Collapse Mechanism of Single-Layer Cylindrical Latticed Shell under Severe Earthquake
Abstract
1. Introduction
2. The Numerical Model
3. Progressive Collapse Analysis of Single-Layer Cylindrical Latticed Shell
3.1. Collapse Pattern of “Double-Diagonal Member Failure Belt”
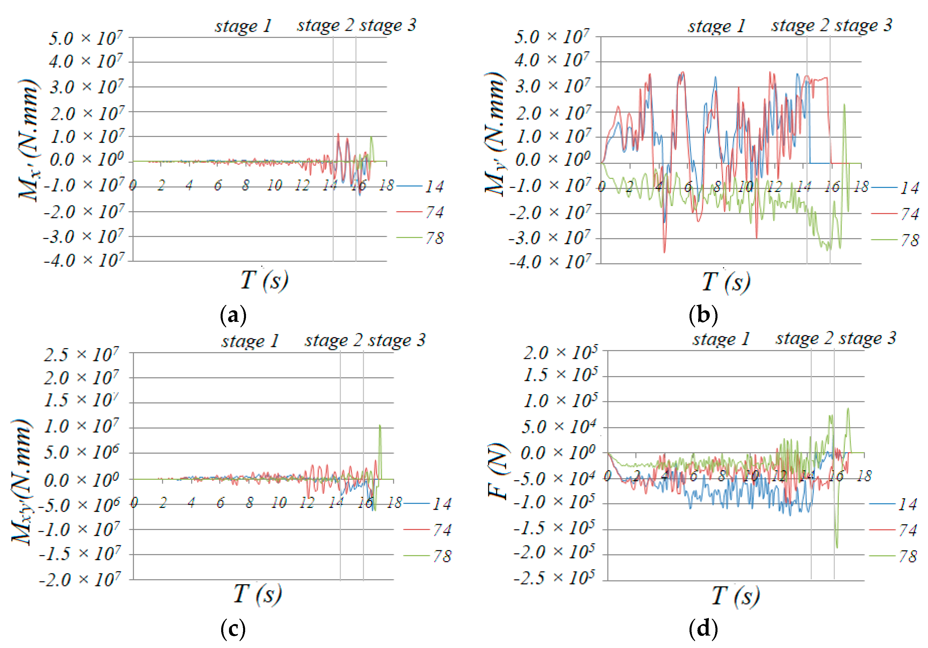
3.2. Mechanism of Progressive Collapse Process
3.3. Displacement during the Collapse Process
- At the first stage, the descent of the center of gravity is slow;
- The descent of the center of gravity speeds up from stage 1 to stage 3;
- The time to reach stage 2 or 3 is determined by the peak ground acceleration applied to the structure—the larger the PGA, the quicker it will reach stage 2 or 3;
- The time duration will determine the collapse mechanism of the dome, which is one of the dominant factors.
4. New Enhanced Schemes to Mitigate the Collapse
5. Conclusions
- A failure pattern called “double-diagonal -members-failure-belt” is discovered for this type of space structure;
- The failure pattern can be divided into three consecutive stages:
- Significant variation in the deformation in different structural zones;
- Continuously increasing internal forces;
- Damage to structural members.
Author Contributions
Funding
Conflicts of Interest
References
- American Concrete Institute (ACI). Building Code Requirements for Structural Concrete and Commentary (ACI 318m-08); American Concrete Institute (ACI): Farmington Hills, MI, USA, 2008. [Google Scholar]
- GSA (General Services Administration). Progressive Collapse Analysis and Design Guidelines for New Federal Office Buildings and Major Modernization Projects; GSA: Washington, DC, USA, 2003. [Google Scholar]
- ASCE. Minimum Design Loads for Buildings and other Structures; SEI/ASCE 10-05; ASCE: Washington, DC, USA, 2010. [Google Scholar]
- European Committee for Standardization. Eurocode 1: Actions on structures. Part 1-7: General Actions—Accidental Actions; European Committee: Brussel, Belgium, 2006. [Google Scholar]
- European Committee for Standardization. Eurocode 2: Design of Concrete Structures. Part 1-1: General Rules and Rules for Buildings; European Committee: Brussel, Belgium, 2004. [Google Scholar]
- FEMA (Federal Emergency Management Agency). World Trade Center Building Performance Study: Data Collection, Preliminary Observations, and Recommendations; FEMA 403: Washington, DC, USA, 2002. [Google Scholar]
- NIST (National Institute of Science and Technology). Final Report on the Collapse of the World Trade Center Towers; NCSTAR 1, U.S. Dept. of Commerce: Gaithersburg, MD, USA, 2005.
