Axial Compression Performance of Square Thin Walled Concrete-Filled Steel Tube Stub Columns with Reinforcement Stiffener under Constant High-Temperature
Abstract
:1. Introduction
2. Experimental Study
2.1. Design and Fabrication of Specimens
2.2. Testing Setup
2.3. Test Process
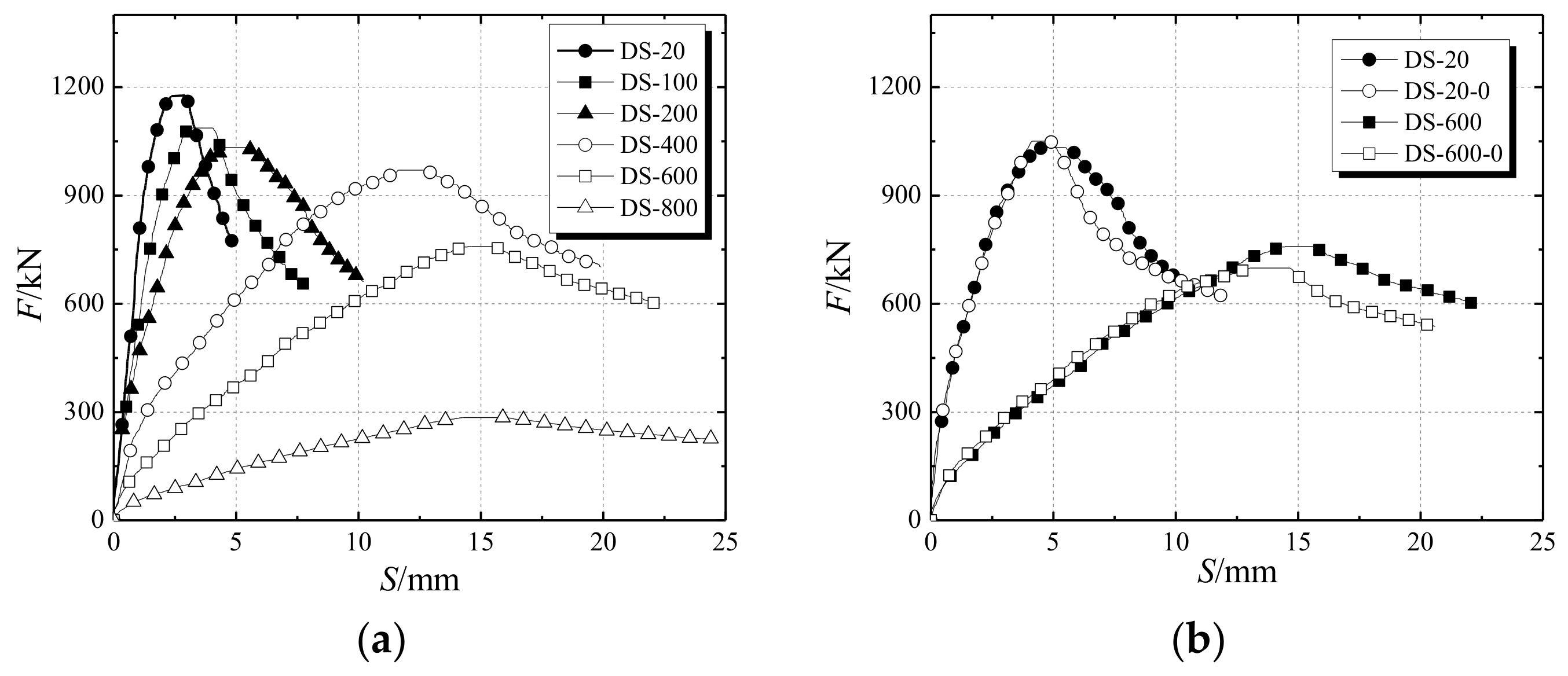
2.4. Experimental Results and Failure Modes
2.5. Analysis of Test Results
3. Numerical Analysis of Finite Field Model
3.1. Model Establishment
3.1.1. Temperature Field Model
3.1.2. Mechanical Field Model
- (1)
- The contacts between inner surfaces of the steel hollow section and the concrete are set as surface-to-surface contact. The normal contact property is general hard contact while the tangential contact property is defined by friction. The interfacial friction coefficient is set as 0.35 [29].
- (2)
- The concrete and the rebar are set as embedding constraints.
- (3)
- The binding constraint tie is set between the steel tube and the steel bar.
3.2. Validation of Finite Element Models
3.3. Mechanism Analysis
3.3.1. Stress Analysis of Concrete
3.3.2. Influence of Reinforcing Ribs
3.3.3. Interaction between Concrete and Steel Tubular
4. Conclusions
- (1)
- The buckling curvatures of the steel tube are in the middle of the column and the adjacent areas, the locations of which are not the same on different sides. The buckling curvature of the non-stiffened specimen is higher than that of the stiffened specimen. There is no obvious damage of the concrete, except the damage on the opposite sides of the steel tube buckling curvature position of the oblique line, which forms the shear surface. Consequently, the failure of each specimen is shear damage.
