Mater. 2014, 26, 1450–1456. [Google Scholar] [CrossRef]
- Hu, X.; Qureishi, Z.; Thomas, S.W. Light-Controlled Selective Disruption, Multilevel Patterning, and Sequential Release with Polyelectrolyte Multilayer Films Incorporating Four Photocleavable Chromophores. Chem. Mater. 2017, 29, 2951–2960. [Google Scholar] [CrossRef]
- Konishi, T.; Hashimoto, T.; Sato, N.; Nakajima, K.; Yamaguchi, K. Substituent Effects at the Benzyl Position and Aromatic Ring of Silane-Coupling Agents Containing 2-Nitrobenzyl Esters on Photosensitivity and Hydrophobic Surface of a Self-Assembled Monolayer (SAM). Bull. Chem. Soc. Jpn. 2016, 89, 125–134. [Google Scholar] [CrossRef]
- Bardecker, J.A.; Afzali, A.; Tulevski, G.S.; Graham, T.; Hannon, J.B.; Jen, A.K.Y. UV-Sensitive Self-Assembled Monolayer Photoresist for the Selective Deposition of Carbon Nanotubes. Chem. Mater. 2012, 24, 2017–2021. [Google Scholar] [CrossRef]
- Wei, P.; Li, B.; De Leon, A.; Pentzer, E. Beyond Binary: Optical Data Storage with 0, 1, 2, and 3 in Polymer Films. J. Mater. Chem. C 2017, 5, 5780–5786. [Google Scholar] [CrossRef]
- Edler, M.; Mayrbrugger, S.; Fian, A.; Trimmel, G.; Radl, S.; Kern, W.; Griesser, T. Wavelength Selective Refractive Index Modulation in a ROMP Derived Polymer Bearing Phenyl- and Ortho-Nitrobenzyl Ester Groups. J. Mater. Chem. C 2013, 1, 3931–3938. [Google Scholar] [CrossRef][Green Version]
- Konuray, O.; Fernández-Francos, X.; Ramis, X.; Serra, À. State of the Art in Dual-Curing Acrylate Systems. Polymers 2018, 10, 178. [Google Scholar] [CrossRef]
- Bland, M.H.; Peppas, N.A. Photopolymerized Multifunctional (Meth)Acrylates as Model Polymers for Dental Applications. Biomaterials 1996, 17, 1109–1114. [Google Scholar] [CrossRef]
- Fertier, L.; Koleilat, H.; Stemmelen, M.; Giani, O.; Joly-Duhamel, C.; Lapinte, V.; Robin, J.J. The Use of Renewable Feedstock in UV-Curable Materials-A New Age for Polymers and Green Chemistry. Prog. Polym. Sci. 2013, 38, 932–962. [Google Scholar] [CrossRef]
- Ebe, K.; Seno, H.; Horigome, K. UV Curable Pressure-Sensitive Adhesives for Fabricating Semiconductors. I. Development of Easily Peelable Dicing Tapes. J. Appl. Polym. Sci. 2003, 90, 436–441. [Google Scholar] [CrossRef]
- Nguyen, L.H.; Straub, M.; Gu, M. Acrylate-Based Photopolymer for Two-Photon Microfabrication and Photonic Applications. Adv. Funct. Mater. 2005, 15, 209–216. [Google Scholar] [CrossRef]
- Gonzalez, G.; Chiappone, A.; Roppolo, I.; Fantino, E.; Bertana, V.; Perrucci, F.; Scaltrito, L.; Pirri, F.; Sangermano, M. Development of 3D Printable Formulations Containing CNT with Enhanced Electrical Properties. Polymer (Guildf.) 2017, 109, 246–253. [Google Scholar] [CrossRef]
- Ligon, S.C.; Liska, R.; Stampfl, J.; Gurr, M.; Mülhaupt, R. Polymers for 3D Printing and Customized Additive Manufacturing. Chem. Rev. 2017, 117, 10212–10290. [Google Scholar] [CrossRef]
- Del Barrio, J.; Sánchez-Somolinos, C. Light to Shape the Future: From Photolithography to 4D Printing. Adv. Opt. Mater. 2019, 7, 1900598. [Google Scholar] [CrossRef]
