Thermal Behavior of Sweet Potato Starch by Non-Isothermal Thermogravimetric Analysis
Abstract
1. Introduction
2. Materials and Methods
2.1. Materials
2.2. Methods
2.2.1. X-ray Diffraction
2.2.2. TG/DSC Analysis
2.2.3. Thermogravimetry-Fourier Transform Infrared Spectroscopy (TG-FTIR) Test
2.2.4. Crystallinity Index (Xc)
2.3. Theoretical Background
2.3.1. The Kissinger Technique
2.3.2. Flynn–Wall–Ozawa Technique
2.3.3. Šatava–Šesták Technique
3. Results
3.1. Structural Analysis of the Potato Starch
3.2. Thermal Degradation
3.3. Kinetics of Thermal Decomposition Analysis
3.3.1. The Kissinger Model
3.3.2. Flynn–Wall–Ozawa Model
3.3.3. Šatava–Šesták Model
3.4. DSC Studies
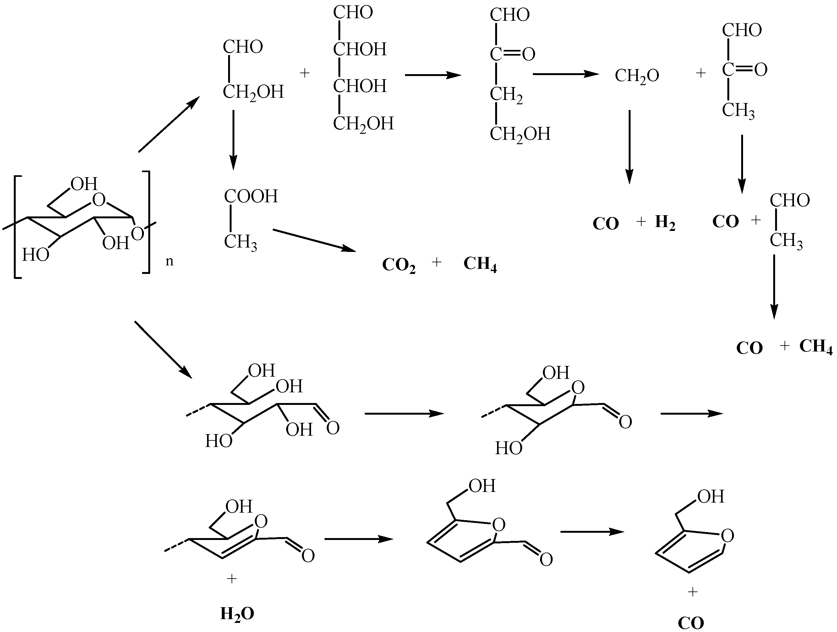
3.5. TG-FTIR Analysis
4. Conclusions
Author Contributions
Funding
Conflicts of Interest
References
- Pineda-Gómez, P.; Angel-Gil, N.C.; Valencia-Muñoz, C.; Rosales-Rivera, A.; Rodríguez-García, M.E. Thermal degradation of starch sources: Green banana, potato, cassava, and corn-kinetic study by non-isothermal procedures. Starch–Stärke 2014, 66, 691–699. [Google Scholar] [CrossRef]
- Lozano-Navarro, J.I.; Díaz-Zavala, N.P.; Velasco-Santos, C.; Melo-Banda, J.A.; Páramo-García, U.; Paraguay-Delgado, F.; García-Alamilla, R.; Martínez-Hernández, A.L.; Zapién-Castillo, S. Chitosan-Starch Films with Natural Extracts: Physical, Chemical, Morphological and Thermal Properties. Materials 2018, 11, 120. [Google Scholar] [CrossRef] [PubMed]
- Gaaz, T.S.; Sulong, A.B.; Ansari, M.N.M.; Kadhum, A.A.H.; Al-Amiery, A.A.; Nassir, M.H. Effect of Starch Loading on the Thermo-Mechanical and Morphological Properties of Polyurethane Composites. Materials 2017, 10, 777. [Google Scholar] [CrossRef] [PubMed]
- Rueda-Ordóñez, Y.J.; Tannous, K. Drying and thermal decomposition kinetics of sugarcane straw bynonisothermal thermogravimetric analysis. Bioresour. Technol. 2018, 264, 131–139. [Google Scholar] [CrossRef] [PubMed]
- Mohomane, S.M.; Motaung, T.E.; Revaprasadu, N. Thermal Degradation Kinetics of Sugarcane Bagasse and Soft Wood Cellulose. Materials 2017, 10, 1246. [Google Scholar] [CrossRef] [PubMed]
- Yang, L.T.; Liu, Y.; Ma, C.P.; Wu, Y.J.; Liu, W.; Zhang, C.; Wang, F.C.; Li, L.X. Kinetics of Non-Isothermal Decomposition and Flame Retardancy of Goatskin Fiber Treated with Melamine-Based Flame Retardant. Fiber Polym. 2016, 17, 1018–1024. [Google Scholar] [CrossRef]
- Xu, W.L.; Li, J.X.; Liu, F.M.; Jiang, Y.P.; Li, Z.J.; Li, L.X. Study on the thermal decomposition kinetics and flammability performance of a flame-retardant leather. J. Therm. Anal. Calori. 2017, 128, 1107–1116. [Google Scholar] [CrossRef]
- Wang, F.; Qian, D.S.; Xiao, P.; Deng, S. Accelerating Cementite Precipitation during the Non-Isothermal Process by Applying Tensile Stress inGCr15 Bearing Steel. Materials 2018, 11, 2403. [Google Scholar] [CrossRef] [PubMed]
