Investigation of Ferroelectric Grain Sizes and Orientations in Pt/CaxSr1–xBi2Ta2O9/Hf–Al–O/Si High Performance Ferroelectric-Gate Field-Effect-Transistors
Abstract
1. Introduction
2. Experimental
2.1. Fabrication of FeFETs and Electrical Characterization
2.2. EBSD Sample Preparation
2.3. EBSD Scanning
3. Results and Discussion
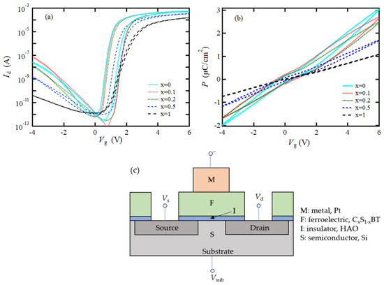
3.1. Electrical Properties of CxS1–xBT FeFETs with Varying x
3.2. EBSD Characterization Results for CxS1–xBT FeFETs with Varying x
3.3. Energy Dispersive X-ray Spectroscopy Characterization of CBT
3.4. X-ray Diffraction for CxS1–xBT
3.5. Comparison of Electrical Properties with Results of EBSD and Other Characterizations
3.6. EBSD Characterization for C0.1S0.9BT with Various Annealing Temperatures
4. Conclusions
Author Contributions
Acknowledgments
Conflicts of Interest
References
- Tarui, Y.; Hirai, T.; Teramoto, K.; Koike, H.; Nagashima, K. Application of the ferroelectric materials to ULSI memories. Appl. Surf. Sci. 1997, 113–114, 656–663. [Google Scholar] [CrossRef]
- Scott, J.F. Ferroelectric Memories. In Advanced Microelectronics; Springer Series; Springer: Berlin/Heidelberg, Germany, 2000; Chapter 12. [Google Scholar]
- Sakai, S.; Takahashi, M. Recent progress of ferroelectric-gate field-effect transistors and applications to nonvolatile logic and FeNAND flash memory. Materials 2010, 3, 4950–4964. [Google Scholar] [CrossRef] [PubMed]
- Böscke, T.S.; Müller, J.; Bräuhaus, D.; Schröder, U.; Böttger, U. Ferroelectricity in hafnium oxide: CMOS compatible ferroelectric field effect transistors. In Proceedings of the 2011 IEEE International Electron Devices Meeting, Washington, DC, USA, 5–7 December 2011; pp. 24.5.1–24.5.4. [Google Scholar] [CrossRef]
- Sakai, S.; Zhang, X.Z.; Hai, L.V.; Zhang, W.; Takahashi, M. Downsizing and memory array integration of Pt/SrBi2Ta2O9/Hf-Al-O/Si ferroelectric-gate field-effect transistors. In Proceedings of the 2012 12th Annual Non-Volatile Memory Technology Symposium, Singapore, 31 October–2 November 2012; pp. 55–59. [Google Scholar] [CrossRef]
- Müller, J.; Polakowski, P.; Mueller, S.; Mikolajick, T. Ferroelectric hafnium oxide based materials and devices: Assessment of current status and future prospects. ECS Trans. 2014, 64, 159–168. [Google Scholar] [CrossRef]
- Okuyama, M. Features, principles and development of ferroelectric-gate field-effect transistors. In Ferroelectric-Gate Field Effect Transistor Memories: Device Physics and Applications; Book Series: Topics in Applied Physics; Springer: Dordrecht, The Netherlands, 2016; Volume 131, pp. 3–20. [Google Scholar] [CrossRef]
- Sakai, S.; Takahashi, M.; Takeuchi, K.; Li, Q.-H.; Horiuchi, T.; Wang, S.; Yun, K.-Y.; Takamiya, M.; Sakurai, T. Highly scalable Fe(ferroelectric)-NAND cell with MFIS(metal-ferroelectric-insulator-semiconductor) structure for sub-10nm tera-bit capacity NAND flash memories. In Proceedings of the 2008 Joint Non-Volatile Semiconductor Memory Workshop and International Conference on Memory Technology and Design, Opio, France, 18–22 May 2008; pp. 103–105. [Google Scholar] [CrossRef]
- Wang, S.; Takahashi, M.; Li, Q.-H.; Takeuchi, K.; Sakai, S. Operational method of a ferroelectric (Fe)-NAND flash memory array. Semicond. Sci. Technol. 2009, 24, 105029. [Google Scholar] [CrossRef]
- Zhang, X.; Takahashi, M.; Sakai, S. FeFET logic circuits for operating a 64 kb FeNAND flash memory array. Integr. Ferroelectr. 2012, 132, 114–121. [Google Scholar] [CrossRef]