- Del Campo, A.; Arzt, E. Fabrication Approaches for Generating Complex Micro- and Nanopatterns on Polymeric Surfaces. Chem. Rev. 2008, 108, 911–945. [Google Scholar] [CrossRef]
- Franssila, S. Introduction to Microfabrication. Introd. Microfabr. 2010, 321, 5–15. [Google Scholar]
- Reichmanis, E.; Gooden, R.; Wilkins, C.W.; Schonhorn, H. Study of The Photochemical Response of O-Nitrobenzyl Cholate Derivatives in P(Mma-Maa) Matrices. J. Polym. Sci. A1 1983, 21, 1075–1083. [Google Scholar] [CrossRef]
- Schwalm, R. Lithographic Evaluation of One-Component Deep-UV Resists Containing o-Nitrobenzyl Ester Moieties. J. Electrochem. Soc. 1989, 136, 3471. [Google Scholar] [CrossRef]
- Guillet, J.E.; Li, S.-K.L.; Ng, H.C. Photochemistry of Ketone Polymers in the Solid Phase: A Review. Mater. Microlithogr. 1985, 6, 165–177. [Google Scholar]
- Willson, C.G. Approaches to the Design of Radiation-Sensitive Polymeric Imaging Systems with Improved Sensitivity and Resolution. J. Electrochem. Soc. 1986, 133, 181. [Google Scholar] [CrossRef]
- Wilkins, C.W. Lithographic Evaluation of an O-Nitrobenzyl Ester Based Deep U.V. Resist System. J. Electrochem. Soc. 1982, 129, 2552. [Google Scholar] [CrossRef]
- Bargon, J. Lithographic Materials. Methods and Materials in Microelectronic Technology; Bargon, J., Ed.; Proceedings of the International Symposium on Methods and Materials in Microelectronic Technology, 29 September –1 October 1982, Bad Neuenahr, Federal Republic of Germany. Plenum Press: New York, NY, USA, 1984; p. 214. [Google Scholar]
- Lin, B.J. Deep Uv Lithography. J. Vac. Sci Technol. 1975, 12, 1317–1320. [Google Scholar] [CrossRef]
- Taylor, P.G.; Lee, J.K.; Zakhidov, A.A.; Chatzichristidi, M.; Fong, H.H.; DeFranco, J.A.; Malliaras, G.G.; Ober, C.K. Orthogonal Patterning of PEDOT:PSS for Organic Electronics Using Hydrofluoroether Solvents. Adv. Mater. 2009, 21, 2314–2317. [Google Scholar] [CrossRef]
- Doh, J.; Irvine, D.J. Photogenerated Polyelectrolyte Bilayers from an Aqueous-Processible Photoresist for Multicomponent Protein Patterning. J. Am. Chem. Soc. 2004, 126, 9170–9171. [Google Scholar] [CrossRef]
- Kim, M.; Choi, J.C.; Jung, H.R.; Katz, J.S.; Kim, M.G.; Doh, J. Addressable Micropatterning of Multiple Proteins and Cells by Microscope Projection Photolithography Based on a Protein Friendly Photoresist. Langmuir 2010, 26, 12112–12118. [Google Scholar] [CrossRef]
- Kwon, K.W.; Choi, J.C.; Suh, K.Y.; Doh, J. Multiscale Fabrication of Multiple Proteins and Topographical Structures by Combining Capillary Force Lithography and Microscope Projection Photolithography. Langmuir 2011, 27, 3238–3243. [Google Scholar] [CrossRef]
- Jiang, X.; Zheng, H.; Gourdin, S.; Hammond, P.T. Polymer-on-Polymer Stamping: Universal Approaches to Chemically Patterned Surfaces. Langmuir 2002, 18, 2607–2615. [Google Scholar] [CrossRef]
- Ariga, K.; Hill, J.P.; Ji, Q. Layer-by-Layer Assembly as a Versatile Bottom-up Nanofabrication Technique for Exploratory Research and Realistic Application. Phys. Chem. Chem. Phys. 2007, 9, 2319–2340. [Google Scholar] [CrossRef] [PubMed]
