NiO/Carbon Aerogel Microspheres with Plum-Pudding Structure as Anode Materials for Lithium Ion Batteries
Abstract
1. Introduction
2. Materials and Methods
2.1. Sample Preparation
2.2. Material Characterization
2.3. Electrochemical Measurements
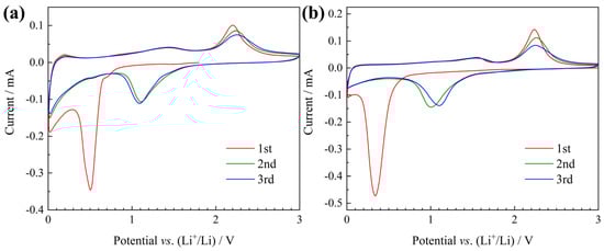
3. Results and Discussion
4. Conclusions
Author Contributions
Funding
Conflicts of Interest
References
- Poizot, P.; Laruelle, S.; Grugeon, S.; Dupont, L.; Tarascon, J.M. Nano-sized transition-metal oxides as negative-electrode materials for lithium-ion batteries. Nature 2000, 407, 496–499. [Google Scholar] [CrossRef]
- Poizot, P.; Laruelle, S.; Grugeon, S.; Tarascon, J.M. Rationalization of the low-potential reactivity of 3d-metal-based inorganic compounds toward Li. J. Electrochem. Soc. 2002, 149, A1212–A1217. [Google Scholar] [CrossRef]
- Huang, X.H.; Wu, J.B.; Guo, R.Q.; Lin, Y.; Zhang, P. Aligned nickel-cobalt oxide nanosheet arrays for lithium ion battery applications. Int. J. Hydrog. Energy 2014, 39, 21399–21404. [Google Scholar] [CrossRef]
- Huang, X.H.; Wu, J.B.; Cao, Y.Q.; Zhang, P.; Lin, Y.; Guo, R.Q. Cobalt nanosheet arrays supported silicon film as anode materials for lithium ion batteries. Electrochim. Acta 2016, 203, 213–220. [Google Scholar] [CrossRef]
- Zhong, W.W.; Huang, J.D.; Liang, S.Q.; Liu, J.; Li, Y.J.; Cai, G.M.; Jiang, Y.; Liu, J. New prelithiated V2O5 superstructure for lithium-ion batteries with long cycle life and high power. ACS Energy Lett. 2020, 5, 31–38. [Google Scholar] [CrossRef]
- Wang, L.; Gu, C.; Ge, X.; Zhang, J.; Zhu, H.; Tu, J.P. A NiCo2O4 shell on a hollow Ni nanorod array core for water splitting with enhanced electrocatalytic performance. ChemNanoMat 2018, 4, 124–131. [Google Scholar] [CrossRef]
- Shen, S.J.; Zhong, W.W.; Huang, X.H.; Lin, Y.; Wang, T.L. Ordered ZnO/Ni hollow microsphere arrays as anode materials for lithium ion batteries. Materials 2019, 12, 1193. [Google Scholar] [CrossRef] [PubMed]
- Wang, L.; Yuan, Y.F.; Zhang, T.; Chen, Q.; Guo, S.Y. Co3O4 hollow nanospheres/carbon-assembled mesoporous polyhedron with internal bubbles encapsulating TiO2 nanosphere for high-performance lithium ion batteries. Nanotechnology 2019, 30, 355401. [Google Scholar] [CrossRef] [PubMed]
- Oh, S.H.; Park, J.S.; Jo, M.S.; Kang, Y.C.; Cho, J.S. Design and synthesis of tube-in-tube structured NiO nanobelts with superior electrochemical properties for lithium-ion storage. Chem. Eng. J. 2018, 347, 889–899. [Google Scholar]
- Gu, L.L.; Xie, W.H.; Bai, S.; Liu, B.L.; Xue, S.; Li, Q.; He, D.Y. Facile fabrication of binder-free NiO electrodes with high rate capacity for lithium-ion batteries. Appl. Surf. Sci. 2016, 368, 298–302. [Google Scholar] [CrossRef]
