Fatigue Crack Growth Behaviour of Precipitate-Strengthened CuNi2Si Alloy under Different Loading Modes
Abstract
1. Introduction
2. Materials and Tests
2.1. Materials
2.2. Fatigue Tests
3. Results and Discussion
3.1. Replica Film Observation
3.2. Fracture Analysis
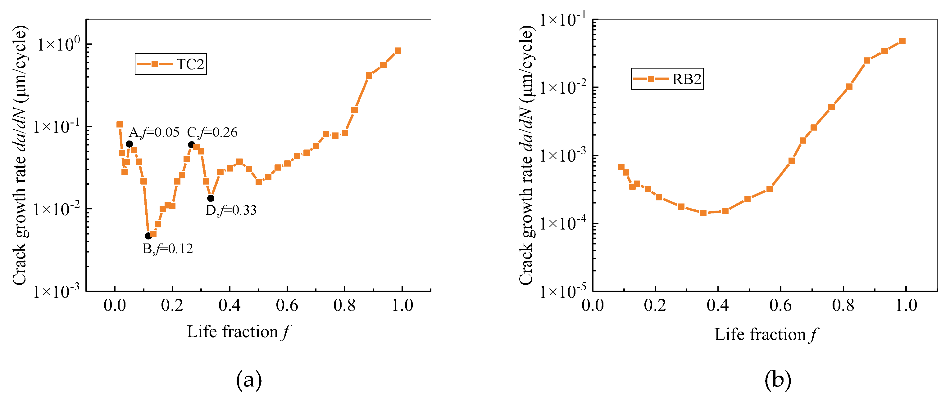
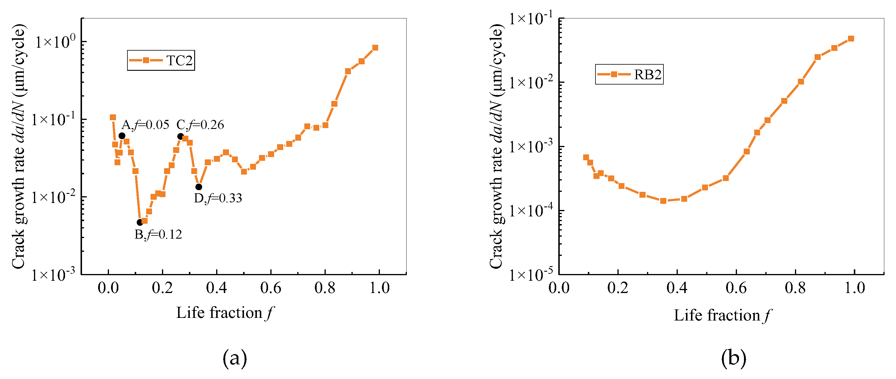
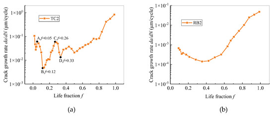
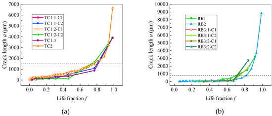
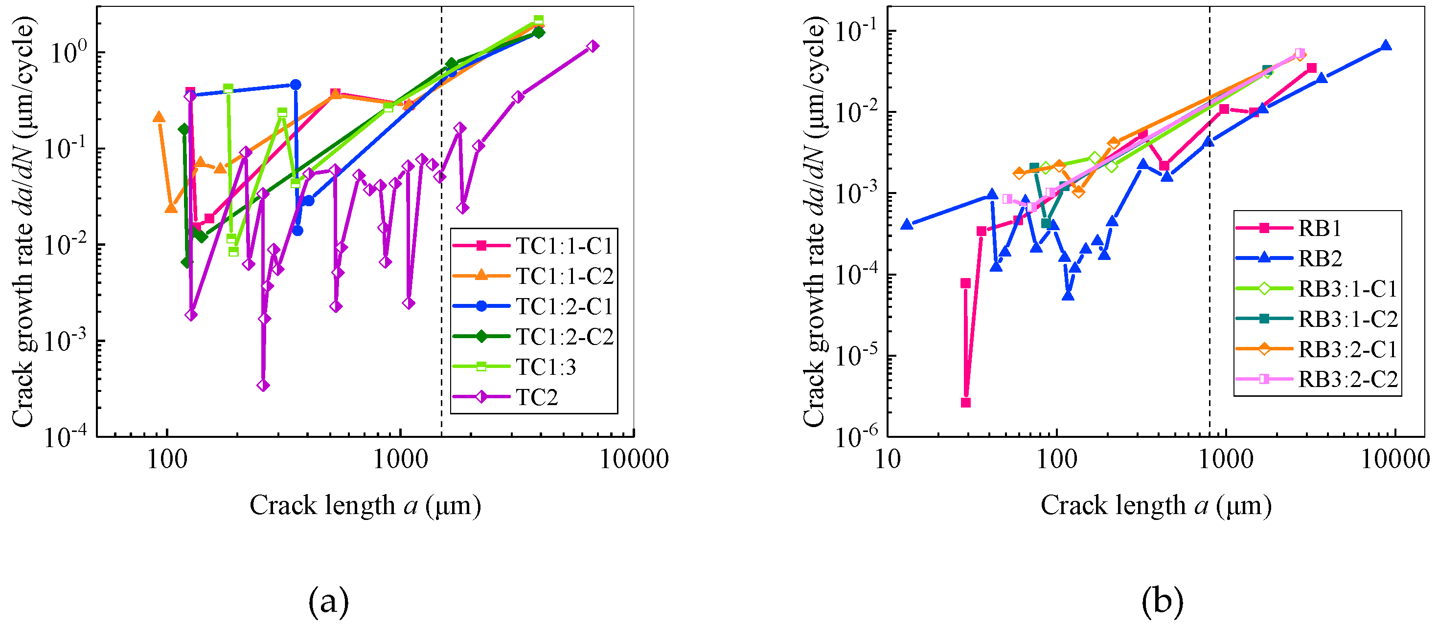
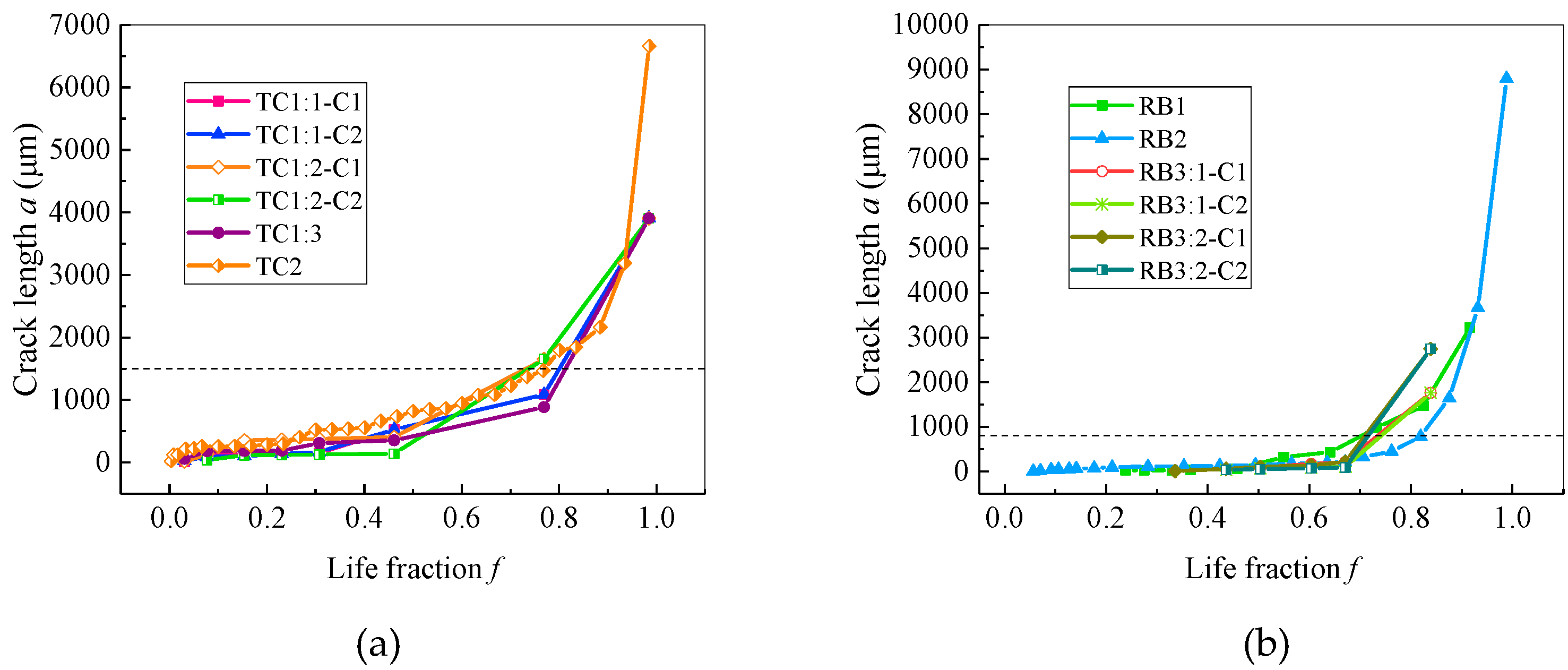
3.3. Crack Propagation Behaviour
3.4. Discussion
4. Conclusions
- Under the two types of loading, fatigue cracks exhibit slow growth and rapid expansion. Before the point at which the life fraction is equal to 0.8, the crack length and crack growth rate are at low levels. However, the expansion rate of tensile and compression specimens is an order of magnitude greater than that of rotational-bending specimens. In this study, the average life of tensile and compression specimens is 30,000 cycles, which is significantly lower than the 750,000 cycles of rotational-bending specimens.