- Laugel, N.; Betscha, C.; Winterhalter, M.; Voegel, J.C.; Schaaf, P.; Ball, V. Relationship between the Growth Regime of Polyelectrolyte Multilayers and the Polyanion/Polycation Complexation Enthalpy. J. Phys. Chem. B 2006, 110, 19443–19449. [Google Scholar] [CrossRef] [PubMed]
- Abu-Thabit, N.Y.; Hamdy, A.S. Stimuli-Responsive Polyelectrolyte Multilayers for Fabrication of Self-Healing Coatings – A Review. Surf. Coatings Technol. 2016, 303, 406–424. [Google Scholar] [CrossRef]
- Harriott, L.R. Limits of Lithography. Proc. IEEE 2001, 89, 366–374. [Google Scholar] [CrossRef]
- Romano, A.; Angelini, A.; Rossegger, E.; Palmara, G.; Castellino, M.; Frascella, F.; Chiappone, A.; Chiadò, A.; Sangermano, M.; Schlögl, S.; et al. Laser-Triggered Writing and Biofunctionalization of Thiol-Ene Networks. Macromol. Rapid Commun. 2020, 41, 1–7. [Google Scholar] [CrossRef]
- Batchelor, R.; Messer, T.; Hippler, M.; Wegener, M.; Barner-Kowollik, C.; Blasco, E. Two in One: Light as a Tool for 3D Printing and Erasing at the Microscale. Adv. Mater. 2019, 31, 1904085. [Google Scholar] [CrossRef]
- Rossegger, E.; Hennen, D.; Griesser, T.; Roppolo, I.; Schlögl, S. Directed Motion of Water Droplets on Multi-Gradient Photopolymer Surfaces. Polym. Chem. 2019, 10, 1882–1893. [Google Scholar] [CrossRef]
- Rossegger, E.; Nees, D.; Turisser, S.; Radl, S.; Griesser, T.; Schlögl, S. Photo-Switching of Surface Wettability on Micropatterned Photopolymers for Fast Transport of Water Droplets over a Long-Distance. Polym. Chem. 2020, 11, 3125–3135. [Google Scholar] [CrossRef]
- Kim, M.; Chung, H. Photo-Responsive Bio-Inspired Adhesives: Facile Control of Adhesion Strength: Via a Photocleavable Crosslinker. Polym. Chem. 2017, 8, 6300–6308. [Google Scholar] [CrossRef]
- Xue, L.; Xiong, X.; Krishnan, B.P.; Puza, F.; Wang, S.; Zheng, Y.; Cui, J. Light-Regulated Growth from Dynamic Swollen Substrates for Making Rough Surfaces. Nat. Commun. 2020, 11, 1–9. [Google Scholar] [CrossRef]
- Schumers, J.M.; Bertrand, O.; Fustin, C.A.; Gohy, J.F. Synthesis and Self-Assembly of Diblock Copolymers Bearing 2-Nitrobenzyl Photocleavable Side Groups. J. Polym. Sci. Part A Polym. Chem. 2012, 50, 599–608. [Google Scholar] [CrossRef]
- Jiang, J.; Tong, X.; Morris, D.; Zhao, Y. Toward Photocontrolled Release Using Light-Dissociable Block Copolymer Micelles. Macromolecules 2006, 39, 4633–4640. [Google Scholar] [CrossRef]
- Schumers, J.-M.; Fustin, C.-A.; Can, A.; Hoogenboom, R.; Schubert, U.S.; Gohy, J.-F. Are O-Nitrobenzyl (Meth)Acrylate Monomers Polymerizable by Controlled-Radical Polymerization? J. Polym. Sci. Part A Polym. Chem. 2009, 47, 6504–6513. [Google Scholar] [CrossRef]
- Soliman, S.M.A.; Nouvel, C.; Babin, J.; Six, J.L. O-Nitrobenzyl Acrylate Is Polymerizable by Single Electron Transfer-Living Radical Polymerization. J. Polym. Sci. Part A Polym. Chem. 2014, 52, 2192–2201. [Google Scholar] [CrossRef]