- Yang, L.T.; Liu, Y.; Wu, Y.J.; Deng, L.L.; Liu, W.; Ma, C.P.; Li, L.X. Thermal degradation kinetics of leather fibers treated with fire-retardant melamine resin. J. Therm. Anal. Calori. 2016, 123, 413–420. [Google Scholar] [CrossRef]
- Liu, X.X.; Wang, Y.F.; Yu, L.; Tong, Z.; Chen, L.; Liu, H.S.; Li, X. Thermal degradation and stability of starch under different processing conditions. Starch–Stärke 2013, 65, 48–60. [Google Scholar] [CrossRef]
- Liu, X.X.; Yu, L.; Xie, F.W.; Li, M.; Chen, L.; Li, X.X. Kinetics and mechanism of thermal decomposition of cornstarch with different amylose/amylopectin ratios. Starch–Stärke 2010, 62, 139–146. [Google Scholar] [CrossRef]
- Olayinka, F.S.; Olayinka, O.O.; Olu-Owolabi, B.I.; Adebowale, K.O. Effect of chemical modifications on thermal, rheological and morphological properties of yellow sorghum starch. J. Food Sci. Technol. 2015, 52, 8364–8370. [Google Scholar] [CrossRef] [PubMed]
- Guinesi, L.S.; da Róz, A.L.; Corradini, E.; Mattoso, L.H.C.; Teixeira, E.M.; Curvelo, A.A.S. Kinetics of thermal degradation applied to starches from different botanical origins by non-isothermal procedures. Thermochim. Acta 2006, 447, 190–196. [Google Scholar] [CrossRef]
- Li, J.; Song, H.G.; Dong, N.; Zhao, G.H. Degradation kinetics of anthocyanins from purple sweet potato (Ipomoea batatas L.) as affected by ascorbic acid. Food Sci. Biotechnol. 2014, 23, 89–96. [Google Scholar] [CrossRef]
- Budrugeac, P. The evaluation of the non-isothermal kinetic parameters of the thermal and thermo-oxidative degradation of polymers and polymeric materials: its use and abuse. Polym. Degrad. Stab. 2001, 71, 185–187. [Google Scholar] [CrossRef]
- Kissinger, H.E. Reaction kinetics in differential thermal analysis. Anal. Chem. 1957, 29, 1702–1706. [Google Scholar] [CrossRef]
- Flynn, J.H.; Wall, L.A. A Quick, Direct Method for the Determination of Activation Energy from Thermogravimetric Data. J. Polym. Sci. Part B Polym. Lett. 1966, 4, 323–328. [Google Scholar] [CrossRef]
- Hu, R.Z.; Gao, S.L.; Zhao, F.Q.; Shi, Q.Z.; Zhang, T.L.; Zhang, J.J. Thermo Analysis Kinetics (in Chinese), 2nd ed.; Science Press: Beijing, China, 2008; pp. 254–296. [Google Scholar]
- Cai, C.H.; Zhao, L.X.; Huang, J.; Chen, Y.F.; Wei, C.X. Morphology, structure and gelatinization properties of heterogeneous starch granules from high-amylose maize. Carbohyd. Polym. 2014, 102, 606–614. [Google Scholar] [CrossRef] [PubMed]
- Zhang, T.; Oates, C.G. Relationship between α-amylase degradation and physico-chemical properties of sweet potato starches. Food Chem. 1999, 65, 157–163. [Google Scholar] [CrossRef]
- Garcı̀a-Pèrez, M.; Chaala, A.; Yang, J.; Roy, C. Co-pyrolysis of sugarcane bagasse with petroleum residue. Part I: thermogravimetric analysis. Fuel 2001, 80, 1245–1258. [Google Scholar] [CrossRef]
