Yb-Doped BaCeO3 and Its Composite Electrolyte for Intermediate-Temperature Solid Oxide Fuel Cells
Abstract
1. Introduction
2. Materials and Methods
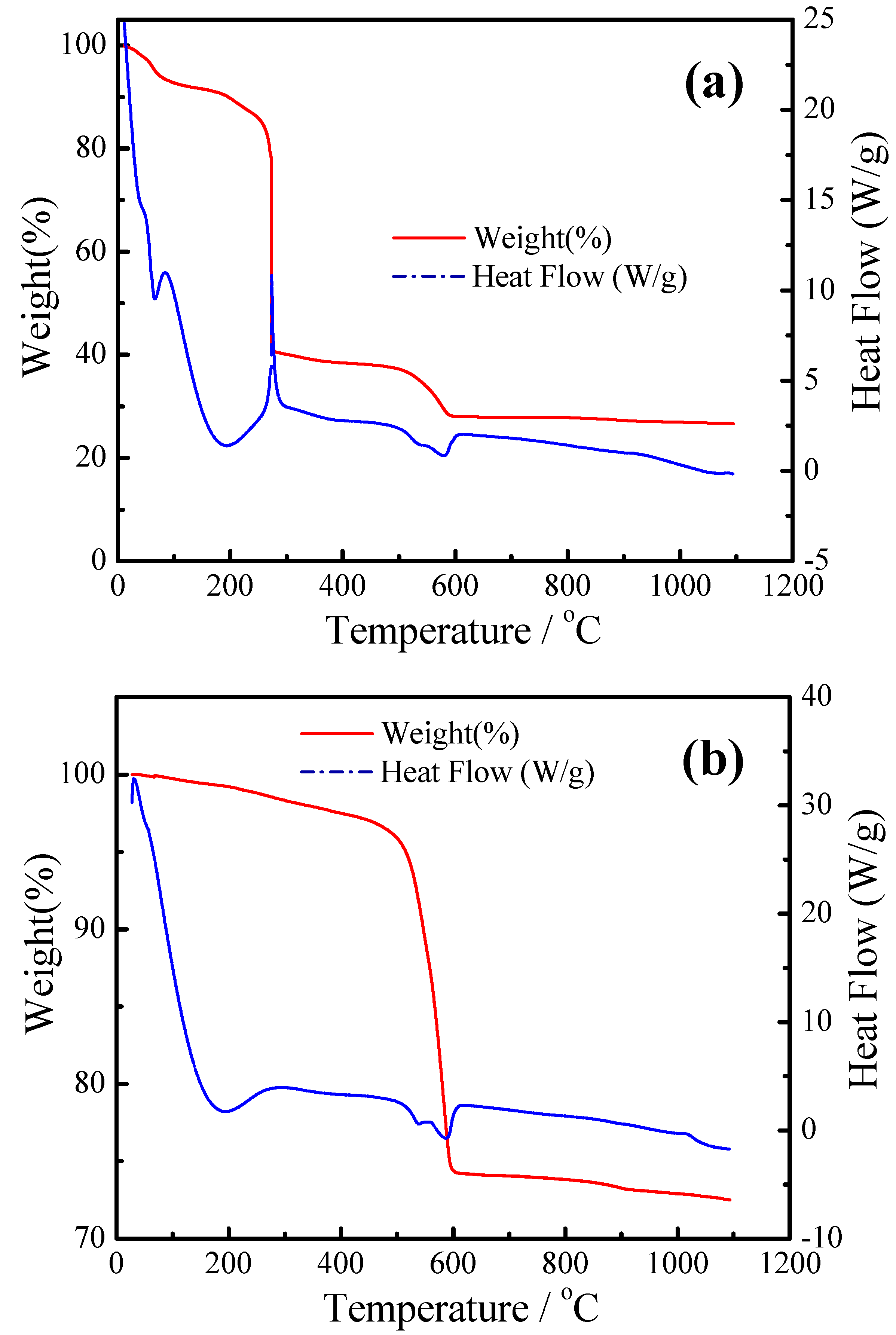
3. Results and Discussion
4. Conclusions
Author Contributions
Funding
Conflicts of Interest
References
- Lo Faro, M.; Trocino, S.; Zignani, S.C.; Italiano, C.; Vita, A.; Aricò, A.S. Study of a solid oxide fuel cell fed with n-dodecane reformate. Part II: Effect of the reformate composition. Int. J. Hydrog. Energy 2017, 42, 1751–1757. [Google Scholar]
 - Fragiacomo, P.; De. Lorenzo, G.; Corigliano, O. Performance Analysis of an intermediate temperature solid oxide electrolyzer test bench under a CO2-H2O feed stream. Energies 2018, 11, 2276. [Google Scholar] [CrossRef]
 - Yang, C.; Ren, C.; Yu, L.; Jin, C. High performance intermediate temperature micro-tubular SOFCs with Ba0.9Co0.7Fe0.2Nb0.1O3−δ as cathode. Int. J. Hydrog. Energy 2013, 38, 15348–15353. [Google Scholar] [CrossRef]
 - Miyake, M.; Matsumoto, S.; Iwami, M.; Nishimoto, S.; Kameshima, Y. Electrochemical performances of Ni1−xCux/SDC cermet anodes for intermediate-temperature SOFCs using syngas fuel. Int. J. Hydrog. Energy 2016, 41, 13625–13631. [Google Scholar] [CrossRef]
 - De. Lorenzo, G.; Fragiacomo, P. Electrical and thermal analysis of an intermediate temperature IIR-SOFC system fed by biogas. Energy Sci. Eng. 2018, 6, 60–72. [Google Scholar] [CrossRef]
 - Milewski, J.; Wołowicz, M.; Lewandowski, J. Comparison of SOE/SOFC system configurations for a peak hydrogen power plant. Int. J. Hydrog. Energy 2017, 42, 3498–3509. [Google Scholar] [CrossRef]
 - Kim, H.-S.; Bae, H.B.; Jung, W.; Chung, S.-Y. Manipulation of nanoscale intergranular phases for high proton conduction and decomposition tolerance in BaCeO3 polycrystals. Nano Lett. 2018, 18, 1110–1117. [Google Scholar] [CrossRef] [PubMed]
 - Gong, Z.; Sun, W.; Jin, Z.; Miao, L.; Liu, W. Barium- and strontium-containing anode materials toward ceria-based solid oxide fuel cells with high open circuit voltages. ACS Appl. Energy Mater. 2018, 1, 3521–3528. [Google Scholar] [CrossRef]
 - Pikalova, E.; Medvedev, D. Effect of anode gas mixture humidification on the electrochemical performance of the BaCeO3-based protonic ceramic fuel cell. Int. J. Hydrog. Energy 2016, 41, 4016–4025. [Google Scholar] [CrossRef]
 - Bae, S.Y.; Park, J.-Y.; Lim, H.-T. Investigation of electronic transport property and durability of BCY-BZY electrolyte cells using embedded probes. Electrochim. Acta 2017, 236, 399–407. [Google Scholar] [CrossRef]