- Liu, Y.; Wang, L.; Pan, C. Synthesis of Block Copoly(Styrene-o-p-Nitrophenyl Methacrylate) and Its Derivatives by Atom Transfer Radical Polymerization. Macromolecules 1999, 32, 8301–8305. [Google Scholar] [CrossRef]
- Yang, F.; Cao, Z.; Wang, G. Micellar Assembly of a Photo- and Temperature-Responsive Amphiphilic Block Copolymer for Controlled Release. Polym. Chem. 2015, 6, 7995–8002. [Google Scholar] [CrossRef]
- Bates, F.S.; Fredrickson, G.H. Block Copolymers-Designer Soft Materials. Phys. Today 1999, 52, 32–38. [Google Scholar] [CrossRef]
- Klok, H.A.; Lecommandoux, S. Supramolecular Materials via Block Copolymer Self-Assembly. Adv. Mater. 2001, 13, 1217–1229. [Google Scholar] [CrossRef]
- Letchford, K.; Burt, H. A Review of the Formation and Classification of Amphiphilic Block Copolymer Nanoparticulate Structures: Micelles, Nanospheres, Nanocapsules and Polymersomes. Eur. J. Pharm. Biopharm. 2007, 65, 259–269. [Google Scholar] [CrossRef]
- Albert, J.N.L.; Epps, T.H. Self-Assembly of Block Copolymer Thin Films. Mater. Today 2010, 13, 24–33. [Google Scholar] [CrossRef]
- Altinpinar, S.; Zhao, H.; Ali, W.; Kappes, R.S.; Schuchardt, P.; Salehi, S.; Santoro, G.; Theato, P.; Roth, S.V.; Gutmann, J.S. Distortion of Ultrathin Photocleavable Block Copolymer Films during Photocleavage and Nanopore Formation. Langmuir 2015, 31, 8947–8952. [Google Scholar] [CrossRef] [PubMed]
- Segalman, R.A. Patterning with Block Copolymer Thin Films. Mater. Sci. Eng. R Reports 2005, 48, 191–226. [Google Scholar] [CrossRef]
- Cheng, J.Y.; Ross, C.A.; Thomas, E.L.; Smith, H.I.; Vancso, G.J. Templated Self-Assembly of Block Copolymers: Effect of Substrate Topography. Adv. Mater. 2003, 15, 1599–1602. [Google Scholar] [CrossRef]
- An, S.; Kim, H.; Kim, M.; Kim, S. Photoinduced Modulation of Polymeric Interfacial Behavior Controlling Thin-Film Block Copolymer Wetting. Langmuir 2020, 36, 3046–3056. [Google Scholar] [CrossRef]
- Klinger, D.; Landfester, K. Dual Stimuli-Responsive Poly(2-Hydroxyethyl Methacrylate-Co-Methacrylic Acid) Microgels Based on Photo-Cleavable Cross-Linkers: PH-Dependent Swelling and Light-Induced Degradation. Macromolecules 2011, 44, 9758–9772. [Google Scholar] [CrossRef]
- Yin, J.; Hu, H.; Wu, Y.; Liu, S. Thermo- and Light-Regulated Fluorescence Resonance Energy Transfer Processes within Dually Responsive Microgels. Polym. Chem. 2011, 2, 363–371. [Google Scholar] [CrossRef]
- Ionov, L.; Diez, S. Environment-Friendly Photolithography Using Poly(N-Isopropylacrylamide)- Based Thermoresponsive Photoresists. J. Am. Chem. Soc. 2009, 131, 13315–13319. [Google Scholar] [CrossRef]
- Kolb, H.C.; Finn, M.G.; Sharpless, K.B. Click Chemistry: Diverse Chemical Function from a Few Good Reactions. Angew. Chemie - Int. Ed. 2001, 40, 2004–2021. [Google Scholar] [CrossRef]
- Hoyle, C.E.; Lowe, A.B.; Bowman, C.N. Thiol-Click Chemistry: A Multifaceted Toolbox for Small Molecule and Polymer Synthesis. Chem. Soc. Rev. 2010, 39, 1355–1387. [Google Scholar] [CrossRef]
