Co-Substitution Effect in Room-Temperature Ferromagnetic Oxide Sr3.1Y0.9Co4O10.5
Abstract
1. Introduction
2. Experimental
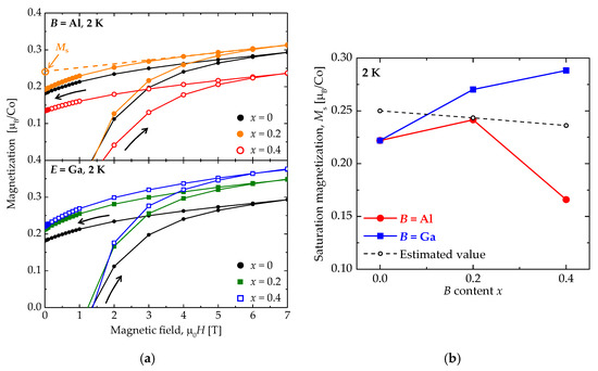
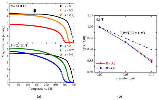
3. Results and Discussion
4. Conclusions
Author Contributions
Funding
Conflicts of Interest
References
- Terasaki, I.; Sasago, Y.; Uchinokura, K. Large thermoelectric power in NaCo2O4 single crystals. Phys. Rev. B 1997, 56, R12685. [Google Scholar] [CrossRef]
- Koshibae, W.; Tsutsui, K.; Maekawa, S. Thermopower in cobalt oxides. Phys. Rev. B 2000, 62, 6869–6872. [Google Scholar] [CrossRef]
- Funahashi, R.; Matsubara, I.; Ikuma, H.; Takeuchi, T.; Mizutani, U.; Sodeoka, S. An Oxide Single Crystal with High Thermoelectric Performance in Air. Jpn. J. Appl. Phys. 2000, 39, L1127–L1129. [Google Scholar] [CrossRef]
- Shikano, M.; Funahashi, R. Electrical and thermal properties of single-crystalline (Ca2CoO3)0.7CoO2 with a Ca3Co4O9 structure. Appl. Phys. Lett. 2003, 82, 1851. [Google Scholar] [CrossRef]
- Pérez, J.; García, J.; Blasco, J.; Stankiewicz, J. Spin-Glass Behavior and Giant Magnetoresistance in the (RE)Ni0.3Co0.7O3 (RE=La,Nd,Sm) System. Phys. Rev. Lett. 1998, 80, 2401. [Google Scholar] [CrossRef]
- Troyanchuk, I.O.; Kasper, N.V.; Khalyavin, D.D.; Szymczak, H.; Szymczak, R.; Baran, M. Phase Transitions in the Gd0.5Ba0.5CoO3 Perovskite. Phys. Rev. Lett. 1998, 80, 3380. [Google Scholar] [CrossRef]
- Taskin, A.A.; Lavrov, A.N.; Yoichi, A. Ising-Like Spin Anisotropy and Competing Antiferromagnetic-Ferromagnetic Orders in GdBaCo2O5.5 Single Crystals. Phys. Rev. Lett. 2003, 90, 227201. [Google Scholar] [CrossRef]
- Raccah, P.M.; Goodenough, J.B. First-Order Localized-Electron Collective-Electron Transition in LaCoO3. Phy. Rev. 1967, 155, 932. [Google Scholar] [CrossRef]
- Asai, K.; Yokokura, O.; Nishimori, N.; Chou, H.; Tranquada, J.M.; Shirane, G.; Higuchi, S.; Okajima, Y.; Kohn, K. Neutron-scattering study of the spin-state transition and magnetic correlations in La1−xSrxCoO3 (x = 0 and 0.08). Phys. Rev. B 1994, 50, 3025. [Google Scholar] [CrossRef]
- Korotin, M.A.; Ezhov, S.Y.; Solovyev, I.V.; Anisimov, V.I.; Khomskii, D.I.; Sawatzky, G.A. Intermediate-spin state and properties of LaCoO3. Phys. Rev. B 1996, 54, 5309. [Google Scholar] [CrossRef]
- Asai, K.; Yoneda, A.; Yokokura, O.; Tranquada, J.M.; Shirane, G.; Kohn, K. Two Spin-State Transitions in LaCoO3. J. Phys. Soc. Jpn. 1998, 67, 290–296. [Google Scholar] [CrossRef]
- Knížek, K.; Novák, P.; Jirák, Z. Spin state of LaCoO3: Dependence on CoO6 octahedra geometry. Phys. Rev. B 2005, 71, 054420. [Google Scholar] [CrossRef]
- Tomiyasu, K.; Okamoto, J.; Huang, H.Y.; Chen, Z.Y.; Sinaga, E.P.; Wu, W.B.; Chu, Y.Y.; Singh, A.; Wang, R.-P.; de Groot, F.M.F.; et al. Coulomb Correlations Intertwined with Spin and Orbital Excitations in LaCoO3. Phys. Rev. Lett. 2017, 119, 196402. [Google Scholar] [CrossRef] [PubMed]
- Kobayashi, W.; Ishiwata, S.; Terasaki, I.; Takano, M.; Grigoraviciute, I.; Yamauchi, H.; Karppinen, M. Room-temperature ferromagnetism in Sr1−xYxCoO3−δ (0.2 ≤ x ≤ 0.25). Phys. Rev. B 2005, 72, 104408. [Google Scholar] [CrossRef]