 - Sun, H.; Zhang, S.; Li, C.; Rainwater, B.; Liu, Y.; Zhang, L.; Zhang, Y.; Li, C.; Liu, M. Atmospheric plasma-sprayed BaZr0.1Ce0.7Y0.1Yb0.1O3−δ(BZCYYb) electrolyte membranes for intermediate- temperature solid oxide fuel cells. Ceram. Int. 2016, 42, 19231–19236. [Google Scholar] [CrossRef]
 - Danilov, N.; Pikalova, E.; Lyagaeva, J.; Antonov, B.; Medvedev, D.; Demin, A.; Tsiakaras, P. Grain and grain boundary transport in BaCe0.5Zr0.3Ln0.2O3−δ(Ln-Y or lanthanide) electrolytes attractive for protonic ceramic fuel cells application. J. Power Sources 2017, 366, 161–168. [Google Scholar] [CrossRef]
 - Xiao, J.; Chen, L.; Yuan, H.; Ji, L.; Xiong, C.; Ma, J.; Zhu, X. Fabrication and characterization of BaZr0.1Ce0.7Y0.2O3−δ based anode supported solid oxide fuel cells by tape casting combined with spray coating. Mater. Lett. 2017, 189, 192–195. [Google Scholar] [CrossRef]
 - Lyagaeva, J.; Vdovin, G.; Hakimova, L.; Medvedev, D.; Demin, A.; Tsiakaras, P. BaCe0.5Zr0.3Y0.2–xYbxO3−δ proton-conducting electrolytes for intermediate-temperature solid oxide fuel cells. Electrochim. Acta 2017, 251, 554–561. [Google Scholar] [CrossRef]
 - Wang, W.; Medvedev, D.; Shao, Z. Gas humidification impact on the properties and performance of perovskite-type functional materials in proton-conducting solid oxide cells. Adv. Funct. Mater. 2018, 1802592. [Google Scholar] [CrossRef]
 - Minakshi, M.; Nallathamby, K.; Mitchell, D.R.G. Electrochemical characterization of an aqueous lithium rechargeable battery: The effect of CeO2 additions to the MnO2 cathode. J. Alloy Compd. 2009, 479, 87–90. [Google Scholar] [CrossRef]
 - Sun, L.; Miao, H.; Wang, H. Novel SrCe1−xYbxO3−α-(Na/K)Cl composite electrolytes for intermediate temperature solid oxide fuel cells. Solid State Ion. 2017, 311, 41–45. [Google Scholar] [CrossRef]
 - Zhang, Z.; Chen, L.; Li, Q.; Song, T.; Su, J.; Cai, B.; He, H. High performance In, Ta and Y-doped BaCeO3 electrolyte membrane for proton-conducting solid oxide fuel cells. Solid State Ion. 2018, 323, 25–31. [Google Scholar] [CrossRef]
 - Wang, H.; Han, Y.; Shi, R.; Sheng, L.; Guan, Q.; Liu, J. BaCe0.9Er0.1O3−α-NaCl-KCl composite as electrolyte for intermediate temperature solid oxide fuel cells. Int. J. Electrochem. Sci. 2019, 14, 755–763. [Google Scholar] [CrossRef]