- (2)
- Residual bearing capacity and compressive stiffness of the test specimen decreases significantly with the increase of the temperature. Compared with the specimen under normal temperature, the ultimate bearing capacities of the specimens at 100 °C, 200 °C, 400 °C, 600 °C, and 800 °C decrease by 7.72%, 12.3%, 17.64%, 35.55%, and 75.83%, and the compressive stiffness values decrease by 11.79%, 14.83%, 63.12%, 72.24%, and 90.49%, respectively. Among them, when the temperature exceeds 200 °C, the mechanical properties of the specimen begin to be greatly reduced, the ultimate bearing capacity decreases rapidly, and the ductility coefficient decreases with the increase of the temperature. The addition of stiffened steel bars has a positive impact on improving the mechanical properties of concrete filled steel tubes. The critical temperature of the test specimen is between 200 °C and 400 °C. It shows that the decrease rates of residual bearing capacity and compressive stiffness of the specimen increase after the temperature exceeds 200 °C. This is mainly because the concrete strength decreases rapidly after the furnace temperature exceeds the critical temperature.
- (3)
- Using the finite element software ABAQUS, the model of thin-walled square steel tubular short column with stiffening bars under constant temperature is established. The stress distribution of the concrete, steel tube, and reinforcing rib of the specimen were analyzed. With the increase of temperature, the longitudinal stress gradient of the concrete increases while the stress value decreases. Compared with non-stiffened specimens, the longitudinal stress in the center of the section increases, the stress gradient increases, and the overall distribution tends to be homogeneous. The transverse restraint of the stiffener can restrict the outer buckling of the steel tube and change the buckling mode. The stress distribution of the steel plate becomes relatively uniform and the restraint effect of the concrete is enhanced due to setting of the reinforcing rib.
Author Contributions
Funding
Acknowledgments
Conflicts of Interest
References
- Wu, H.; Cao, W.; Qiao, Q.; Dong, H. Uniaxial compressive constitutive relationship of concrete confined by special-shaped steel tube coupled with multiple cavities. Materials 2016, 9, 86. [Google Scholar] [CrossRef]
- Li, M.; Zong, Z.; Hao, H.; Zhang, X.; Lin, J.; Xie, G. Experimental and numerical study on the behaviour of CFDST columns subjected to close-in blast loading. Eng. Struct. 2019, 185, 203–220. [Google Scholar] [CrossRef]
- Liu, W.; Cao, W.; Zhang, J.; Wang, R.; Ren, L. Mechanical behavior of recycled aggregate concrete-filled steel tubular columns before and after fire. Materials 2017, 10, 274. [Google Scholar] [CrossRef] [PubMed]
- Wang, X.-T.; Xie, C.-D.; Lin, L.-H.; Li, J. Seismic behavior of self-centering concrete-filled square steel tubular (CFST) Column Base. J. Constr. Steel Res. 2019, 156, 75–85. [Google Scholar] [CrossRef]
- Liang, Q.Q.; Uy, B.; Richard Liew, J.Y. Buckling of steel plates in concrete-filled thin-walled steel tubular beam-columns. J. Constr. Steel Res. 2007, 24, 396–405. [Google Scholar] [CrossRef]
- Kamil, G.M.; Liang, Q.Q.; Hadi, M.N.S. Buckling of steel plates in concrete-filled steel tubular columns at elevated temperatures. Eng. Struct. 2018, 168, 108–118. [Google Scholar] [CrossRef]
- Zhang, Y.; Chen, Y. Experimental study and finite element analysis of square stub columns with straight ribs of concrete-filled thin-walled steel tube. J. Build. Struct. 2006, 27, 16–22. [Google Scholar]
- Tao, Z.; Uy, B.; Han, L.-H.; Wang, Z.-B. Analysis and design of concrete-filled stiffened thin-walled steel tubular columns under axial compression. Thin Wall. Struct. 2009, 47, 1544–1556. [Google Scholar] [CrossRef]