- Kobayashi, W.; Terasaki, I. Room Temperature Ferromagnetism in a Sr0.75Y0.25CoO2.64 Single Crystal. AIP Conf. Proc. 2006, 850, 1223. [Google Scholar] [CrossRef]
- Withers, R.L.; James, M.; Goossens, D.J. Atomic ordering in the doped rare earth cobaltates Ln0.33Sr0.67CoO3−δ (Ln = Y3+, Ho3+ and Dy3+). J. Solid State Chem. 2003, 174, 198–208. [Google Scholar] [CrossRef]
- Istomin, S.Y.; Grins, J.; Svensson, G.; Drozhzhin, O.A.; Kozhevnikov, V.L.; Antipov, E.V.; Attfield, J.P. Crystal Structure of the Novel Complex Cobalt Oxide Sr0.7Y0.3CoO2.62. Chem. Mater. 2003, 15, 4012–4020. [Google Scholar] [CrossRef]
- Istomin, S.Y.; Drozhzhin, O.A.; Svensson, G.; Antipov, E.V. Synthesis and characterization of Sr1−xLnxCoO3−δ, Ln = Y, Sm–Tm, 0.1 ⩽ x ⩽ 0.5. Solid State Sci. 2004, 6, 539–546. [Google Scholar] [CrossRef]
- Sheptyakov, D.V.; Pomjakushin, V.Y.; Drozhzhin, O.A.; Istomin, S.Y.; Antipov, E.V.; Bobrikov, I.A.; Balagurov, A.M. Correlation of chemical coordination and magnetic ordering in Sr3YCo4O10.5+δ (δ = 0.02 and 0.26). Phys. Rev. B 2009, 80, 024409. [Google Scholar] [CrossRef]
- Ishiwata, S.; Kobayashi, W.; Terasaki, I.; Kato, K.; Takata, M. Structure-property relationship in the ordered-perovskite-related oxide Sr3.12Er0.88Co4O10.5. Phys. Rev. B 2007, 75, 220406(R). [Google Scholar] [CrossRef]
- Nakao, H.; Murata, T.; Bizen, D.; Murakami, Y.; Ohoyama, K.; Yamada, K.; Ishiwata, S.; Kobayashi, W.; Terasaki, I. Orbital Ordering of Intermediate-Spin State of Co3+ in Sr3YCo4O10.5. J. Phys. Soc. Jpn. 2011, 80, 023711. [Google Scholar] [CrossRef]
- Nakao, A.; Nakao, H.; Ohoyama, K.; Torii, S.; Zhang, J.; Kamiyama, T.; Murakami, Y.; Kobayashi, W.; Terasaki, I. Magnetic and Crystal Structures of the Room Temperature Ferrimagnet Sr3YCo4O10.5. JPS Conf. Proc. 2015, 8, 034010. [Google Scholar] [CrossRef]
- Golosova, N.O.; Kozlenko, D.P.; Dubrovinsky, L.S.; Drozhzhin, O.A.; Istomin, S.Y.; Savenko, B.N. Spin state and magnetic transformations in Sr0.7Y0.3CoO2.62 at high pressures. Phys. Rev. B 2009, 79, 104431. [Google Scholar] [CrossRef]
- Takahashi, H.; Ishiwata, S.; Okazaki, R.; Yasui, Y.; Terasaki, I. Enhanced thermopower via spin-state modification. Phys. Rev. B 2018, 98, 024405. [Google Scholar] [CrossRef]
- Yoshida, S.; Kobayashi, W.; Nakano, T.; Terasaki, I.; Matsubayashi, K.; Uwatoko, Y.; Grigoraviciute, I.; Karppinen, M.; Yamauchi, H. Chemical and Physical Pressure Effects on the Magnetic and Transport Properties of the A-Site Ordered Perovskite Sr3YCo4O10.5. J. Phys. Soc. Jpn. 2009, 78, 094711. [Google Scholar] [CrossRef]
- Khalyavin, D.D.; Chapon, L.C.; Suard, E.; Parker, J.E.; Thompson, S.P.; Yaremchenko, A.A.; Kharton, V.V. Complex room-temperature ferrimagnetism induced by zigzag stripes of oxygen vacancies in Sr3YCo4O10+δ. Phys. Rev. B 2011, 83, 140403(R). [Google Scholar] [CrossRef]
