Nano-Scaled Creep Response of TiAlV Low Density Medium Entropy Alloy at Elevated Temperatures
Abstract
1. Introduction
2. Materials and Methods
3. Results
3.1. Microstructures, Crystal Structure, and Calphad Calculation
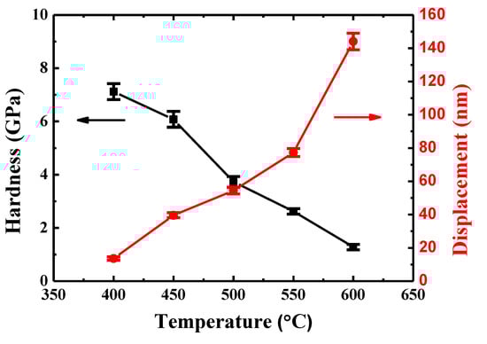
3.2. Creep Behavior
4. Discussion
4.1. Comparison of the Thermodynamic Calculations with Experimental Data
4.2. Comparison of the Creep Behavior of TiAlV LD-MPEA with Cantor Alloy
4.3. Comparison of the Creep Behavior of TiAlV LD-MPEA with Ti-6Al-4V Alloy
5. Conclusions
Author Contributions
Funding
Conflicts of Interest
References
- Long, Y.; Su, K.; Zhang, J.; Liang, X.; Peng, H.; Li, X. Enhanced strength of a mechanical alloyed nbmotawvti refractory high entropy alloy. Materials 2018, 11, 669. [Google Scholar] [CrossRef] [PubMed]
- Löbel, M.; Lindner, T.; Lampke, T. Enhanced wear behaviour of spark plasma sintered alcocrfeniti high-entropy alloy composites. Materials 2018, 11, 2225. [Google Scholar] [CrossRef] [PubMed]
- Zhang, H.; Zhao, Y.; Huang, S.; Zhu, S.; Wang, F.; Li, D. Manufacturing and analysis of high-performance refractory high-entropy alloy via selective laser melting (slm). Materials 2019, 12, 720. [Google Scholar] [CrossRef] [PubMed]
- Yeh, J.W.; Chen, S.K.; Lin, S.J.; Gan, J.Y.; Chin, T.S.; Shun, T.T.; Tsau, C.H.; Chang, S.Y. Nanostructured high-entropy alloys with multiple principal elements: Novel alloy design concepts and outcomes. Adv. Eng. Mater. 2004, 6, 299–303. [Google Scholar] [CrossRef]
- Cantor, B.; Chang, I.; Knight, P.; Vincent, A. Microstructural development in equiatomic multicomponent alloys. Mater. Sci. Eng. A 2004, 375, 213–218. [Google Scholar] [CrossRef]
- Liao, Y.C.; Li, T.H.; Tsai, P.H.; Jang, J.S.C.; Hsieh, K.C.; Chen, C.Y.; Huang, J.C.; Wu, H.J.; Lo, Y.C.; Huang, C.W.; et al. Designing novel lightweight, high-strength and high-plasticity Tix(AlCrNb)100-x medium-entropy alloys. Intermetallics 2020, 117. [Google Scholar] [CrossRef]
- He, J.; Wang, Q.; Zhang, H.; Dai, L.; Mukai, T.; Wu, Y.; Liu, X.; Wang, H.; Nieh, T.-G.; Lu, Z. Dynamic deformation behavior of a face-centered cubic feconicrmn high-entropy alloy. Sci. Bull. 2018, 63, 362–368. [Google Scholar] [CrossRef]
- Tseng, K.; Yang, Y.; Juan, C.; Chin, T.; Tsai, C.; Yeh, J. A light-weight high-entropy alloy Al20Be20 Fe20Si15Ti15. Sci. China Technol. Sci. 2018, 61, 184–188. [Google Scholar] [CrossRef]
- Hammond, V.H.; Atwater, M.A.; Darling, K.A.; Nguyen, H.Q.; Kecskes, L.J. Equal-channel angular extrusion of a low-density high-entropy alloy produced by high-energy cryogenic mechanical alloying. JOM 2014, 66, 2021–2029. [Google Scholar] [CrossRef]
- Kang, M.; Lim, K.; Won, J.; Lee, K.; Na, Y. Al-ti-containing lightweight high-entropy alloys for intermediate temperature applications. Entropy 2018, 20, 355. [Google Scholar] [CrossRef]
- Feng, R.; Gao, M.; Lee, C.; Mathes, M.; Zuo, T.; Chen, S.; Hawk, J.; Zhang, Y.; Liaw, P. Design of light-weight high-entropy alloys. Entropy 2016, 18, 333. [Google Scholar] [CrossRef]
- Yang, X.; Chen, S.; Cotton, J.; Zhang, Y. Phase stability of low-density, multiprincipal component alloys containing aluminum, magnesium, and lithium. JOM 2014, 66, 2009–2020. [Google Scholar] [CrossRef]