- Pauloehrl, T.; Delaittre, G.; Bastmeyer, M.; Barner-Kowollik, C. Ambient Temperature Polymer Modification by in Situ Phototriggered Deprotection and Thiol-Ene Chemistry. Polym. Chem. 2012, 3, 1740–1749. [Google Scholar] [CrossRef]
- Lowe, A.B. Thiol-Ene “Click” Reactions and Recent Applications in Polymer and Materials Synthesis. Polym. Chem. 2010, 1, 17–36. [Google Scholar] [CrossRef]
- Hoyle, C.E.; Lee, T.Y.; Roper, T. Thiol-Enes: Chemistry of the Past with Promise for the Future. J. Polym. Sci. Part A Polym. Chem. 2004, 42, 5301–5338. [Google Scholar] [CrossRef]
- Marx, P.; Romano, A.; Roppolo, I.; Chemelli, A.; Mühlbacher, I.; Kern, W.; Chaudhary, S.; Andritsch, T.; Sangermano, M.; Wiesbrock, F. 3D-Printing of High-κ Thiol-Ene Resins with Spiro-Orthoesters as Anti-Shrinkage Additive. Macromol. Mater. Eng. 2019, 304, 1–10. [Google Scholar] [CrossRef]
- Marx, P.; Romano, A.; Fischer, R.; Roppolo, I.; Sangermano, M.; Wiesbrock, F. Dual-Cure Coatings: Spiroorthoesters as Volume-Controlling Additives in Thiol–Ene Reactions. Macromol. Mater. Eng. 2019, 304, 1–5. [Google Scholar] [CrossRef]
- Radl, S.V.; Schipfer, C.; Kaiser, S.; Moser, A.; Kaynak, B.; Kern, W.; Schlögl, S. Photo-Responsive Thiol-Ene Networks for the Design of Switchable Polymer Patterns. Polym. Chem. 2017, 8, 1562–1572. [Google Scholar] [CrossRef]
- Wenzel, R.N. Resistance of Solid Surfaces to Wetting by Water. Ind. Eng. Chem. 1936, 28, 988–994. [Google Scholar] [CrossRef]
- Kim, D.; Pugno, N.M.; Ryu, S. Wetting Theory for Small Droplets on Textured Solid Surfaces. Sci. Rep. 2016, 6, 1–8. [Google Scholar] [CrossRef]
- Rosario, R.; Gust, D.; Garcia, A.A.; Hayes, M.; Taraci, J.L.; Clement, T.; Dailey, J.W.; Picraux, S.T. Lotus Effect Amplifies Light-Induced Contact Angle Switching. J. Phys. Chem. B 2004, 108, 12640–12642. [Google Scholar] [CrossRef]
- Razza, N.; Castellino, M.; Sangermano, M. Fabrication of Janus Particles via a “Photografting-from” Method and Gold Photoreduction. J. Mater. Sci. 2017, 52, 13444–13454. [Google Scholar] [CrossRef]
- Li, L.; Deng, X.X.; Li, Z.L.; Du, F.S.; Li, Z.C. Multifunctional Photodegradable Polymers for Reactive Micropatterns. Macromolecules 2014, 47, 4660–4667. [Google Scholar] [CrossRef]
- Giebler, M.; Radl, S.; Ules, T.; Griesser, T.; Schlögl, S. Photopatternable Epoxy-Based Thermosets. Materials 2019, 12, 2350. [Google Scholar] [CrossRef] [PubMed]
- Radl, S.; Kreimer, M.; Manhart, J.; Griesser, T.; Moser, A.; Pinter, G.; Kalinka, G.; Kern, W.; Schlögl, S. Photocleavable Epoxy Based Materials. Polymer (Guildf.) 2015, 69, 159–168. [Google Scholar] [CrossRef]
- Radl, S.; Roppolo, I.; Pölzl, K.; Ast, M.; Spreitz, J.; Griesser, T.; Kern, W.; Schlögl, S.; Sangermano, M. Light Triggered Formation of Photo-Responsive Epoxy Based Networks. Polymer (Guildf.) 2017, 109, 349–357. [Google Scholar] [CrossRef]
- Sangermano, M.; Razza, N.; Crivello, J.V. Cationic UV-Curing: Technology and Applications. Macromol. Mater. Eng. 2014, 299, 775–793. [Google Scholar] [CrossRef]