 - Guo, Y.; Liu, B.; Yang, Q.; Chen, C.; Wang, W.; Ma, G. Preparation via microemulsion method and proton conduction at intermediate-temperature of BaCe1−xYxO3−α. Electrochem. Commun. 2009, 11, 153–156. [Google Scholar] [CrossRef]
 - Vilela, C.; Martins, A.P.C.; Sousa, N.; Silvestre, A.J.D.; Figueiredo, F.M.L.; Freire, C.S.R. Poly(bis[2-(methacryloyloxy)ethyl]phosphate)/bacterial cellulose nanocomposites: Preparation, characterization and application as polymer electrolyte membranes. Appl. Sci. 2018, 8, 1145. [Google Scholar] [CrossRef]
 - Xia, C.; Qiao, Z.; Feng, C.; Kim, J.; Wang, B.; Zhu, B. Study on zinc oxide-based electrolytes in low-temperature solid oxide fuel cells. Materials 2018, 11, 40. [Google Scholar] [CrossRef] [PubMed]
 - Fang, X.; Zhu, J.; Lin, Z. Effects of electrode composition and thickness on the mechanical performance of a solid oxide fuel cell. Energies 2018, 11, 1735. [Google Scholar] [CrossRef]
 - Bernuy-Lopez, C.; Rioja-Monllor, L.; Nakamura, T.; Ricote, S.; O’Hayre, R.; Amezawa, K.; Einarsrud, M.; Grande, T. Effect of cation ordering on the performance and chemical stability of layered double perovskite cathodes. Materials 2018, 11, 196. [Google Scholar] [CrossRef] [PubMed]
 - Morejudo, S.H.; Zanón, R.; Escolástico, S.; Yuste-Tirados, I.; Malerød-Fjeld, H.; Vestre, P.K.; Coors, W.G.; Martínez, A.; Norby, T.; Serra, J.M.; et al. Direct conversion of methane to aromatics in a catalytic co-ionic membrane reactor. Science 2016, 353, 563–566. [Google Scholar] [CrossRef] [PubMed]
 - Duan, C.; Tong, J.; Shang, M.; Nikodemski, S.; Sanders, M.; Ricote, S.; Almonsoori, A.; O’Hayre, R. Readily processed protonic ceramic fuel cells with high performance at low temperatures. Science 2015, 349, 1321–1326. [Google Scholar] [CrossRef] [PubMed]
 - Liu, F.; Dang, J.; Hou, J.; Qian, J.; Zhu, Z.; Wang, Z.; Liu, W. Study on new BaCe0.7In0.3O3−δ-Gd0.1Ce0.9O2−δ composite electrolytes for intermediate-temperature solid oxide fuel cells. J. Alloy Compd. 2015, 639, 252–258. [Google Scholar] [CrossRef]
 - Park, K.-Y.; Lee, T.-H.; Jo, S.; Yang, J.; Song, S.-J.; Lim, H.-T.; Kim, J.H.; Park, J.-Y. Electrical and physical properties of composite BaZr0.85Y0.15O3−δ-Nd0.1Ce0.9O2−δ electrolytes for intermediate temperature-solid oxide fuel cells. J. Power Sources 2016, 336, 437–446. [Google Scholar] [CrossRef]
 - Rondao, A.I.B.; Patricio, S.G.; Figueiredo, F.M.L.; Marques, F.M.B. Composite electrolytes for fuel cells: Long-term stability under variable atmosphere. Int. J. Hydrog. Energy 2014, 39, 5460–5469. [Google Scholar] [CrossRef]