- Qiu, Y.; Hu, Y.; Taylor, A.; Styles, M.; Marceau, R.; Ceguerra, A.; Gibson, M.; Liu, Z.; Fraser, H.; Birbilis, N. A lightweight single-phase altivcr compositionally complex alloy. Acta Mater. 2017, 123, 115–124. [Google Scholar] [CrossRef]
- Youssef, K.M.; Zaddach, A.J.; Niu, C.; Irving, D.L.; Koch, C.C. A novel low-density, high-hardness, high-entropy alloy with close-packed single-phase nanocrystalline structures. Mater. Res. Lett. 2015, 3, 95–99. [Google Scholar] [CrossRef]
- Stepanov, N.; Yurchenko, N.Y.; Skibin, D.; Tikhonovsky, M.; Salishchev, G. Structure and mechanical properties of the alcrxnbtiv (x= 0, 0.5, 1, 1.5) high entropy alloys. J. Alloy. Compd. 2015, 652, 266–280. [Google Scholar] [CrossRef]
- Senkov, O.N.; Senkova, S.; Woodward, C.; Miracle, D.B. Low-density, refractory multi-principal element alloys of the Cr-Nb-Ti-V-Zr system: Microstructure and phase analysis. Acta Mater. 2013, 61, 1545–1557. [Google Scholar] [CrossRef]
- Stepanov, N.; Yurchenko, N.Y.; Shaysultanov, D.; Salishchev, G.; Tikhonovsky, M. Effect of al on structure and mechanical properties of AlxNbTiVZr (x= 0, 0.5, 1, 1.5) high entropy alloys. Mater. Sci. Technol. 2015, 31, 1184–1193. [Google Scholar] [CrossRef]
- Chen, H.; Kauffmann, A.; Gorr, B.; Schliephake, D.; Seemüller, C.; Wagner, J.; Christ, H.-J.; Heilmaier, M. Microstructure and mechanical properties at elevated temperatures of a new al-containing refractory high-entropy alloy Nb-Mo-Cr-Ti-Al. J. Alloy. Compd. 2016, 661, 206–215. [Google Scholar] [CrossRef]
- Stepanov, N.; Shaysultanov, D.; Salishchev, G.; Tikhonovsky, M. Structure and mechanical properties of a light-weight alnbtiv high entropy alloy. Mater. Lett. 2015, 142, 153–155. [Google Scholar] [CrossRef]
- Ma, Y.; Feng, Y.; Debela, T.T.; Peng, G.; Zhang, T. Nanoindentation study on the creep characteristics of high-entropy alloy films: Fcc versus bcc structures. Int. J. Refract. Met. Hard Mater. 2016, 54, 395–400. [Google Scholar] [CrossRef]
- Tsai, M.; Huang, J.; Lin, P.; Liu, T.; Liao, Y.; Jang, J.S.; Song, S.; Nieh, T. Creep of face-centered-cubic {111} and {100} grains in feconicrmn and feconicrmnal alloys: Orientation and solid solution effects. Intermetallics 2018, 103, 88–96. [Google Scholar] [CrossRef]
- Donachie, M.J. Titanium: A Technical Guide; ASM International: Russell, OH, USA, 2000. [Google Scholar]
- Yurchenko, N.Y.; Stepanov, N.D.; Zherebtsov, S.V.; Tikhonovsky, M.A.; Salishchev, G.A. Structure and mechanical properties of b2 ordered refractory AlNbTiVZrx (x = 0–1.5) high-entropy alloys. Mater. Sci. Eng. A 2017, 704, 82–90. [Google Scholar] [CrossRef]
- Tong, C.J.; Chen, Y.L.; Yeh, J.W.; Lin, S.J.; Chen, S.K.; Shun, T.T.; Tsau, C.H.; Chang, S.Y. Microstructure characterization of AlxCoCrCuFeNi high-entropy alloy system with multiprincipal elements. Metall. Mater. Trans. A 2005, 36, 881–893. [Google Scholar] [CrossRef]
- Chen, H.; Kauffmann, A.; Seils, S.; Boll, T.; Liebscher, C.H.; Harding, I.; Kumar, K.S.; Szabó, D.V.; Schlabach, S.; Kauffmann-Weiss, S.; et al. Crystallographic ordering in a series of Al-containing refractory high entropy alloys Ta-Nb-Mo-Cr-Ti-Al. Acta Mater. 2019, 176, 123–133. [Google Scholar] [CrossRef]
- Porter, D.A.; Easterling, K.E.; Sherif, M. Phase Transformations in Metals and Alloys; CRC Press: Boca Raton, FL, USA, 2009. [Google Scholar]