- For the tests carried out in this study, the critical crack sizes of the tensile-compression and rotational-bending samples are 1500 and 800 μm, respectively. When the crack length is less than the critical crack size, the crack growth rate of the two does not increase with the increase in the crack length. In contrast, both samples display a large fluctuation, but when the crack size is larger than the critical crack size, the crack growth rate increases almost as the crack length increases.
- For both the TC and RB specimens, the cracks basically propagate along the boundaries and indicate an intergranular fracture mode.
Author Contributions
Funding
Acknowledgments
Conflicts of Interest
References
- Yang, B.; Wu, M.Z.; Li, X.; Zhang, J.W.; Wang, H.Q. Effects of cold working and corrosion on fatigue properties and fracture behaviors of precipitate strengthened Cu-Ni-Si alloy. Int. J. Fatigue 2018, 116, 118–127. [Google Scholar] [CrossRef]
- Jia, L.; Lin, X.; Xie, H.; Lu, Z.L.; Wang, X. Abnormal improvement on electrical conductivity of Cu-Ni-Si alloys resulting from semi-solid isothermal treatment. Mater. Lett. 2012, 77, 107–109. [Google Scholar] [CrossRef]
- Wang, H.Q.; Wu, M.Z.; Zhang, J.W.; Lu, L.T. On the effect of precooling deformation on fatigue performance and failure behaviour of Cu-Ni-Si alloy. J. Exp. Mech. 2018, 33, 877–884. [Google Scholar]
- Pang, S.; Li, X. The research development of Cu-Ni-Si lead frame materials for mobile phone fast charging connector. Spec. Cast. Nonferrous Alloys 2017, 37, 1154–1157. [Google Scholar]
- Zhang, J.W.; Li, X.; Yang, B.; Wang, H.Q.; Zhang, J.X. Effect of micro-shot peening on fatigue properties of precipitate strengthened Cu-Ni-Si alloy in air and in salt atmosphere. Surf. Coat. Technol. 2019, 359, 16–23. [Google Scholar] [CrossRef]
- Gholami, M.; Vesely, J.; Altenberger, I.; Kuhn, H.-A.; Wollmann, M.; Janecek, M.; Wagner, L. Influence of grain size and precipitation hardening on high cycle fatigue performance of CuNiSi alloys. Mater. Sci. Eng. A 2017, 684, 524–533. [Google Scholar] [CrossRef]
- Gholami, M.; Vesely, J.; Altenberger, I.; Kuhn, H.-A.; Janecek, M.; Wollmann, M.; Wagner, L. Effects of microstructure on mechanical properties of CuNiSi alloys. J. Alloys Compd. 2017, 696, 201–212. [Google Scholar] [CrossRef]
- Atapek, Ş.H.; Pantelakis, S.G.; Polat, Ş.; Chamos, A.N.; Aktaş, G. Fractographical analysis of fatigue failed Cu-2.55Ni-0.55Si alloy. Theor. Appl. Fract. Mech. 2016, 83, 60–66. [Google Scholar] [CrossRef]
- Goto, M.; Han, S.Z.; Lim, S.H.; Kitamura, J.; Fujimura, T.; Ahn, J.-H.; Yamamoto, T.; Kim, S.; Lee, J. Role of microstructure on initiation and propagation of fatigue cracks in precipitate strengthened Cu-Ni-Si alloy. Int. J. Fatigue 2016, 87, 15–21. [Google Scholar] [CrossRef]
- Goto, M.; Yamamoto, T.; Han, S.Z.; Lim, S.H.; Kim, S.; Iwamura, T.; Kitamura, J.; Ahn, J.-H.; Yakushiji, T.; Lee, J. Microstructure-dependent fatigue behavior of aged Cu-6Ni-1.5Si alloy with discontinuous/cellular precipitates. Mater. Sci. Eng. A 2019, 747, 63–72. [Google Scholar] [CrossRef]
