Vibration and Buckling Characteristics of Functionally Graded Graphene Nanoplatelets Reinforced Composite Beams with Open Edge Cracks
Abstract
1. Introduction
2. Effective Material Properties of GPLRC
3. Finite Element Implementation
4. Results and Discussion
4.1. Verification
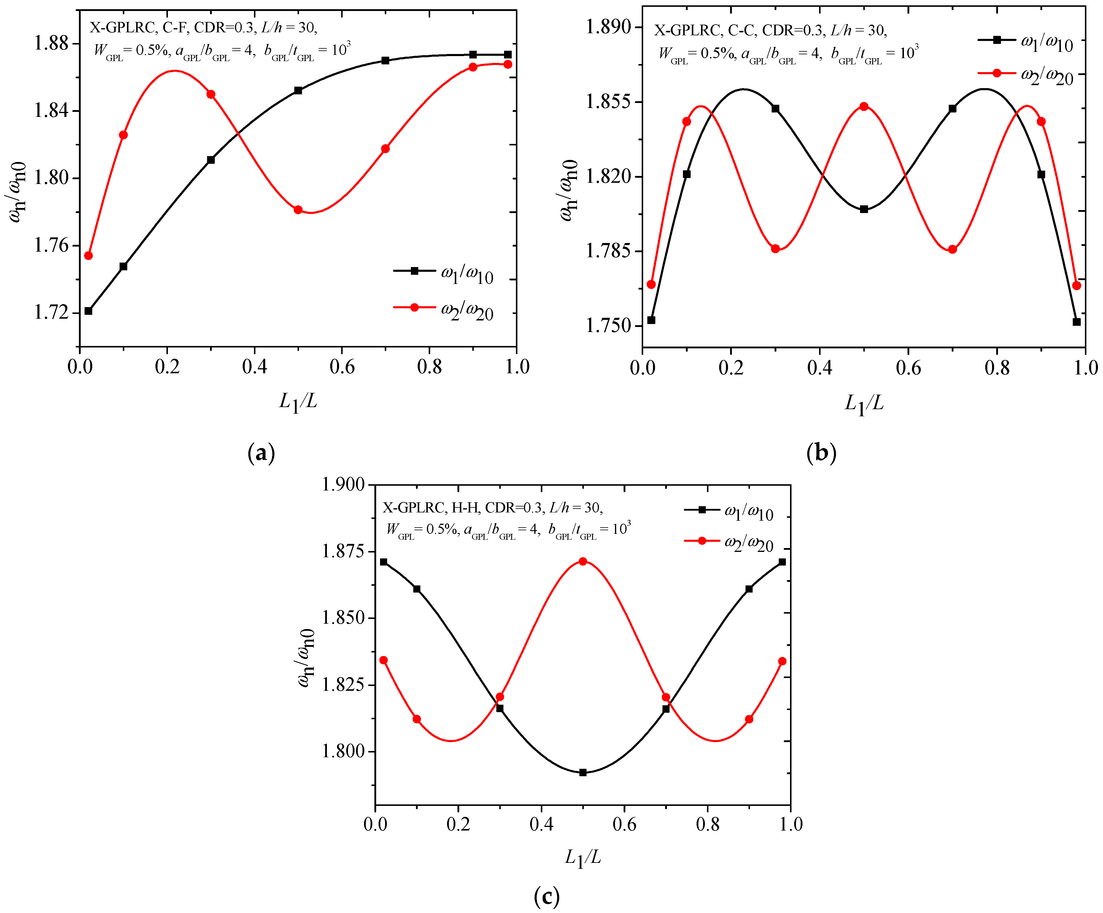
4.2. Free Vibration Analysis
4.3. Buckling Analysis
5. Conclusions
Author Contributions
Funding
Conflicts of Interest
References
- Winey, K.I.; Vaia, R.A. Polymer nanocomposites. MRS Bull. 2007, 32, 314–322. [Google Scholar] [CrossRef]
- Ahankari, S.S.; Kar, K.K. Processing of styrene butadiene rubber–carbon black nanocomposites with gradation of crosslink density: Static and dynamic mechanical characterization. Mater. Sci. Eng. A 2008, 491, 454–460. [Google Scholar] [CrossRef]
- Bafekrpour, E.; Yang, C.; Natali, M.; Fox, B. Functionally graded carbon nanofiber/phenolic nanocomposites and their mechanical properties. Compos. Part A Appl. Sci. Manu. 2013, 54, 124–134. [Google Scholar] [CrossRef]
- Thostenson, E.T.; Chou, T.W. On the elastic properties of carbon nanotube-based composites: Modelling and characterization. J. Phy. D Appl. Phy. 2003, 36, 573. [Google Scholar] [CrossRef]
- Rafiee, M.A.; Rafiee, J.; Wang, Z.; Song, H.H.; Yu, Z.Z.; Koratkar, N. Enhanced mechanical properties of nanocomposites at low graphene content. ACS Nano 2009, 3, 3884–3890. [Google Scholar] [CrossRef]
- Rafiee, M.A.; Rafiee, J.; Srivastava, I.; Wang, Z.; Song, H.H.; Yu, Z.Z.; Koratkar, N. Fracture and fatigue in graphene nanocomposites. Small 2010, 6, 179–183. [Google Scholar] [CrossRef]
- Tang, L.C.; Wan, Y.; Yan, D.; Pei, Y.B.; Zhao, L.; Li, Y.B.; Wu, L.B.; Jiang, J.X.; Lai, G.Q. The effect of graphene dispersion on the mechanical properties of graphene/epoxy composites. Carbon 2013, 60, 16–27. [Google Scholar] [CrossRef]
- Liu, J.; Yan, H.; Jiang, K. Mechanical properties of graphene platelet-reinforced alumina ceramic composites. Ceram. Int. 2013, 39, 6215–6221. [Google Scholar] [CrossRef]
- Liu, J.; Li, Z.; Yan, H.; Jiang, K. Spark plasma sintering of alumina composites with graphene platelets and silicon carbide nanoparticles. Adv. Eng. Mater. 2014, 16, 1111–1118. [Google Scholar] [CrossRef]
- Lee, J.K.; Song, S.; Kim, B. Functionalized graphene sheets-epoxy based nanocomposite for cryotank composite application. Polym. Compos. 2012, 33, 1263–1273. [Google Scholar] [CrossRef]