- Jeguirim, M.; Trouvé, G. Pyrolysis characteristics and kinetics of Arundo donax using thermogravimetric analysis. Bioresour. Technol. 2009, 100, 4026–4031. [Google Scholar] [CrossRef] [PubMed]
- Vamvuka, D.; Kakaras, E.; Kastanaki, E.; Grammelis, P. Pyrolysis characteristics and kinetics of biomass residuals mixtures with lignite. Fuel 2003, 82, 1949–1960. [Google Scholar] [CrossRef]
- Huang, M.X.; Zhou, C.R.; Han, X.W. Investigation of thermal decomposition kinetics of taurine. J. Therm. Anal. Calorim. 2013, 113, 589–593. [Google Scholar] [CrossRef]
- Lopez-Velazquez, M.A.; Santes, V.; Balmaseda, J.; Torres-Garcia, E. Pyrolysis of orange waste: A thermo-kinetic study. J. Anal. Appl. Pyrol. 2013, 99, 170–177. [Google Scholar] [CrossRef]
- Yao, F.; Wu, Q.L.; Lei, Y.; Guo, W.H.; Xu, Y.J. Thermal decomposition kinetics of natural fibers: Activation energy with dynamic thermogravimetric analysis. Polym. Degrad. Stabil. 2008, 93, 90–98. [Google Scholar] [CrossRef]
- Brown, M.E.; Maciejewski, M.; Vyazovkin, S.; Nomen, R.; Sempere, J.; Burnham, A.; Opfermann, J.; Strey, R.; Anderson, H.L.; Kemmler, A.; et al. Computational aspects of kinetic analysis: Part A: The ICTAC kinetics project-data, methods and results. Thermochim. Acta 2000, 355, 125–143. [Google Scholar] [CrossRef]








| Heating Rate | Tsd/°C | T5%/°C | T10%/°C | T50%/°C | Tmax/°C |
|---|---|---|---|---|---|
| 5 °C·min−1 | 45.50 | 83.07 | 289.95 | 316.98 | 308.37 |
| 10 °C·min−1 | 45.50 | 286.45 | 302.84 | 327.81 | 321.70 |
| 15 °C·min−1 | 45.50 | 314.07 | 318.98 | 349.88 | 325.98 |
| 20 °C·min−1 | 45.50 | 303.49 | 313.68 | 333.11 | 320.32 |
| β/(°C·min−1) | 5 | 10 | 15 | 20 |
|---|---|---|---|---|
| R2 | 0.9940 | 0.9920 | 0.9990 | 0.9980 |
| Slope | −9.495 | −9.710 | −9.549 | −9.553 |
| E(kJ·mol−1) | 172.85 | 176.77 | 173.84 | 173.91 |
© 2019 by the authors. Licensee MDPI, Basel, Switzerland. This article is an open access article distributed under the terms and conditions of the Creative Commons Attribution (CC BY) license (http://creativecommons.org/licenses/by/4.0/).
Share and Cite
Liu, Y.; Yang, L.; Ma, C.; Zhang, Y. Thermal Behavior of Sweet Potato Starch by Non-Isothermal Thermogravimetric Analysis. Materials 2019, 12, 699. https://doi.org/10.3390/ma12050699
Liu Y, Yang L, Ma C, Zhang Y. Thermal Behavior of Sweet Potato Starch by Non-Isothermal Thermogravimetric Analysis. Materials. 2019; 12(5):699. https://doi.org/10.3390/ma12050699
Chicago/Turabian StyleLiu, Ying, Liutao Yang, Chunping Ma, and Yingzhe Zhang. 2019. "Thermal Behavior of Sweet Potato Starch by Non-Isothermal Thermogravimetric Analysis" Materials 12, no. 5: 699. https://doi.org/10.3390/ma12050699
APA StyleLiu, Y., Yang, L., Ma, C., & Zhang, Y. (2019). Thermal Behavior of Sweet Potato Starch by Non-Isothermal Thermogravimetric Analysis. Materials, 12(5), 699. https://doi.org/10.3390/ma12050699