- Goto, M.; Iwamura, T.; Han, S.Z.; Kim, S.; Yamamoto, T.; Lim, S.H.; Ahn, J.-H.; Kitamura, J.; Lee, J. Fatigue crack initiation and propagation behaviors of solution-treated and air-cooled Cu-6Ni-1.5Si alloy strengthened by precipitation hardening. Int. J. Fatigue 2019, 123, 135–143. [Google Scholar] [CrossRef]
- Li, R.H.; Zhang, P.; Zhang, Z.F. Fatigue cracking and fracture behaviors of coarse-grained copper under cyclic tension-compression and torsion loadings. Mater. Sci. Eng. A 2013, 574, 113–122. [Google Scholar] [CrossRef]
- Yang, B.; Liao, Z.; Xiao, S.N.; Yang, G.W.; Zhu, T. Study on short fatigue crack behaviour of LZ50 steel under non-proportional loading. Materials 2020, 13, 294. [Google Scholar] [CrossRef]
- Liao, Z.; Yang, B.; Qin, Y.H.; Xiao, S.N.; Yang, G.W.; Zhu, T.; Gao, N. Short fatigue crack behaviour of LZ50 railway axle steel under multi-axial loading in low-cycle fatigue. Int. J. Fatigue 2020, 132, 105366. [Google Scholar] [CrossRef]
- Yang, B.; Liao, Z.; Dai, S.; Qin, Y.H.; Wang, M.M.; Zhang, X.; Xiao, S.N.; Yang, G.W.; Zhu, T. Short fatigue crack behavior of carbon structural steel under tension–torsion loading. Int. J. Mod. Phys. B 2019, 33, 745–751. [Google Scholar] [CrossRef]
- Hannemann, R.; Köster, P.; Sander, M. Fatigue crack growth in wheelset axles under bending and torsional loading. Int. J. Fatigue 2019, 118, 262–270. [Google Scholar] [CrossRef]
- Branco, R.; Costa, J.D.; Antunes, F.V. Fatigue behaviour and life prediction of lateral notched round bars under bending–torsion loading. Eng. Fract. Mech. 2014, 119, 66–84. [Google Scholar] [CrossRef]
- Rozumek, D.; Faszynka, S. Surface cracks growth in aluminum alloy AW-2017A-T4 under combined loadings. Eng. Fract. Mech. 2020, 226, 106896. [Google Scholar] [CrossRef]
- da Fonte, M.; Reis, L.; de Freitas, M. Fatigue crack growth under rotating bending loading on aluminium alloy 7075-T6 and the effect of a steady torsion. Theor. Appl. Fract. Mech. 2015, 80, 57–64. [Google Scholar] [CrossRef]
- Singh, A.K.; Datta, S.; Chattopadhyay, A.; Riddick, J.C.; Hall, A.J. Fatigue crack initiation and propagation behavior in Al–7075 alloy under in-phase bending-torsion loading. Int. J. Fatigue 2019, 126, 346–356. [Google Scholar] [CrossRef]
- Chaves, V.; Beretta, G.; Balbín, J.A.; Navarro, A. Fatigue life and crack growth direction in 7075-T6 aluminium alloy specimens with a circular hole under biaxial loading. Int. J. Fatigue 2019, 125, 222–236. [Google Scholar] [CrossRef]
- Wu, Y.Y. Comparison of Short Fatigue Crack behavior for Axle Steel under Two Different Loading Types. Master’s Thesis, Southwest Jiaotong University, Chengdu, China, 2017. [Google Scholar]
- Yang, B.; Zhao, Y.X. Experimental research on dominant effective short fatigue crack behavior for railway LZ50 axle steel. Int. J. Fatigue 2012, 35, 71–78. [Google Scholar] [CrossRef]
- Jordon, J.B.; Bernard, J.D.; Newman Jr, J.C. Quantifying microstructurally small fatigue crack growth in an aluminum alloy using a silicon-rubber replica method. Int. J. Fatigue 2012, 36, 206–210. [Google Scholar] [CrossRef]