- Zhang, X.; Takahashi, M.; Takeuchi, K.; Sakai, S. 64 kbit ferroelectric-gate-transistor-integrated NAND flash memory with 7.5 V program and long data retention. Jpn. J. Appl. Phys. 2012, 51, 04DD01. [Google Scholar] [CrossRef]
- Takahashi, M.; Horiuchi, T.; Li, Q.-H.; Wang, S.; Yun, K.-Y.; Sakai, S. Basic operation of novel ferroelectric CMOS circuits. Electron. Lett. 2008, 44, 467–469. [Google Scholar] [CrossRef]
- Takahashi, M.; Wang, S.; Horiuchi, T.; Sakai, S. FeCMOS logic inverter circuits with nonvolatile-memory function. IEICE Electron. Express 2009, 6, 831–836. [Google Scholar] [CrossRef]
- Zhang, W.; Takahashi, M.; Sasaki, Y.; Kusuhara, M.; Sakai, S. 3.3 V write-voltage Ir/Ca0.2Sr0.8Bi2Ta2O9/HfO2/Si ferroelectric-gate field-effect transistors with 109 endurance and good retention. Jpn. J. Appl. Phys. 2017, 56, 04CE04. [Google Scholar] [CrossRef]
- Sakai, S.; Ilangovan, R. Metal-ferroelectric-insulator-semiconductor memory FET with long retention and high endurance. IEEE Electron Device Lett. 2004, 25, 369–371. [Google Scholar] [CrossRef]
- Sakai, S.; Ilangovan, R.; Takahashi, M. Pt/SrBi2Ta2O9/Hf-Al-O/Si field-effect-transistor with long retention using unsaturated ferroelectric polarization switching. Jpn. J. Appl. Phys. 2004, 43, 7876–7878. [Google Scholar] [CrossRef]
- Sakai, S.; Takahashi, M.; Ilangovan, R. Long-retention ferroelectric-gate FET with a (HfO2)x(Al2O3)1−x buffer-insulating layer for 1T FeRAM. In Proceedings of the 2004 IEDM Technical Digest. IEEE International Electron Devices Meeting, San Francisco, CA, USA, 13–15 December 2004; pp. 915–918. [Google Scholar] [CrossRef]
- Takahashi, M.; Sakai, S. Self-aligned-gate metal/ferroelectric/insulator/semiconductor field-effect transistors with long memory retention. Jpn. J. Appl. Phys. 2005, 44, L800–L802. [Google Scholar] [CrossRef]
- Zhang, W.; Takahashi, M.; Sakai, S. Electrical properties of CaxSr1−xBi2Ta2O9 ferroelectric-gate field-effect transistors. Semicond. Sci. Technol. 2013, 28, 085003. [Google Scholar] [CrossRef]
- Hai, L.V.; Takahashi, M.; Zhang, W.; Sakai, S. 100-nm-size ferroelectric-gate field-effect transistor with 108-cycle endurance. Jpn. J. Appl. Phys. 2015, 54, 088004. [Google Scholar] [CrossRef]
- Sakai, S.; Zhang, W.; Takahashi, M. Dynamic analog characteristics of 109 cycle-endurance low-voltage nonvolatile ferroelectric-gate memory transistors. In Proceedings of the 2017 IEEE 9th International Memory Workshop, Monterey, CA, USA, 14–17 May 2017; pp. 95–98. [Google Scholar] [CrossRef]
- Takahashi, M.; Zhang, W.; Sakai, S. High-endurance ferroelectric NOR flash memory using (Ca,Sr)Bi2Ta2O9 FeFETs. In Proceedings of the 2018 IEEE 10th International Memory Workshop, Kyoto, Japan, 13–16 May 2018; pp. 58–61. [Google Scholar] [CrossRef]
- Watanabe, H.; Mihara, T.; Yoshimori, H.; de Araujo, C.A.P. Preparation of ferroelectric thin films of bismuth layer structured compounds. Jpn. J. Appl. Phys. 1995, 34, 5240. [Google Scholar] [CrossRef]
- Amanuma, K.; Hase, T.; Miyasaka, Y. Preparation and ferroelectric properties of SrBi2Ta2O9 thin films. Appl. Phys. Lett. 1995, 66, 221–223. [Google Scholar] [CrossRef]
- Humphreys, F.J. Review grain and subgrain characterization by electron backscatter diffraction. J. Mater. Sci. 2001, 36, 3833–3854. [Google Scholar] [CrossRef]
- Koblischka-Veneva, A.; Mücklich, F. Orientation imaging microscopy applied to BaTiO3 ceramics. Cryst. Eng. 2002, 5, 235–242. [Google Scholar] [CrossRef]