- Troyanchuk, I.O.; Bushinsky, M.V.; Dobryanskii, V.M.; Pushkarev, N.V. First-order magnetic phase transition in layered Sr3YCo4O10.5+δ-type cobaltites. JETP Lett. 2012, 94, 849–852. [Google Scholar] [CrossRef]
- Rupasov, D.; Makarenko, T.; Jacobson, A.J. Oxygen diffusion in Sr3YCo4O10.5: An electrical conductivity relaxation and thermogravimetric analysis approach. Solid State Ionics 2014, 265, 68–72. [Google Scholar] [CrossRef][Green Version]
- Marik, S.; Mohanty, P.; Singh, D.; Singh, R.P. Moderate magnetic field induced large exchange bias effect in ferrimagnetic 314—Sr3YCo4O10.5 material. J. Phys. D Appl. Phys. 2018, 51, 065006. [Google Scholar] [CrossRef]
- Troyanchuk, I.O.; Bushinsky, M.V.; Tereshko, N.V.; Lanovsky, R.A.; Sikolenko, V.V.; Ritter, C.; Orlov, Y.S.; Ovchinnikov, S.G. Ferromagnet-antiferromagnet transition in layered perovskites of Sr3YCo4O10.5 type. Mater. Res. Express 2019, 6, 026105. [Google Scholar] [CrossRef]
- James, M.; Cassidy, D.; Goossens, D.J.; Wirhers, R.L. The phase diagram and tetragonal superstructures of the rare earth cobaltate phases Ln1−xSrxCoO3−δ (Ln = La3+, Pr3+, Nd3+, Sm3+, Gd3+, Y3+, Ho3+, Dy3+, Er3+, Tm3+ and Yb3+). J. Solid State Chem. 2004, 177, 1886–1895. [Google Scholar] [CrossRef]
- Nong, N.V.; Yanagiya, S.; Monica, S.; Pryds, N.; Ohtaki, M. High-Temperature Thermoelectric and Microstructural Characteristics of Cobalt-Based Oxides with Ga Substituted on the Co-Site. J. Electron. Mater. 2011, 40, 716–722. [Google Scholar] [CrossRef][Green Version]
- Shannon, R.D. Revised effective ionic radii and systematic studies of interatomic distances in halides and chalcogenides. Acta Cryst. 1976, A32, 751–767. [Google Scholar] [CrossRef]
- Radaelli, P.G.; Cheong, S.-W. Structural phenomena associated with the spin-state transition in LaCoO3. Phys. Rev. B 2018, 66, 094408. [Google Scholar] [CrossRef]




© 2020 by the authors. Licensee MDPI, Basel, Switzerland. This article is an open access article distributed under the terms and conditions of the Creative Commons Attribution (CC BY) license (http://creativecommons.org/licenses/by/4.0/).
Share and Cite
Tsuruta, A.; Kawasaki, S.; Mikami, M.; Kinemuchi, Y.; Masuda, Y.; Fujita, A.; Terasaki, I. Co-Substitution Effect in Room-Temperature Ferromagnetic Oxide Sr3.1Y0.9Co4O10.5. Materials 2020, 13, 2301. https://doi.org/10.3390/ma13102301
Tsuruta A, Kawasaki S, Mikami M, Kinemuchi Y, Masuda Y, Fujita A, Terasaki I. Co-Substitution Effect in Room-Temperature Ferromagnetic Oxide Sr3.1Y0.9Co4O10.5. Materials. 2020; 13(10):2301. https://doi.org/10.3390/ma13102301
Chicago/Turabian StyleTsuruta, Akihiro, Shuji Kawasaki, Masashi Mikami, Yoshiaki Kinemuchi, Yoshitake Masuda, Asaya Fujita, and Ichiro Terasaki. 2020. "Co-Substitution Effect in Room-Temperature Ferromagnetic Oxide Sr3.1Y0.9Co4O10.5" Materials 13, no. 10: 2301. https://doi.org/10.3390/ma13102301
APA StyleTsuruta, A., Kawasaki, S., Mikami, M., Kinemuchi, Y., Masuda, Y., Fujita, A., & Terasaki, I. (2020). Co-Substitution Effect in Room-Temperature Ferromagnetic Oxide Sr3.1Y0.9Co4O10.5. Materials, 13(10), 2301. https://doi.org/10.3390/ma13102301