- Chen, S.; Li, W.; Xie, X.; Brechtl, J.; Chen, B.; Li, P.; Zhao, G.; Yang, F.; Qiao, J.; Liaw, P.K. Nanoscale serration and creep characteristics of Al0.5CoCrCuFeNi high-entropy alloys. J. Alloy. Compd. 2018, 752, 464–475. [Google Scholar] [CrossRef]
- Johnson, K.L.; Johnson, K.L. Contact Mechanics; Cambridge University Press: Cambridge, UK, 1987. [Google Scholar]
- Yavari, P.; Langdon, T.G. An examination of the breakdown in creep by viscous glide in solid solution alloys at high stress levels. Acta Metall. 1982, 30, 2181–2196. [Google Scholar] [CrossRef]
- Langdon, T.G. Grain boundary sliding revisited: Developments in sliding over four decades. J. Mater.Sci. 2006, 41, 597–609. [Google Scholar] [CrossRef]
- Langdon, T.G. The mechanical properties of superplastic materials. Metall.Trans. A 1982, 13, 689–701. [Google Scholar] [CrossRef]
- Sherby, O.D.; Wadsworth, J. Superplasticity—Recent advances and future directions. Prog. Mater. Sci. 1989, 33, 169–221. [Google Scholar] [CrossRef]
- Gao, H.; Shun, Q.M.; Zhao, J. Effect of high pressure heat treatment on room temperature creep property of Ti-6Al-4V alloy by nanoindentation technique. J. Mater. Sci. Eng. A 2018, 8, 55–58. [Google Scholar]
- Li, W.-B.; Henshall, J.; Hooper, R.; Easterling, K. The mechanisms of indentation creep. Acta Metall. Mater. 1991, 39, 3099–3110. [Google Scholar] [CrossRef]
- Caillard, D.; Martin, J.-L. Thermally Activated Mechanisms in Crystal Plasticity; Elsevier: Amsterdam, The Netherlands, 2003; Volume 8. [Google Scholar]
- Gao, M.C.; Yeh, J.-W.; Liaw, P.K.; Zhang, Y. High-Entropy Alloys: Fundamentals and Applications; Springer: New York, NY, USA, 2016. [Google Scholar]
- Senkov, O.; Scott, J.; Senkova, S.; Miracle, D.; Woodward, C. Microstructure and room temperature properties of a high-entropy tanbhfzrti alloy. J. Alloy. Compd. 2011, 509, 6043–6048. [Google Scholar] [CrossRef]
- Zhang, C.; Zhang, F.; Chen, S.; Cao, W. Computational thermodynamics aided high-entropy alloy design. JOM 2012, 64, 839–845. [Google Scholar] [CrossRef]
- Tang, Z.; Gao, M.C.; Diao, H.; Yang, T.; Liu, J.; Zuo, T.; Zhang, Y.; Lu, Z.; Cheng, Y.; Zhang, Y. Aluminum alloying effects on lattice types, microstructures, and mechanical behavior of high-entropy alloys systems. JOM 2013, 65, 1848–1858. [Google Scholar] [CrossRef]
- Senkov, O.; Miller, J.; Miracle, D.; Woodward, C. Accelerated exploration of multi-principal element alloys for structural applications. Calphad 2015, 50, 32–48. [Google Scholar] [CrossRef]
- Wang, W.-R.; Wang, W.-L.; Yeh, J.-W. Phases, microstructure and mechanical properties of AlxCoCrFeNi high-entropy alloys at elevated temperatures. J. Alloy. Compd. 2014, 589, 143–152. [Google Scholar] [CrossRef]
- Schneider, A.S.; Kaufmann, D.; Clark, B.G.; Frick, C.P.; Gruber, P.A.; Mönig, R.; Kraft, O.; Arzt, E. Correlation between critical temperature and strength of small-scale bcc pillars. Phys. Rev. Lett. 2009, 103, 105501. [Google Scholar] [CrossRef]
- Otto, F.; Dlouhý, A.; Somsen, C.; Bei, H.; Eggeler, G.; George, E.P. The influences of temperature and microstructure on the tensile properties of a cocrfemnni high-entropy alloy. Acta Mater. 2013, 61, 5743–5755. [Google Scholar] [CrossRef]