 - Martins, N.C.T.; Rajesh, S.; Marques, F.M.B. Synthesis and electrochemical assessment of Ce0.5Yb0.5O1.75 ceramics and derived composite electrolytes. Mater. Res. Bull. 2015, 70, 449–455. [Google Scholar] [CrossRef]
 - Park, K.-Y.; Lee, T.-H.; Kim, J.-T.; Lee, N.; Seo, Y.; Song, S.-J.; Park, J.-Y. Highly conductive barium zirconate-based carbonate composite electrolytes for intermediate temperature-protonic ceramic fuel cells. J. Alloy Compd. 2014, 585, 103–110. [Google Scholar] [CrossRef]
 - Hei, Y.; Huang, J.; Wang, C.; Mao, Z. Novel doped barium cerate-carbonate composite electrolyte material for low temperature solid oxide fuel cells. Int. J. Hydrog. Energy 2014, 39, 14328–14333. [Google Scholar] [CrossRef]
 - Zhang, W.; Yuan, M.; Wang, H.; Liu, J. High-performance intermediate temperature fuel cells of new SrCe0.9Yb0.1O3−α-inorganic salt composite electrolytes. J. Alloy Compd. 2016, 677, 38–41. [Google Scholar]
 - Shi, R.; Liu, J.; Wang, H.; Wu, F.; Miao, H. Intermediate temperature fuel cell durability of Eu-doped SrCeO3-SrZrO3 solid solution/NaCl-KCl composite electrolyte. Ceram. Int. 2017, 43, 16931–16935. [Google Scholar] [CrossRef]
 - Song, J.; Meng, B.; Tan, X. Stability and electrical conductivity of BaCe0.85Tb0.05M0.1O3−δ (M = Co, Fe, Y, Zr, Mn) high temperature proton conductors. Ceram. Int. 2016, 42, 13278–13284. [Google Scholar] [CrossRef]
 - Shi, R.; Liu, J.; Wang, H.; Wu, F.; Miao, H.; Cui, Y. Low temperature synthesis of SrCe0.9Eu0.1O3−α by sol-gel method and SrCe0.9Eu0.1O3−α-NaCl-KCl composite electrolyte for intermediate temperature fuel cells. Int. J. Electrochem. Sci. 2017, 12, 11594–11601. [Google Scholar] [CrossRef]
 - Reddy, G.S.; Bauri, R. Y and In-doped BaCeO3-BaZrO3 solid solutions: Chemically stable and easily sinterable proton conducting oxides. J. Alloy Compd. 2016, 688, 1039–1046. [Google Scholar] [CrossRef]
 - Liu, X.; Fechler, N.; Antonietti, M. Salt melt synthesis of ceramics, semiconductors and carbon nanostructures. Chem. Soc. Rev. 2013, 42, 8237–8265. [Google Scholar] [CrossRef] [PubMed]
 - Matsuda, A.; Oh, S.; Nguyen, V.H.; Daiko, Y.; Kawamura, G.; Muto, H. Anhydrous proton conductivity of KHSO4-H3PW12O40 composites and the correlation with hydrogen bonding distance under ambient pressure. Electrochim. Acta 2011, 56, 9364–9369. [Google Scholar] [CrossRef]
