Validation of Selected Non-Destructive Methods for Determining the Compressive Strength of Masonry Units Made of Autoclaved Aerated Concrete
Abstract
1. Introduction
2. Minor-Destructive Testing
2.1. Specimens, Technique of Tests, and Analysis
2.2. Determining an Empirical Curve in Air-Dry Conditions
2.3. Calibrating a Curve in Air-Dry Conditions
2.4. Calibrating an Empirical Curve in Moisture Conditions
3. Ultrasonic Non-Destructive Method
3.1. Testing Technique of Specimens
3.2. Calibrating a Curve in Air-Dry Conditions
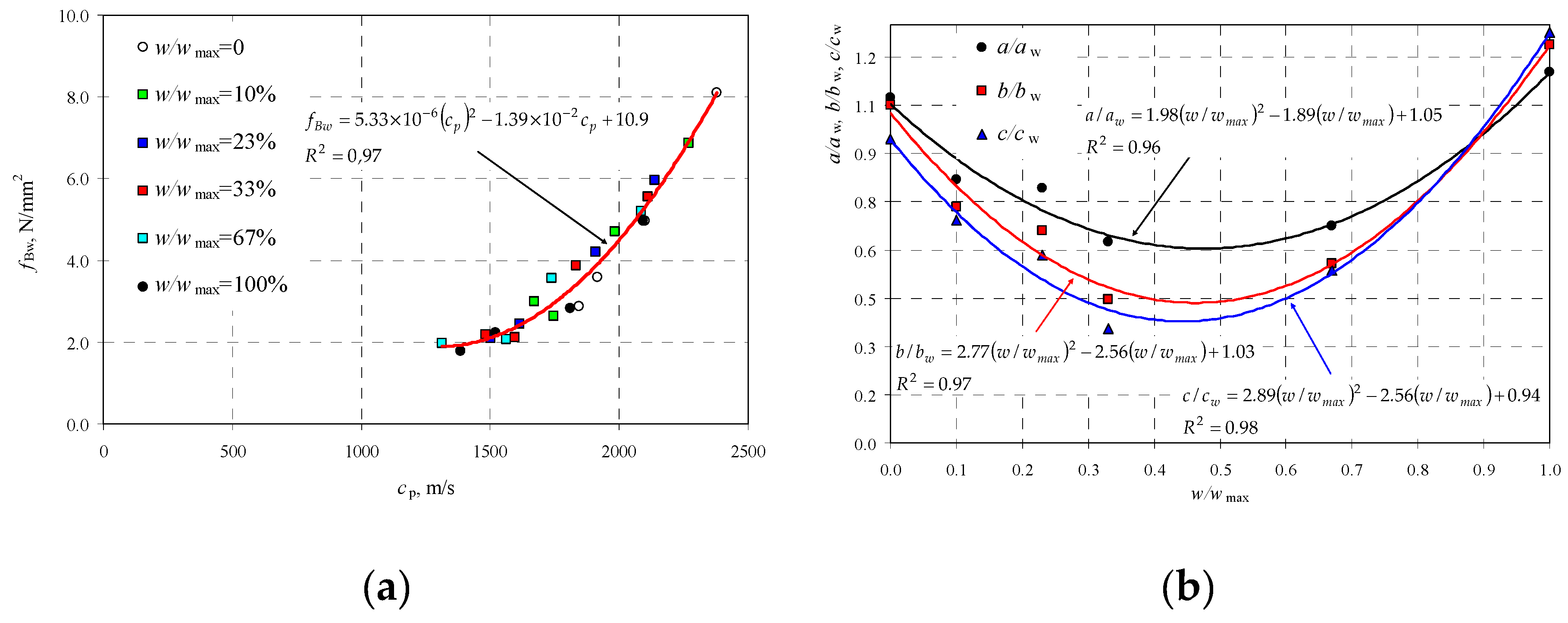
3.3. Calibrating a Curve in Moisture Conditions
4. Procedure Algorithm for Determining Characteristic Compressive Strength of Masonry
5. Conclusions
Author Contributions
Acknowledgments
Conflicts of Interest
References
- EN 13791:2008 Assessment of In-Situ Compressive Strength in Structures and Pre-Cast Concrete Components; European Committee for Standardization (CEN): Brussels, Belgium, 2008.