- Kaibara, K.; Tanaka, K.; Uchiyama, K.; Kato, Y.; Shimada, Y. Electron backscatter diffraction analysis for polarization of SrBi2(Ta,Nb)2O9 ferroelectric capacitors in submicron small area. Jpn. J. Appl. Phys. 2008, 47, 262. [Google Scholar] [CrossRef]
- Hai, L.V.; Takahashi, M.; Sakai, S. Downsizing of ferroelectric-gate field-effect-transistors for ferroelectric-NAND flash memory cells. In Proceedings of the 2011 3rd IEEE International Memory Workshop, Monterey, CA, USA, 22–25 May 2011; pp. 1–4. [Google Scholar] [CrossRef]
- Shimakawa, Y.; Kubo, Y.; Nakagawa, Y.; Kamiyama, T.; Asano, H.; Izumi, F. Crystal structures and ferroelectric properties of SrBi2Ta2O9 and Sr0.8Bi2.2Ta2O9. Appl. Phys. Lett. 1999, 74, 1904–1906. [Google Scholar] [CrossRef]
- Sakai, S.; Zhang, W.; Takahashi, M. Method for disclosing invisible physical properties in metal-ferroelectric-insulator-semiconductor gate stacks. J. Phys. D Appl. Phys. 2017, 50, 165107. [Google Scholar] [CrossRef]
- Shimakawa, Y.; Kubo, Y.; Nakagawa, Y.; Goto, S.; Kamiyama, T.; Asano, H.; Izumi, F. Crystal structure and ferroelectric properties of ABi2Ta2O9 (A = Ca, Sr, and Ba). Phys. Rev. B 2000, 61, 6559–6564. [Google Scholar] [CrossRef]
- Ishikawa, K.; Funakubo, H.; Saito, K.; Suzuki, T.; Nishi, Y.; Fujimoto, M. Crystal structure and electrical properties of epitaxial SrBi2Ta2O9 films. J. Appl. Phys. 2000, 87, 8018–8023. [Google Scholar] [CrossRef]
- Watanabe, T.; Sakai, T.; Funakubo, H.; Saito, K.; Osada, M.; Yoshimoto, M.; Sasaki, A.; Liu, J.; Kakihana, M. Ferroelectric property of a-/b-axis-oriented epitaxial Sr0.8Bi2.2Ta2O9 thin films grown by metalorganic chemical vapor deposition. Jpn. J. Appl. Phys. 2002, 41, L1478–L1481. [Google Scholar] [CrossRef]
- Lee, H.-J.; Kim, I.-T.; Hong, K.S. Dielectric properties of AB2O6 compounds at microwave frequencies (A = Ca, Mg, Mn, Co, Ni, Zn, and B = Nb, Ta). Jpn. J. Appl. Phys. 1997, 10A, L1318–L1320. [Google Scholar] [CrossRef]
- Ferrari, C.R.; de Camargo, A.S.S.; Nunes, L.A.O.; Hernandes, A.C. Laser heated pedestal growth and optical characterization of CaTa2O6 single crystal fiber. J. Cryst. Growth 2004, 266, 475–480. [Google Scholar] [CrossRef]










© 2019 by the authors. Licensee MDPI, Basel, Switzerland. This article is an open access article distributed under the terms and conditions of the Creative Commons Attribution (CC BY) license (http://creativecommons.org/licenses/by/4.0/).
Share and Cite
Zhang, W.; Takahashi, M.; Sakai, S. Investigation of Ferroelectric Grain Sizes and Orientations in Pt/CaxSr1–xBi2Ta2O9/Hf–Al–O/Si High Performance Ferroelectric-Gate Field-Effect-Transistors. Materials 2019, 12, 399. https://doi.org/10.3390/ma12030399
Zhang W, Takahashi M, Sakai S. Investigation of Ferroelectric Grain Sizes and Orientations in Pt/CaxSr1–xBi2Ta2O9/Hf–Al–O/Si High Performance Ferroelectric-Gate Field-Effect-Transistors. Materials. 2019; 12(3):399. https://doi.org/10.3390/ma12030399
Chicago/Turabian StyleZhang, Wei, Mitsue Takahashi, and Shigeki Sakai. 2019. "Investigation of Ferroelectric Grain Sizes and Orientations in Pt/CaxSr1–xBi2Ta2O9/Hf–Al–O/Si High Performance Ferroelectric-Gate Field-Effect-Transistors" Materials 12, no. 3: 399. https://doi.org/10.3390/ma12030399
APA StyleZhang, W., Takahashi, M., & Sakai, S. (2019). Investigation of Ferroelectric Grain Sizes and Orientations in Pt/CaxSr1–xBi2Ta2O9/Hf–Al–O/Si High Performance Ferroelectric-Gate Field-Effect-Transistors. Materials, 12(3), 399. https://doi.org/10.3390/ma12030399