- Zhu, X.M.; Gong, C.Y.; Jia, Y.F.; Wang, R.Z.; Zhang, C.C.; Fu, Y.; Tu, S.T.; Zhang, X.C. Influence of grain size on the small fatigue crack initiation and propagation behaviors of a nickel-based superalloy at 650 °C. J. Mater. Sci. Technol. 2019, 35, 1607–1617. [Google Scholar] [CrossRef]
- Jia, F.Y.; Huo, L.X.; Zhang, Y.F.; Jing, H.Y.; Yang, X.Q.; Wang, D.P. Comparison with two data processing methods on fatigue crack growth rate. J. Mech. Strength 2003, 25, 568–571. [Google Scholar]
- Pugno, N.; Ciavarella, M.; Cornetti, P.; Carpinteri, A. A generalized Paris’ law for fatigue crack growth. J. Mech. Phys. Solids 2006, 54, 1333–1349. [Google Scholar] [CrossRef]
- Connolley, T.; Reed, P.A.S.; Starink, M.J. Short crack initiation and growth at 600 °C in notched specimens of Inconel718. Mater. Sci. Eng. A 2003, 340, 139–154. [Google Scholar] [CrossRef]
- Deng, G.J.; Tu, S.T.; Zhang, X.C.; Wang, Q.Q.; Qin, C.H. Grain size effect on the small fatigue crack initiation and growth mechanisms of nickel-based superalloy GH4169. Eng. Fract. Mech. 2015, 134, 433–450. [Google Scholar] [CrossRef]
- Esin, A. A method for correlating different types of fatigue curve. Int. J. Fatigue 1980, 2, 153–158. [Google Scholar] [CrossRef]
- Wang, X.S.N.; Kawagoishi, N.; Yu, S.W. Effect of the methods of estimating fatigue life in the differential types of loading. J. Mech. Strength 2000, 22, 183, 234–237. [Google Scholar]














| Cu | Fe | Mn | Ni | Pb | Si | Sn | P | Al | Zn |
|---|---|---|---|---|---|---|---|---|---|
| 97.5 | 0.1395 | <0.001 | 1.75 | 0.001 | 0.482 | 0.033 | 0.012 | 0.002 | 0.0261 |
| Ultimate Tensile Strength (MPa) | Yield Strength (MPa) | Elongation (%) | Vickers Hardness |
|---|---|---|---|
| 646 | 583 | 14.0 | 202 |
© 2020 by the authors. Licensee MDPI, Basel, Switzerland. This article is an open access article distributed under the terms and conditions of the Creative Commons Attribution (CC BY) license (http://creativecommons.org/licenses/by/4.0/).
Share and Cite
Yang, B.; Li, Y.; Qin, Y.; Zhang, J.; Feng, B.; Liao, Z.; Xiao, S.; Yang, G.; Zhu, T. Fatigue Crack Growth Behaviour of Precipitate-Strengthened CuNi2Si Alloy under Different Loading Modes. Materials 2020, 13, 2228. https://doi.org/10.3390/ma13102228
Yang B, Li Y, Qin Y, Zhang J, Feng B, Liao Z, Xiao S, Yang G, Zhu T. Fatigue Crack Growth Behaviour of Precipitate-Strengthened CuNi2Si Alloy under Different Loading Modes. Materials. 2020; 13(10):2228. https://doi.org/10.3390/ma13102228
Chicago/Turabian StyleYang, Bing, Yifan Li, Yahang Qin, Jiwang Zhang, Bo Feng, Zhen Liao, Shoune Xiao, Guangwu Yang, and Tao Zhu. 2020. "Fatigue Crack Growth Behaviour of Precipitate-Strengthened CuNi2Si Alloy under Different Loading Modes" Materials 13, no. 10: 2228. https://doi.org/10.3390/ma13102228
APA StyleYang, B., Li, Y., Qin, Y., Zhang, J., Feng, B., Liao, Z., Xiao, S., Yang, G., & Zhu, T. (2020). Fatigue Crack Growth Behaviour of Precipitate-Strengthened CuNi2Si Alloy under Different Loading Modes. Materials, 13(10), 2228. https://doi.org/10.3390/ma13102228