- Wu, Z.; Bei, H.; Pharr, G.M.; George, E.P. Temperature dependence of the mechanical properties of equiatomic solid solution alloys with face-centered cubic crystal structures. Acta Mater. 2014, 81, 428–441. [Google Scholar] [CrossRef]
- Lee, D.-H.; Seok, M.-Y.; Zhao, Y.; Choi, I.-C.; He, J.; Lu, Z.; Suh, J.-Y.; Ramamurty, U.; Kawasaki, M.; Langdon, T.G. Spherical nanoindentation creep behavior of nanocrystalline and coarse-grained cocrfemnni high-entropy alloys. Acta Mater. 2016, 109, 314–322. [Google Scholar] [CrossRef]
- He, J.Y.; Zhu, C.; Zhou, D.Q.; Liu, W.H.; Nieh, T.G.; Lu, Z.P. Steady state flow of the feconicrmn high entropy alloy at elevated temperatures. Intermetallics 2014, 55, 9–14. [Google Scholar] [CrossRef]
- Li, X.; Sugui, T.; Xianyu, B.; Liqing, C. Creep properties and effect factors of hot continuous rolled Ti-6Al-4V alloy. Mater. Sci. Eng. A 2011, 529, 452–458. [Google Scholar] [CrossRef]
- Rosen, A.; Rottem, A. The effect of high temperature exposure on the creep resistance of Ti-6Al-4V alloy. J. Mater. Sci. Eng. 1976, 22, 23–29. [Google Scholar] [CrossRef]
- Chen, W. The elevated-temperature creep behavior of boron-modified Ti-6Al-4V alloys. Mater. Trans. 2009, 50, 1690–1703. [Google Scholar]
- Badea, L.; Surand, M.; Ruau, J.; Viguier, B. Creep behavior of Ti-6Al-4V from 450 °C to 600 °C. UPB Sci. Bull. Ser. B 2014, 76, 185–196. [Google Scholar]









| T, °C | n | E, GPa | f, MPa | f/E | V, Ω | ||
|---|---|---|---|---|---|---|---|
| 400 | 4.1 | 126 ± 4 | 2374 ± 100 | 1.88 × 10−2 | 1.09 × 10−4 | 2.25 × 10−5 | 2 |
| 450 | 4.1 | 114 ± 4 | 2026 ± 100 | 1.78 × 10−2 | 1.55 × 10−4 | 4.02 × 10−5 | 2 |
| 500 | 4.1 | 99 ± 4 | 1243 ± 67 | 1.26 × 10−2 | 2.38 × 10−4 | 2.59 × 10−4 | 4 |
| 550 | 4.1 | 90 ± 3 | 872 ± 33 | 9.69 × 10−3 | 3.84 × 10−4 | 1.18 × 10−3 | 6 |
| 600 | 4.1 | 80 ± 3 | 428 ± 33 | 5.35 × 10−3 | 4.98 × 10−4 | 1.74 × 10−2 | 13 |
| T, °C | Alloy | H, GPa | f, MPa | Tm, oC | Ref. | ||
| RT | TiAlV | 7.2 ± 0.1 | 2400 ± 100 | 1418 | - | ||
| RT | FeCoNiCrMn | 2.9 ± 0.2 | 967 ± 100 | 1528 | [21] | ||
| RT | Ti-6Al-4V | 4.4 | 1467 | 1668 | [33] | ||
© 2019 by the authors. Licensee MDPI, Basel, Switzerland. This article is an open access article distributed under the terms and conditions of the Creative Commons Attribution (CC BY) license (http://creativecommons.org/licenses/by/4.0/).
Share and Cite
Zhang, X.; Ye, H.; Huang, J.C.; Liu, T.; Lin, P.; Wu, Y.; Tsai, M.; Liao, Y.; Jang, J.S.C. Nano-Scaled Creep Response of TiAlV Low Density Medium Entropy Alloy at Elevated Temperatures. Materials 2020, 13, 36. https://doi.org/10.3390/ma13010036
Zhang X, Ye H, Huang JC, Liu T, Lin P, Wu Y, Tsai M, Liao Y, Jang JSC. Nano-Scaled Creep Response of TiAlV Low Density Medium Entropy Alloy at Elevated Temperatures. Materials. 2020; 13(1):36. https://doi.org/10.3390/ma13010036
Chicago/Turabian StyleZhang, Xiangkai, Hanting Ye, Jacob C. Huang, Taiyou Liu, Pinhung Lin, Yaocheng Wu, Mintsang Tsai, Yuchin Liao, and Jason S. C. Jang. 2020. "Nano-Scaled Creep Response of TiAlV Low Density Medium Entropy Alloy at Elevated Temperatures" Materials 13, no. 1: 36. https://doi.org/10.3390/ma13010036
APA StyleZhang, X., Ye, H., Huang, J. C., Liu, T., Lin, P., Wu, Y., Tsai, M., Liao, Y., & Jang, J. S. C. (2020). Nano-Scaled Creep Response of TiAlV Low Density Medium Entropy Alloy at Elevated Temperatures. Materials, 13(1), 36. https://doi.org/10.3390/ma13010036