- Ji, X.Y.; Cao, Y.P.; Feng, X.Q. Micromechanics prediction of the effective elastic moduli of graphene sheet-reinforced polymer nanocomposites. Model. Simul. Mater. Sci. Eng. 2010, 18, 045005. [Google Scholar] [CrossRef]
- Fu, S.Y.; Feng, X.Q.; Lauke, B.; Mai, Y.W. Effects of particle size, particle/matrix interface adhesion and particle loading on mechanical properties of particulate–polymer composites. Compos. Part B Eng. 2008, 39, 933–961. [Google Scholar] [CrossRef]
- Kim, H.; Abdala, A.A.; Macosko, C.W. Graphene/polymer nanocomposites. Macromolecules 2015, 43, 6515–6530. [Google Scholar] [CrossRef]
- Safaei, B.; Fattahi, A.M. Free Vibrational response of single-layered graphene sheets embedded in an elastic matrix using different nonlocal plate models. Mechanika 2017, 23, 678–687. [Google Scholar]
- Yamanoushi, M.; Koizumi, M.; Hiraii, T.; Shiota, I.; FGM-90. Proceedings of the First International Symposium on Functionally Gradient Materials; Elsevier: Amsterdam, The Netherlands, 1990. [Google Scholar]
- Ichikawa, K. Functionally Graded Materials in the 21st Century: A Workshop on Trends and Forecasts; Springer: New York, NY, USA, 2001. [Google Scholar]
- Feng, C.; Kitipornchai, S.; Yang, J. Nonlinear free vibration of functionally graded polymer composite beams reinforced with graphene nanoplatelets (GPLs). Eng. Struct. 2017, 140, 110–119. [Google Scholar] [CrossRef]
- Feng, C.; Kitipornchai, S.; Yang, J. Nonlinear bending of polymer nanocomposite beams reinforced with non-uniformly distributed graphene platelets (GPLs). Compos. Part B Eng. 2017, 110, 132–140. [Google Scholar] [CrossRef]
- Yang, J.; Wu, H.; Kitipornchai, S. Buckling and postbuckling of functionally graded multilayer graphene platelet-reinforced composite beams. Compos. Struct. 2017, 161, 111–118. [Google Scholar] [CrossRef]
- Huang, Y.H.; Yang, Z.C.; Liu, A.R.; Fu, J.Y. Nonlinear buckling analysis of functionally graded graphene reinforced composite shallow arches with elastic rotational constraints under uniform radial load. Materials 2018, 11, 910. [Google Scholar] [CrossRef]
- Yang, Z.C.; Yang, J.; Liu, A.R.; Fu, J. Nonlinear in-plane instability of functionally graded multilayer graphene reinforced composite shallow arches. Compos. Struct. 2018, 204, 301–312. [Google Scholar] [CrossRef]