- Vidil, T.; Tournilhac, F.; Musso, S.; Robisson, A.; Leibler, L. Control of Reactions and Network Structures of Epoxy Thermosets. Prog. Polym. Sci. 2016, 62, 126–179. [Google Scholar] [CrossRef]
- Crivello, J.V.; Liu, S. Photoinitiated Cationic Polymerization of Epoxy Alcohol Monomers. J. Polym. Sci. part A Polym. Chem. 2000, 38, 389–401. [Google Scholar] [CrossRef]
- Crivello, J.V.; Sangermano, M. Visible and Long-Wavelength Photoinitiated Cationic Polymerization. J. Polym. Sci. Part A Polym. Chem. 2001, 39, 343–356. [Google Scholar] [CrossRef]
- Eduok, U.; Faye, O.; Szpunar, J. Recent Developments and Applications of Protective Silicone Coatings: A Review of PDMS Functional Materials. Prog. Org. Coatings 2017, 111, 124–163. [Google Scholar] [CrossRef]
- Wolf, M.P.; Salieb-Beugelaar, G.B.; Hunziker, P. PDMS with Designer Functionalities—Properties, Modifications Strategies, and Applications. Prog. Polym. Sci. 2018, 83, 97–134. [Google Scholar] [CrossRef]
- Chen, J.; Zheng, J.; Gao, Q.; Zhang, J.; Zhang, J.; Omisore, O.M.; Wang, L.; Li, H. Polydimethylsiloxane (PDMS)-Based Flexible Resistive Strain Sensors for Wearable Applications. Appl. Sci. 2018, 8, 345. [Google Scholar] [CrossRef]
- Fujii, T. PDMS-Based Microfluidic Devices for Biomedical Applications. Microelectron. Eng. 2002, 61–62, 907–914. [Google Scholar] [CrossRef]
- Giebler, M.; Radl, S.V.; Ast, M.; Kaiser, S.; Griesser, T.; Kern, W.; Schlögl, S. Dual-Responsive Polydimethylsiloxane Networks. J. Polym. Sci. Part A Polym. Chem. 2018, 56, 2319–2329. [Google Scholar] [CrossRef]
- Pirrung, M.C.; Lee, Y.R.; Park, K.; Springer, J.B. Pentadienylnitrobenzyl and Pentadienylnitropiperonyl Photochemically Removable Protecting Groups. J. Org. Chem. 1999, 64, 5042–5047. [Google Scholar] [CrossRef]

















© 2020 by the authors. Licensee MDPI, Basel, Switzerland. This article is an open access article distributed under the terms and conditions of the Creative Commons Attribution (CC BY) license (http://creativecommons.org/licenses/by/4.0/).
Share and Cite
Romano, A.; Roppolo, I.; Rossegger, E.; Schlögl, S.; Sangermano, M. Recent Trends in Applying Ortho-Nitrobenzyl Esters for the Design of Photo-Responsive Polymer Networks. Materials 2020, 13, 2777. https://doi.org/10.3390/ma13122777
Romano A, Roppolo I, Rossegger E, Schlögl S, Sangermano M. Recent Trends in Applying Ortho-Nitrobenzyl Esters for the Design of Photo-Responsive Polymer Networks. Materials. 2020; 13(12):2777. https://doi.org/10.3390/ma13122777
Chicago/Turabian StyleRomano, Angelo, Ignazio Roppolo, Elisabeth Rossegger, Sandra Schlögl, and Marco Sangermano. 2020. "Recent Trends in Applying Ortho-Nitrobenzyl Esters for the Design of Photo-Responsive Polymer Networks" Materials 13, no. 12: 2777. https://doi.org/10.3390/ma13122777
APA StyleRomano, A., Roppolo, I., Rossegger, E., Schlögl, S., & Sangermano, M. (2020). Recent Trends in Applying Ortho-Nitrobenzyl Esters for the Design of Photo-Responsive Polymer Networks. Materials, 13(12), 2777. https://doi.org/10.3390/ma13122777