- McGuire, W. Prevention of Progressive Collapse. In Proceedings of the Regional Conference on Tall Buildings, Asian Institute of Technology, Bangkok, Thailand, 23–25 January 1974. [Google Scholar]
- Shimada, Y.; Matsuoka, Y.; Yamada, S.; Suita, K. Dynamic Collapse Test on 3-D Steel Frame Model. In Proceedings of the 14th World Conference on Earthquake Engineering, Beijing, China, 12–17 October 2008. [Google Scholar]
- Song, B.I.; Giriunas, K.A.; Sezen, H. Progressive collapse testing and analysis of a steel frame building. J. Constr. Steel Res. 2014, 94, 76–83. [Google Scholar] [CrossRef]
- Chen, J.L.; Peng, W.B.; Huang, X. Experimental study on progressive collapse resistance of two-storey steel moment-frame with composite slabs. J. Tongji Univ. 2012, 40, 1300–1305. [Google Scholar]
- Tsitos, A.; Mosqueda, G.; Filiatrault, A.; Reinhorn, A.M. Experimental Investigation of the Progressive Collapse of a Steel Post-Tensioned Energy Dissipating Frame. In Proceedings of the 10th Canadian Conference on Earthquake Engineering, Toronto, ON, Canada, 25–29 July 2010. [Google Scholar]
- Starossek Progressive collapse of structures: Nomenclature and procedures. Struct. Eng. Int. 2006, 16, 113–117. [CrossRef]
- Lim, J.; Krauthammer, T. Progressive collapse analyses of 2D steel-framed structures with different connection models. Eng. J. 2006, 43, 201–215. [Google Scholar]
- Yamazaki, S.; Minami, S. Progressive collapse of multi-story steel frames. J. Struc. Constr. Eng. 2010, 75, 415–423. [Google Scholar] [CrossRef][Green Version]
- O’Dwyer, D.; Janssens, V. Modelling Progressive Collapse of Structures. In Proceedings of the Civil-Comp Proceedings, 10th International Conference on Computational Structures Technology, Valencia, Spain, 4–17 September 2010; p. 93. [Google Scholar]
- Chen, X.; Xie, W.; Xiao, Y.; Chen, Y.; Li, X. Progressive Collapse Analysis of SRC Frame-RC Core Tube Hybrid Structure. Appl. Sci. 2018, 8, 2316. [Google Scholar] [CrossRef]
- Fu, F. Progressive collapse analysis of high-rise building with 3-D finite element modeling method. J. Constr. Steel Res. 2009, 65, 1269–1278. [Google Scholar] [CrossRef]
- Fu, F. Response of a multi-storey steel composite building with concentric bracing under consecutive column removal scenarios. J. Constr. Steel Res. 2012, 70, 115–126. [Google Scholar] [CrossRef]
- Gao, S.; Guo, L.; Fu, F.; Zhang, S. Capacity of semi-rigid composite joints in accommodating column loss. J. Constr. Steel Res. 2017, 139, 288–301. [Google Scholar] [CrossRef]
- Qian, K.; Liang, S.-L.; Xiong, X.-Y.; Fu, F.; Fang, Q. Quasi-static and dynamic behavior of precast concrete frames with high performance dry connections subjected to loss of a penultimate column scenario. Eng. Struct. 2020, 205, 110115. [Google Scholar] [CrossRef]
- Fu, F.; Parke, G.A.R. Assessment of the Progressive Collapse Resistance of Double-Layer Grid Space Structures Using Implicit and Explicit Methods. Int. J. Steel Struct. 2018, 18, 831–842. [Google Scholar] [CrossRef]
- Zheng, H.D.; Fan, J. Analysis of the progressive collapse of space truss structures during earthquakes based on a physical theory hysteretic model. Thin-Walled Struct. 2018, 23, 70–81. [Google Scholar] [CrossRef]
- Rashidyan, S.; Sheidaii, M. Improving double-layer space trusses collapse behavior by strengthening compression layer and weakening tension layer members. Adv. Struct. Eng. 2017, 20, 1757–1767. [Google Scholar] [CrossRef]
- Lau, D.T.; Wibowo, H. Seismic Progressive Collapse Analysis of Reinforced Concrete Bridges by Applied Element Method. In Proceedings of the 12th International Conference on Engineering, Construction, and Operations in Challenging Environments—Earth and Space, Honolulu, HI, USA, 14–17 March 2010; pp. 3019–3026. [Google Scholar]