- Yang, Z.C.; Huang, Y.; Liu, A.R.; Fu, J.Y.; Wu, D. Nonlinear in-plane buckling of fixed shallow functionally graded graphene reinforced composite arches subjected to mechanical and thermal loading. Appl. Math. Model. 2019, 70, 315–327. [Google Scholar] [CrossRef]
- Shen, H.S.; Lin, F.; Xiang, Y. Nonlinear bending and thermal postbuckling of functionally graded graphene-reinforced composite laminated beams resting on elastic foundations. Eng. Struct 2017, 140, 89–97. [Google Scholar] [CrossRef]
- Shen, H.S.; Xiang, Y.; Lin, F. Nonlinear vibration of thermally postbuckled FG-GRC laminated beams resting on elastic foundations. Int. J. Struct. Stab. Dyn. 2019, 1950051. [Google Scholar] [CrossRef]
- Barati, M.R.; Zenkour, A.M. Post-buckling analysis of refined shear deformable graphene platelet reinforced beams with porosities and geometrical imperfection. Compos. Struct. 2017, 181, 194–202. [Google Scholar] [CrossRef]
- Mao, J.J.; Zhang, W. Linear and nonlinear free and forced vibrations of graphene reinforced piezoelectric composite plate under external voltage excitation. Compos. Struct. 2018, 203, 551–565. [Google Scholar] [CrossRef]
- Liu, Z.; Yang, C.; Gao, W.; Wu, D.; Li, G. Nonlinear behaviour and stability of functionally graded porous arches with graphene platelets reinforcements. Int. J. Eng. Sci. 2019, 137, 37–56. [Google Scholar] [CrossRef]
- Dimarogonas, A.D. Vibration of cracked structures: A state of the art review. Eng. Fract. Mech. 1996, 55, 831–857. [Google Scholar] [CrossRef]
- Volkov Udc, V.A.; Rademacher, T.; Zehn, M. Modal triggered nonlinearities for damage localization in thin walled FRC structures—A numerical study. Facta Univ.-Ser. Mech. Eng. 2016, 14, 21–36. [Google Scholar]
- Fernandez-Saez, J.; Rubio, L.; Navarro, C. Approximate calculation of the fundamental frequency for bending vibrations of cracked beams. J. Sound Vib. 1999, 225, 345–352. [Google Scholar] [CrossRef]
- Chondros, T.G.; Dimarogonas, A.D.; Yao, J. A continuous cracked beam vibration theory. J. Sound Vib. 1998, 215, 17–34. [Google Scholar] [CrossRef]
- Shifrin, E.I.; Ruotolo, R. Natural frequencies of a beam with an arbitrary number of cracks. J. Sound Vib. 1999, 222, 409–423. [Google Scholar] [CrossRef]
- Hsu, M.H. Vibration analysis of edge-cracked beam on elastic foundation with axial loading using the differential quadrature method. Comput. Method. Appl. Mech. Eng. 2005, 194, 1–17. [Google Scholar] [CrossRef]