- Jiang, T.C.; Bu, F.X.; Feng, X.X.; Shakir, I.; Hao, G.L.; Xu, Y.X. Porous Fe2O3 nanoframeworks encapsulated within three-dimensional graphene as high-performance flexible anode for lithium-ion battery. ACS Nano 2017, 11, 5140–5147. [Google Scholar] [CrossRef] [PubMed]
- Wu, K.; Geng, B.J.; Zhang, C.; Shen, W.W.; Yang, D.W.; Li, Z.; Yang, Z.B.; Pan, D.Y. Hierarchical porous arrays of mesoporous Co3O4 nanosheets grown on graphene skin for high-rate and high-capacity energy storage. J. Alloy. Compd. 2020, 820, 153296. [Google Scholar] [CrossRef]
- Bai, Z.C.; Ju, Z.C.; Guo, C.L.; Qian, Y.T.; Tang, B.; Xiong, S.L. Direct large-scale synthesis of 3D hierarchical mesoporous NiO microspheres as high-performance anode materials for lithium ion batteries. Nanoscale 2014, 6, 3268–3273. [Google Scholar] [CrossRef] [PubMed]
- Han, W.J.; Qin, X.Y.; Wu, J.X.; Li, Q.; Liu, M.; Xia, Y.; Du, H.D.; Li, B.H.; Kang, F.Y. Electrosprayed porous Fe3O4/carbon microspheres as anode materials for high-performance lithium-ion batteries. Nano Res. 2018, 11, 892–904. [Google Scholar] [CrossRef]
- Lv, P.P.; Zhao, H.L.; Zeng, Z.P.; Gao, C.H.; Liu, X.; Zhang, T.H. Self-assembled three-dimensional hierarchical NiO nano/microspheres as high-performance anode material for lithium ion batteries. App. Surf. Sci. 2015, 329, 301–305. [Google Scholar] [CrossRef]
- Li, J.B.; Yan, D.; Hou, S.J.; Lu, T.; Yao, Y.F.; Chua, D.H.C.; Pan, L.K. Metal-organic frameworks derived yolk-shell ZnO/NiO microspheres as high-performance anode materials for lithium-ion batteries. Chem. Eng. J. 2018, 335, 579–589. [Google Scholar] [CrossRef]
- Tian, J.Y.; Shao, Q.; Dong, X.J.; Zheng, J.L.; Pan, D.; Zhang, X.Y.; Cao, H.L.; Hao, L.H.; Liu, J.R.; Mai, X.M.; et al. Bio-template synthesized NiO/C hollow microspheres with enhanced Li-ion battery electrochemical performance. Electrochim. Acta 2017, 261, 236–245. [Google Scholar] [CrossRef]
- Mao, Y.Q.; Shen, X.Y.; Wu, Z.H.; Zhu, L.P.; Liao, G.H. Preparation of Co3O4 hollow microspheres by recycling spent lithium-ion batteries and their application in electrochemical supercapacitors. J. Alloy. Compd. 2020, 816, 152604. [Google Scholar] [CrossRef]
- Wang, B.B.; Wang, G.; Cheng, X.M.; Wang, H. Synthesis and electrochemical investigation of core-shell ultrathin NiO nanosheets grown on hollow carbon microspheres composite for high performance lithium and sodium ion batteries. Chem. Eng. J. 2016, 306, 1193–1202. [Google Scholar] [CrossRef]
- Li, G.M.; Li, Y.; Chen, J.; Zhao, P.P.; Li, D.G.; Dong, Y.H.; Zhang, L.P. Synthesis and research of egg shell-yolk NiO/C porous composites as lithium-ion battery anode material. Electrochim. Acta 2017, 245, 941–948. [Google Scholar] [CrossRef]
- Wang, X.H.; Wang, J.Y.; Chen, Z.H.; Yang, K.; Zhang, Z.X.; Shi, Z.X.; Mei, T.; Qian, J.W.; Li, J.H.; Wang, X.B. Yolk-double shell Fe3O4@C@C composite as high-performance anode materials for lithium-ion batteries. J. Alloys Compd. 2020, 822, 153656. [Google Scholar] [CrossRef]