- Yuan, F.; Huang, H.; Chen, M. Behaviour of square concrete-filled stiffened steel tubular stub columns under axial compression. Adv. Struct. Eng. 2019, 1–17. [Google Scholar] [CrossRef]
- Chen, Y.; Zhang, Y. Experimental study and finite element analysis of square stub columns with tensile sheets of concrete-filled thin-walled steel tube. J. Build. Struct. 2006, 27, 23–29. [Google Scholar]
- Long, Y.-L.; Zeng, L. A refined model for buckling of rectangular CFST columns with binding bars. Thin Wall. Struct. 2018, 132, 431–441. [Google Scholar] [CrossRef]
- Sun, L.; Jia, M.-M.; Zhang, S.-M.; Lu, D.-G. Experimental research of seismic performance of concrete filled steel tube composite frame structure with welded buckling-restrained braces. J. Harbin Insi. Tech. 2011, 43, 190–195. [Google Scholar]
- Ghazijahani, T.G.; Jiao, H.; Holloway, D. Concrete-filled circular steel tubes with a timber infill under axial compression. J. Struct. Eng. 2017, 143, 04017037. [Google Scholar] [CrossRef]
- Liang, W.; Dong, J.; Wang, Q. Axial compressive behavior of concrete-filled steel tube columns with stiffeners. Steel Compos. Struct. 2018, 29, 151–159. [Google Scholar]
- Wang, J.; Shen, Q. Numerical analysis and design of thin-walled RECFST stub columns under axial compression. Thin Wall. Struct. 2018, 129, 166–182. [Google Scholar] [CrossRef]
- Dong, H.; Li, Y.; Cao, W.; Qiao, Q.; Li, R. Uniaxial compression performance of rectangular CFST columns with different internal construction characteristics. Eng. Struct. 2018, 176, 763–775. [Google Scholar] [CrossRef]
- Yuan, F.; Huang, H.; Chen, M. Effect of stiffeners on the eccentric compression behaviour of square concrete-filled steel tubular columns. Thin Wall. Struct. 2019, 135, 196–209. [Google Scholar] [CrossRef]
- Wang, Y.-T.; Cai, J.; Long, Y.-L. Hysteretic behavior of square CFT columns with binding bars. J. Constr. Steel Res. 2017, 131, 162–175. [Google Scholar] [CrossRef]
- Wang, J.; Sun, Q.; Li, J. Experimental study on seismic behavior of high-strength circular concrete-filled thin-walled steel tubular columns. Eng. Struct. 2019, 182, 403–415. [Google Scholar] [CrossRef]
- Qian, W.-W.; Li, W.; Han, L.-H.; Zhao, X.-L. Analytical behavior of concrete-encased CFST columns under cyclic lateral loading. J. Constr. Steel Res. 2016, 120, 206–220. [Google Scholar] [CrossRef]
- Cai, J.; Long, Y.-L. Buckling of steel plates in rectangular CFT columns with binding bars. J. Constr. Steel Res. 2009, 65, 965–972. [Google Scholar] [CrossRef]
- Long, Y.-L.; Cai, J. Stress–strain relationship of concrete confined by rectangular steel tubes with binding bars. J. Constr. Steel Res. 2013, 88, 1–14. [Google Scholar] [CrossRef]
- Thai, H.-T.; Uy, B.; Khan, M. A modified stress–strain model accounting for the buckling of thin-walled stub columns under axial compression. J. Constr. Steel Res. 2015, 111, 57–69. [Google Scholar] [CrossRef]
- Lie, T.T.; Irwin, R.J. Fire resistance of rectangular steel columns filled with bar-reinforced concrete. J. Struct. Eng. 1995, 121, 797–805. [Google Scholar] [CrossRef]
- Lv, X.T. Fire Resistance Behavior and Design of Concrete-Filled SHS in Non-Uniform Fires. Ph.D Thesis, Harbin Institute of Technology, Harbin, China, 2010. [Google Scholar]
- Lie, T.T. Fire resistance of circular steel columns filled with bar-reinforced concrete. J. Struct. Eng. 1994, 120, 1489–1509. [Google Scholar] [CrossRef]
- Guo, Z.H.; Shi, X.D. Experimental and Calculation of Reinforced Concrete at Elevated Temperatures, 1st ed.; Tsinghua University Press: Beijing, China, 2003. [Google Scholar]
- Hong, S. Fundamental Behavior and Stability of CFT Columns under Fire Loading. Ph.D. Thesis, Purdue University, West Lafayette, IN, USA, 2007. [Google Scholar]