- Yokoyama, T.; Chen, M.C. Vibration analysis of edge-cracked beams using a line-spring model. Eng. Fract. Mech. 1998, 59, 403–409. [Google Scholar] [CrossRef]
- Lellep, J.; Roots, L. Vibrations of cylindrical shells with circumferential cracks. WSEAS Tran. Math. 2010, 9, 689–699. [Google Scholar]
- Lellep, J.; Kägo, E. Vibrations of elastic stretched strips with cracks. Int. J. Mech. 2011, 5, 27–34. [Google Scholar]
- Lellep, J.; Majak, J. On optimal orientation of nonlinear elastic orthotropic materials. Struct. Optim. 1997, 14, 116–120. [Google Scholar] [CrossRef]
- Ke, L.L.; Yang, J.; Kitipornchai, S.; Xiang, Y. Flexural vibration and elastic buckling of a cracked Timoshenko beam made of functionally graded materials. Mech. Adv. Mater. Struct. 2009, 16, 488–502. [Google Scholar] [CrossRef]
- Yang, J.; Chen, Y. Free vibration and buckling analyses of functionally graded beams with edge cracks. Compos. Struct. 2008, 83, 48–60. [Google Scholar] [CrossRef]
- Yan, T.; Yang, J.; Kitipornchai, S. Nonlinear dynamic response of an edge-cracked functionally graded Timoshenko beam under parametric excitation. Nonlinear Dyn. 2012, 67, 527–540. [Google Scholar] [CrossRef]
- Ke, L.L.; Yang, J.; Kitipornchai, S. Postbuckling analysis of edge cracked functionally graded Timoshenko beams under end shortening. Compos. Struct. 2009, 90, 152–160. [Google Scholar] [CrossRef]
- Affdl, J.C.H.; Kardos, J.L. The Halpin-Tsai equations: A review. Polym. Eng. Sci. 1976, 16, 344–352. [Google Scholar] [CrossRef]
- García-Macías, E.; Rodriguez-Tembleque, L.; Sáez, A. Bending and free vibration analysis of functionally graded graphene vs. carbon nanotube reinforced composite plates. Compos. Struct. 2018, 186, 123–138. [Google Scholar] [CrossRef]
- Mori, T.; Tanaka, K. Average stress in matrix and average elastic energy of materials with misfitting inclusions. Acta Metall. 1973, 21, 571–574. [Google Scholar] [CrossRef]
- Sperling, L.H.; Sperling, L.H. Introduction to Physical Polymer Science; Wiley: New York, NY, USA, 2006. [Google Scholar]
- King, J.A.; Klimek, D.R.; Miskioglu, I.; Odegard, D.M. Mechanical properties of graphene nanoplatelet/epoxy composites. J. Appl. Polym. Sci. 2013, 128, 4217–4223. [Google Scholar] [CrossRef]
- ANSYS 14.5. Available online: https://www.ansys.com/products/all-products (accessed on 8 March 2019).