 - Soo, M.T.; Prastomo, N.; Matsuda, A.; Kawamura, G.; Muto, H.; Noor, A.F.M.; Lockman, Z.; Cheong, K.Y. Elaboration and characterization of sol-gel derived ZrO2 thin films treated with hot water. Appl. Surf. Sci. 2012, 258, 5250–5258. [Google Scholar] [CrossRef]
 - Zhu, B.; Li, S.; Mellander, B.E. The oretical approach on ceria-based two-phase electrolytes for low temperature (300–600 °C) solid oxide fuel cells. Electrochem. Commun. 2008, 10, 302–305. [Google Scholar] [CrossRef]
 - Presto, S.; Viviani, M. Effect of CuO on microstructure and conductivity of Y-doped BaCeO3. Solid State Ion. 2016, 295, 111–116. [Google Scholar] [CrossRef]
 - Verma, M.L.; Minakshi, M.; Singh, N.K. Synthesis and characterization of solid polymer electrolyte based on activated carbon for solid state capacitor. Electrochim. Acta 2014, 137, 497–503. [Google Scholar] [CrossRef]
 - Chen, M.; Zhang, H.; Fan, L.; Wang, C.; Zhu, B. Ceria-carbonate composite for low temperature solid oxide fuel cell: Sintering aid and composite effect. Int. J. Hydrog. Energy 2014, 39, 12309–12316. [Google Scholar] [CrossRef]
 







| Electrolytes | Highest Power Densities | 
|---|---|
| BaCe0.9Yb0.1O3−α-NaCl~KCl (80: 20) | 393 mW·cm−2 (thickness = 1.0 mm), 700 °C, in this work | 
| BaCe0.7Zr0.1Y0.2O3−δ-(Li/Na)2CO3 (80: 20) | 957 mW·cm−2 (thickness = 0.4 mm), 600 °C, [32] | 
| Ce0.8Sm0.2O1.9-(Li/Na)2CO3 (60: 40) | 240 mW·cm−2, 575 °C, [44] | 
| BaCe0.7In0.15Ta0.05Y0.1O3−δ | 303 mW·cm−2 (thickness = 25 µm), 700 °C, [18] | 
© 2019 by the authors. Licensee MDPI, Basel, Switzerland. This article is an open access article distributed under the terms and conditions of the Creative Commons Attribution (CC BY) license (http://creativecommons.org/licenses/by/4.0/).
Share and Cite
Jiang, X.; Wu, F.; Wang, H. Yb-Doped BaCeO3 and Its Composite Electrolyte for Intermediate-Temperature Solid Oxide Fuel Cells. Materials 2019, 12, 739. https://doi.org/10.3390/ma12050739
Jiang X, Wu F, Wang H. Yb-Doped BaCeO3 and Its Composite Electrolyte for Intermediate-Temperature Solid Oxide Fuel Cells. Materials. 2019; 12(5):739. https://doi.org/10.3390/ma12050739
Chicago/Turabian StyleJiang, Xueyue, Fufang Wu, and Hongtao Wang. 2019. "Yb-Doped BaCeO3 and Its Composite Electrolyte for Intermediate-Temperature Solid Oxide Fuel Cells" Materials 12, no. 5: 739. https://doi.org/10.3390/ma12050739
APA StyleJiang, X., Wu, F., & Wang, H. (2019). Yb-Doped BaCeO3 and Its Composite Electrolyte for Intermediate-Temperature Solid Oxide Fuel Cells. Materials, 12(5), 739. https://doi.org/10.3390/ma12050739
        