- Bell, J.; Ye, R.; Ahmed, K.; Liu, C.; Ozkan, M.; Ozkan, C.S. Free-standing Ni-NiO nanofiber cloth anode for high capacity and high rate Li-ion batteries. Nano Energy 2015, 18, 47–56. [Google Scholar] [CrossRef]
- Zhang, C.W.; Song, Y.; Xu, L.B.; Yin, F.X. In situ encapsulation of Co/Co3O4 nanoparticles in nitrogen-doped hierarchically ordered porous carbon as high performance anode for lithium-ion batteries. Chem. Eng. J. 2020, 380, 122545. [Google Scholar] [CrossRef]
- Xu, J.; Zhang, W.X.; Chen, Y.; Fan, H.B.; Su, D.W.; Wang, G.X. MOF-derived porous N-Co3O4@N-C nanododecahedral wrapped with reduced graphene oxide as high capacity cathodes for lithium-sulfur batteries. J. Mater. Chem. A 2018, 6, 2729–2807. [Google Scholar]
- Shi, W.P.; Zhang, Y.M.; Key, J.L.; Shen, P.K. Three-dimensional graphene sheets with NiO nanobelt outgrowths for enhanced capacity and long term high rate cycling Li-ion battery anode material. J. Power Sources 2018, 379, 362–370. [Google Scholar] [CrossRef]
- Chen, X.L.; Xiao, T.; Wang, S.L.; Li, J.; Xiang, P.; Jiang, L.H.; Tan, X.Y. Superior Li-ion storage performance of graphene decorated NiO nanowalls on Ni as anode for lithium ion batteries. Mater. Chem. Phys. 2019, 222, 31–36. [Google Scholar] [CrossRef]
- Elkhatat, A.M.; Al-Muhtaseb, S.A. Advances in tailoring resorcinol-formaldehyde organic and carbon gels. Adv. Mater. 2011, 23, 2887–2903. [Google Scholar] [CrossRef]
- Leventis, N.; Chandrasekaran, N.; Sadekar, A.G.; Mulik, S.; Sotiriou-Leventis, C. The effect of compactness on the carbothermal conversion of interpenetrating metal oxide/resorcinol-formaldehyde nanoparticle networks to porous metals and carbides. J. Mater. Chem. 2010, 20, 7456–7471. [Google Scholar] [CrossRef]
- Yang, X.Q.; Huang, H.; Zhang, G.Q.; Li, X.X.; Wu, D.C.; Fu, R.W. Carbon aerogel with 3-D continuous skeleton and mesopore structure for lithium-ion batteries application. Mater. Chem. Phys. 2015, 149, 657–662. [Google Scholar] [CrossRef]
- Liu, N.P.; Shen, J.; Liu, D. A Fe2O3 nanoparticle/carbon aerogel composite for use as an anode material for lithium ion batteries. Electrochim. Acta 2013, 97, 271–277. [Google Scholar] [CrossRef]
- Hao, F.B.; Zhang, Z.W.; Yin, L.W. Co3O4/carbon aerogel hybrids as anode materials for lithium-ion batteries with enhanced electrochemical properties. ACS Appl. Mater. Interfaces 2013, 5, 8337–8344. [Google Scholar] [CrossRef] [PubMed]
- Khodabakhshi, S.; Fulvio, P.F.; Andreoli, E. Carbon black reborn: Structure and chemistry for renewable energy harnessing. Carbon 2020, 162, 604–649. [Google Scholar] [CrossRef]
- Pan, Y.; Zeng, W.J.; Hu, R.; Li, B.; Wang, G.L.; Li, Q.T. Investigation of Cu doped flake-NiO as an anode material for lithium ion batteries. RSC Adv. 2019, 9, 35948–35956. [Google Scholar] [CrossRef]