- Martínez-Pañeda, E. On the finite element implementation of functionally graded materials. Materials 2019, 12, 287. [Google Scholar] [CrossRef]
- Wu, H.; Yang, J.; Kitipornchai, S. Dynamic instability of functionally graded multilayer graphene nanocomposite beams in thermal environment. Compos. Struct. 2017, 162, 244–254. [Google Scholar] [CrossRef]











| Comparison Results | L1/L = 0.2 | L1/L = 0.4 | L1/L = 0.6 | Intact Beam |
|---|---|---|---|---|
| Present | 1019.9 | 1029.9 | 1035.2 | 1036.9 |
| Ke et al. [38] | 1020.98 | 1029.853 | 1034.932 | 1037.0106 |
| Comparison Results | Pcr | w1 |
|---|---|---|
| Present | 0.0090 | 0.3359 |
| Wu et al. [49] | 0.0089 | 0.3350 |
| Distribution Patterns | WGPL | L1/L | ||
|---|---|---|---|---|
| 0.2 | 0.5 | 0.8 | ||
| U-GPLRC | 0.1% | 1.1567 | 1.1328 | 1.1567 |
| 0.3% | 1.4200 | 1.3906 | 1.4200 | |
| 0.5% | 1.6417 | 1.6074 | 1.6417 | |
| X-GPLRC | 0.1% | 1.2229 | 1.1929 | 1.2229 |
| 0.3% | 1.5762 | 1.5310 | 1.5762 | |
| 0.5% | 1.8628 | 1.8047 | 1.8627 | |
| O-GPLRC | 0.1% | 1.0856 | 1.0666 | 1.0856 |
| 0.3% | 1.2393 | 1.2212 | 1.2393 | |
| 0.5% | 1.3758 | 1.3574 | 1.3758 | |
| A-GPLRC | 0.1% | 1.1447 | 1.1189 | 1.1447 |
| 0.3% | 1.3604 | 1.3277 | 1.3604 | |
| 0.5% | 1.5332 | 1.4946 | 1.5332 | |
| Pure epoxy | 0.0% | 0.9994 | 0.9785 | 0.9994 |
| CDR | L1/L | ||||
|---|---|---|---|---|---|
| 0.02 | 0.2 | 0.5 | 0.8 | 0.98 | |
| 0.0 | 1.8643 | 1.8643 | 1.8643 | 1.8643 | 1.8643 |
| 0.1 | 1.8513 | 1.8642 | 1.8584 | 1.8642 | 1.8513 |
| 0.2 | 1.8127 | 1.8637 | 1.8392 | 1.8637 | 1.8127 |
| 0.3 | 1.7513 | 1.8628 | 1.8047 | 1.8627 | 1.7518 |
| WGPL | L1/L | ||||
|---|---|---|---|---|---|
| 0.02 | 0.2 | 0.5 | 0.8 | 0.98 | |
| 0.0% | 0.9425 | 0.9941 | 0.9394 | 0.9941 | 0.9429 |
| 0.1% | 1.3980 | 1.4885 | 1.3917 | 1.4885 | 1.3988 |
| 0.3% | 2.2980 | 2.4727 | 2.2820 | 2.4728 | 2.2980 |
| 0.5% | 3.1880 | 3.4529 | 3.1618 | 3.4530 | 3.1880 |
| CDR | L/h | ||
|---|---|---|---|
| 20 | 30 | 40 | |
| 0.0 | 7.6778 | 3.4855 | 1.9753 |
| 0.1 | 7.5725 | 3.4537 | 1.9615 |
| 0.2 | 7.2426 | 3.3531 | 1.9172 |
| 0.3 | 6.6581 | 3.1618 | 1.8336 |
© 2019 by the authors. Licensee MDPI, Basel, Switzerland. This article is an open access article distributed under the terms and conditions of the Creative Commons Attribution (CC BY) license (http://creativecommons.org/licenses/by/4.0/).
Share and Cite
Tam, M.; Yang, Z.; Zhao, S.; Yang, J. Vibration and Buckling Characteristics of Functionally Graded Graphene Nanoplatelets Reinforced Composite Beams with Open Edge Cracks. Materials 2019, 12, 1412. https://doi.org/10.3390/ma12091412
Tam M, Yang Z, Zhao S, Yang J. Vibration and Buckling Characteristics of Functionally Graded Graphene Nanoplatelets Reinforced Composite Beams with Open Edge Cracks. Materials. 2019; 12(9):1412. https://doi.org/10.3390/ma12091412
Chicago/Turabian StyleTam, Meifung, Zhicheng Yang, Shaoyu Zhao, and Jie Yang. 2019. "Vibration and Buckling Characteristics of Functionally Graded Graphene Nanoplatelets Reinforced Composite Beams with Open Edge Cracks" Materials 12, no. 9: 1412. https://doi.org/10.3390/ma12091412
APA StyleTam, M., Yang, Z., Zhao, S., & Yang, J. (2019). Vibration and Buckling Characteristics of Functionally Graded Graphene Nanoplatelets Reinforced Composite Beams with Open Edge Cracks. Materials, 12(9), 1412. https://doi.org/10.3390/ma12091412