- Wang, J.F. Effects of High-Temperatures on the Stiffness of Concrete-Filled Steel Tubular Column-To-Steel Beam Connections. Postdoctoral Report, Tsinghua University, Beijing, China, 2007. [Google Scholar]
- Han, L. Behaviors of concrete filled steel tubular axial compression member under high constant temperature. J. Harbin Insi. Tech. 1997, 30, 64–70. [Google Scholar]






















| Specimen | B × ts × H (mm × mm × mm) | Diameter of Stiffening Bar d × Spacing (mm × mm) | Temperature (°C) |
|---|---|---|---|
| DS-20 | 160 × 2 × 480 | 6 × 80 | 20 (Ambient Temperature) |
| DS-100 | 160 × 2 × 480 | 6 × 80 | 100 |
| DS-200-0 | 160 × 2 × 480 | none | 200 |
| DS-200 | 160 × 2 × 480 | 6 × 80 | 200 |
| DS-400 | 160 × 2 × 480 | 6 × 80 | 400 |
| DS-600-0 | 160 × 2 × 480 | none | 600 |
| DS-600 | 160 × 2 × 480 | 6 × 80 | 600 |
| DS-800 | 160 × 2 × 480 | 6 × 80 | 800 |
| Steel Types | fy (Mpa) | fu (Mpa) | Es (Mpa) | Elongation δ10 (%) |
|---|---|---|---|---|
| Steel plate (ts = 2 mm) | 338.5 | 451.3 | 197600 | 38.79 |
| Steel bar (ds = 6 mm) | 376.7 | 467.8 | 184300 | 26.7 |
| Fcu,28/(Mpa) | fcu,test (Mpa) | Ec,28 (× 104 Mpa) | Ec,test (× 104 Mpa) | Concrete Age (Day) |
|---|---|---|---|---|
| 32.3 | 41.9 | 2.241 | 3.527 | 97 |
| Specimen | DS-20 | DS-100 | DS-200-0 | DS-200 | DS-400 | DS-600-0 | DS-600 | DS-800 |
|---|---|---|---|---|---|---|---|---|
| Temperature (°C) | 20 | 100 | 200 | 200 | 400 | 600 | 600 | 800 |
| Time (min) | 0 | 1 | 2.5 | 2.5 | 5 | 7.5 | 7.5 | 10 |
| Specimen | EA (106 kN) | Ny (kN) | △y (mm) | Nu (kN) | △u (mm) | △0.85 (mm) | μ△ |
|---|---|---|---|---|---|---|---|
| DS-20 | 0.789 | 1079.487 | 1.763 | 1177.53 | 2.92 | 3.62 | 1.24 |
| DS-100 | 0.696 | 951.060 | 2.208 | 1086.63 | 3.15 | 4.91 | 1.56 |
| DS-200 | 0.672 | 858.748 | 2.725 | 1032.73 | 5.46 | 7.63 | 1.40 |
| DS-400 | 0.291 | 763.468 | 6.822 | 969.78 | 12.61 | 15.93 | 1.26 |
| DS-600 | 0.219 | 568.282 | 8.901 | 758.89 | 14.59 | 19.79 | 1.36 |
| DS-800 | 0.075 | 215.331 | 9.303 | 284.62 | 15.85 | 21.25 | 1.34 |
| DS-200-0 | 0.675 | 847.427 | 2.749 | 1050.72 | 4.15 | 6.06 | 1.46 |
| DS-600-0 | 0.221 | 523.305 | 7.494 | 695.92 | 12.87 | 17.22 | 1.34 |
| Specimen | D (mm) | t (mm) | fcu (MPa) | fy (MPa) | Temperature (°C) |
|---|---|---|---|---|---|
| SC-1 | 133 | 4.5 | 40.8 | 324 | 20 |
| SC-2 | 133 | 4.5 | 40.8 | 324 | 200 |
| SC-3 | 133 | 4.5 | 40.8 | 324 | 300 |
| SC-4 | 133 | 4.5 | 40.8 | 324 | 500 |
| SC-5 | 133 | 4.5 | 40.8 | 324 | 600 |
| SC-6 | 133 | 4.5 | 40.8 | 324 | 900 |
© 2019 by the authors. Licensee MDPI, Basel, Switzerland. This article is an open access article distributed under the terms and conditions of the Creative Commons Attribution (CC BY) license (http://creativecommons.org/licenses/by/4.0/).
Share and Cite
Lyu, X.; Xu, Y.; Xu, Q.; Yu, Y. Axial Compression Performance of Square Thin Walled Concrete-Filled Steel Tube Stub Columns with Reinforcement Stiffener under Constant High-Temperature. Materials 2019, 12, 1098. https://doi.org/10.3390/ma12071098
Lyu X, Xu Y, Xu Q, Yu Y. Axial Compression Performance of Square Thin Walled Concrete-Filled Steel Tube Stub Columns with Reinforcement Stiffener under Constant High-Temperature. Materials. 2019; 12(7):1098. https://doi.org/10.3390/ma12071098
Chicago/Turabian StyleLyu, Xuetao, Yang Xu, Qian Xu, and Yang Yu. 2019. "Axial Compression Performance of Square Thin Walled Concrete-Filled Steel Tube Stub Columns with Reinforcement Stiffener under Constant High-Temperature" Materials 12, no. 7: 1098. https://doi.org/10.3390/ma12071098
APA StyleLyu, X., Xu, Y., Xu, Q., & Yu, Y. (2019). Axial Compression Performance of Square Thin Walled Concrete-Filled Steel Tube Stub Columns with Reinforcement Stiffener under Constant High-Temperature. Materials, 12(7), 1098. https://doi.org/10.3390/ma12071098