- Miyachi, K.; Nakamura, S.; Manda, A. Progressive collapse analysis of steel truss bridges and evaluation of ductility. J. Constr. Steel Res. 2012, 78, 192–200. [Google Scholar] [CrossRef]
- Takeuchi, T.; Horiuchi, K.; Matsui, R.; Ogawa, T.; Imamura, A. Collapse mechanism of truss tower structures including buckling and fracture of tubular members. J. Struct. Constr. Eng. 2014, 79, 1309–1319. [Google Scholar] [CrossRef][Green Version]
- Ponter, A.; Chen, H.F. A programming method for limit load and shakedown analysis of structures. Press. Vessels Piping Div. PVP 2001, 430, 155–162. [Google Scholar]
- Skordeli, M.A.A.; Bisbos, C.D. Limit and shakedown analysis of 3D steel frames via approximate ellipsoidal yield surfaces. Eng. Struct. 2010, 32, 1556–1567. [Google Scholar] [CrossRef]
- Ferrari, R.; Cocchetti, G.; Rizzi, E. Computational elastoplastic Limit Analysis of the Paderno d’Adda bridge (Italy, 1889). Arch. Civ. Mech. Eng. 2018, 18, 291–310. [Google Scholar] [CrossRef]
- Xia, K.Q.; Yao, W.X.; Dong, S.L. Dynamic behavior of snap-through buckling in reticulated domes. Eng. Mech. 2002, 19, 9–13. [Google Scholar]
- Kato, S.; Mutoh, I.; Shomura, M. Collapse of semi-rigidly jointed reticulated domes with initial geometric imperfections. J. Constr. Steel Res. 1998, 48, 145–168. [Google Scholar] [CrossRef]
- Allah, A.; Abdin, E.M.; Selmy, A.I.; Khashaba, U.A. Effect of mean stress on fatigue behaviour of GFRP pultruded rod composites. Compos. Part A Appl. Sci. Manuf. 1997, 28, 87–91. [Google Scholar] [CrossRef]
- Sun, Q.; Wang, H. High Cycle Fatigue Behavior of GFRP Composite Materials Cross Arm. Jianzhu Cailiao Xuebao/J. Build. Mater. 2018, 21, 440–445. [Google Scholar]
- Hyeong, Y.K.; Young, H.P.; Young, J.Y. Short-term durability test for GFRP rods under various environmental conditions. J. Compos. Struct. 2008, 83, 37–47. [Google Scholar]
- Zhou, H.T.; Zhang, Y.G.; Fu, F.; Wu, J.Z. Progressive Collapse Analysis of Reticulated Shell under Severe Earthquake considering the Damage Accumulation Effect. J. Perform. Constr. Facil. 2018, 32, 2. [Google Scholar] [CrossRef]
- GB50011-2010 Code for Seismic Design of Buildings; Ministry of Housing and Urban.-Rural Construction of the People’s Republic of China: Beijing, China, 2010.
- GBT17395-1998. Dimensions, Shape, Masses and Tolerances of Seamless Steel Tubes; The State Bureau of Quality and Technical Supervision: Beijing, China, 1998. [Google Scholar]
























© 2020 by the authors. Licensee MDPI, Basel, Switzerland. This article is an open access article distributed under the terms and conditions of the Creative Commons Attribution (CC BY) license (http://creativecommons.org/licenses/by/4.0/).
Share and Cite
Zhou, H.; Zhang, Y.; Fu, F.; Wu, J. Collapse Mechanism of Single-Layer Cylindrical Latticed Shell under Severe Earthquake. Materials 2020, 13, 2519. https://doi.org/10.3390/ma13112519
Zhou H, Zhang Y, Fu F, Wu J. Collapse Mechanism of Single-Layer Cylindrical Latticed Shell under Severe Earthquake. Materials. 2020; 13(11):2519. https://doi.org/10.3390/ma13112519
Chicago/Turabian StyleZhou, Haitao, Yigang Zhang, Feng Fu, and Jinzhi Wu. 2020. "Collapse Mechanism of Single-Layer Cylindrical Latticed Shell under Severe Earthquake" Materials 13, no. 11: 2519. https://doi.org/10.3390/ma13112519
APA StyleZhou, H., Zhang, Y., Fu, F., & Wu, J. (2020). Collapse Mechanism of Single-Layer Cylindrical Latticed Shell under Severe Earthquake. Materials, 13(11), 2519. https://doi.org/10.3390/ma13112519