- Qiu, Y.; Huang, H.; Song, W.L.; Gan, Y.P.; Wang, K.; Zhang, J.; Xia, Y.; Liang, C.; He, X.P.; Zhang, W.K. In-situ electrolytic synthesis and superior lithium storage capability of Ni-NiO/C nanocomposite by sacrificial nickel anode in molten carbonates. J. Alloy. Compd. 2020, 834, 155111. [Google Scholar] [CrossRef]
- Li, X.J.; Fan, L.L.; Li, X.F.; Shan, H.; Chen, C.; Yan, B.; Xiong, D.B.; Li, D.J. Enhanced anode performance of flower-like NiO/RGO nanocomposites for lithium-ion batteries. Mater. Chem. Phys. 2018, 217, 547–552. [Google Scholar] [CrossRef]
- Wu, H.J.; Wang, Y.Q.; Zheng, C.H.; Zhu, J.M.; Wu, G.L.; Li, X.H. Multi-shelled NiO hollow spheres: Easy hydrothermal synthesis and lithium storage performances. J. Alloy. Compd. 2016, 685, 8–14. [Google Scholar] [CrossRef]
- Pang, H.C.; Guan, B.Q.; Sun, W.W.; Wang, Y. Metal-organic-frameworks derivation of mesoporous NiO nanorod for high-performance lithium ion batteries. Electrochim. Acta 2016, 213, 351–357. [Google Scholar] [CrossRef]










| Material | Initial Reversible Capacity mAh g−1 | Capacity Retention % (Nth) | Current Density mA g−1 | Reference |
|---|---|---|---|---|
| NiO nano/microspheres | 735 | 96 (100) | 100 | [15] |
| NiO/C hollow microspheres | 760 | 83 (100) | 100 | [17] |
| Cu-doped NiO nanoflakes | 1108.9 | 59 (50) | 100 | [33] |
| Ni−NiO/C nanocomposite | 914.11 | 70 (300) | 100 | [34] |
| NiO/rGO nanoflowers | 996.9 | 70 (100) | 100 | [35] |
| NiO double-shelled hollow spheres | 964.3 | 14 (100) | 200 | [36] |
| NiO mesoporous nanorods | 737 | 39 (100) | 100 | [37] |
| NiO/C aerogel microspheres | 808 | 85 (100) | 100 | This work |
© 2020 by the authors. Licensee MDPI, Basel, Switzerland. This article is an open access article distributed under the terms and conditions of the Creative Commons Attribution (CC BY) license (http://creativecommons.org/licenses/by/4.0/).
Share and Cite
Guo, R.; Huang, X.; Lin, Y.; Cao, Y. NiO/Carbon Aerogel Microspheres with Plum-Pudding Structure as Anode Materials for Lithium Ion Batteries. Materials 2020, 13, 2363. https://doi.org/10.3390/ma13102363
Guo R, Huang X, Lin Y, Cao Y. NiO/Carbon Aerogel Microspheres with Plum-Pudding Structure as Anode Materials for Lithium Ion Batteries. Materials. 2020; 13(10):2363. https://doi.org/10.3390/ma13102363
Chicago/Turabian StyleGuo, Renqing, Xiaohua Huang, Yan Lin, and Yiqi Cao. 2020. "NiO/Carbon Aerogel Microspheres with Plum-Pudding Structure as Anode Materials for Lithium Ion Batteries" Materials 13, no. 10: 2363. https://doi.org/10.3390/ma13102363
APA StyleGuo, R., Huang, X., Lin, Y., & Cao, Y. (2020). NiO/Carbon Aerogel Microspheres with Plum-Pudding Structure as Anode Materials for Lithium Ion Batteries. Materials, 13(10), 2363. https://doi.org/10.3390/ma13102363