- Łątka, D.; Matysek, P. The estimation of compressive stress level in brick masonry using the flat-jack method. Procedia Eng. 2017, 193, 266–272. [Google Scholar] [CrossRef]
- Corradi, M.; Borri, A.; Vignoli, A. Experimental study on the determination of strength of masonry walls. Constr. Build. Mater. 2003, 11, 325–337. [Google Scholar] [CrossRef]
- Suprenant, B.A.; Schuller, M.P. Nondestructive Evaluation & Testing of Masonry Structures; Hanley Wood Inc.: Washington, DC, USA, 1994; ISBN 978-0924659577. [Google Scholar]
- Noland, J.; Atkinson, R.; Baur, J. An Investigation into Methods of Nondestructive Evaluation of Masonry Structures; National Technical Information Service Report No. PB 82218074; Report to the National Science Fundation: Springfield, VA, USA, 1982.
- Schuller, M.P. Nondestructive testing and damage assessment of masonry structures. In Proceedings of the 2006 NSF/FILEM Workshop, In-Situ Evaluation of Historic Wood and Masonry Structures, Prague, Czech Republic, 10–16 July 2006; pp. 67–86. [Google Scholar]
- McCann, D.M.; Forde, M.C. Review of NDT methods in the assessment of concrete and masonry structures. NDT E Int. 2001, 34, 71–84. [Google Scholar] [CrossRef]
- Binda, L.; Vekey, R.D.; Acharhabi, A.; Baronio, G.; Bekker, P.; Borchel, G.; Bright, N.; Emrich, F.; Forde, M.; Forde, M.; et al. RILEM TC 127-MS: Non-destructive tests for masonry materials and structures. Mater. Struct. 2001, 34, 134–143. [Google Scholar]
- ASTM Standard C1196-91 In-Situ Compressive Stress within Solid Unit Masonry Estimated Using Flat-Jack Measurements; ASTM International: West Conshohocken, PA, USA, 1991.
- ASTM Standard C1196-14a Standard Test Method for In Situ Compressive Stress within Solid Unit Masonry Estimated Using Flat-jack Measurements; ASTM International: West Conshohocken, PA, USA, 2014.
- RILEM Recommendation MDT.D.4. In-Situ Stress Tests Based on the Flat-Jack. In Materials and Structures/Matériaux et Constructions; RILEM Publications SARL: Paris, France, 2004; Volume 37, pp. 491–496. [Google Scholar]
- RILEM Recommendation MDT.D.5. In Situ Stress-Strain Behaviour Tests Based on the Flat-Jack. In Materials and Structures/Matériaux et Constructions; RILEM Publications SARL: Paris, France, 2004; Volume 37, pp. 497–501. [Google Scholar]
- UIC Code Recommendations for the Inspection, Assessment and Maintenance Arch Bridges; Final Draft; International Union of Railways, Railway technical publications: Paris, France, 2008; ISBN 978-2-7461-2525-4.
- Schubert, P. Beurteilung der Druckfestigkeit von ausgefürtem Mauerwerk aus künstlichen Steinen und natur Steinen. In Mauerwerk-Kalender; Ernst und Sohn: Berlin, Germany, 1995; pp. 687–700. (In German) [Google Scholar]
- Schubert, P. Zur Festigkeit des Mörtels im Mauerwerk, Prüfung, Beurteilung. In Mauerwerk-Kalender; Ernst und Sohn: Berlin, Germany, 1988; pp. 459–471. (In German) [Google Scholar]
- Schrank, R. Materialeigenschaften historischen Ziegelmauerwerks im Hinblick auf Tragfähigkeitsberechnungen am Beispiel der Leipziger Bundwand. Mauerwerk 2002, 6, 201–207. (In German) [Google Scholar] [CrossRef]
- Matysek, P. Compressive strength of brick masonry in existing buildings—Research on samples cut from the structures. In Brick and Block Masonry—Trends, Innovations and Challenges, 3rd ed.; Modena, C., da Porto, F., Valluzzi, M.R., Eds.; Taylor & Francis Group: London, UK, 2016; pp. 1741–1747. ISBN 978-1-138-02999-6. [Google Scholar]
- PN-EN 1996-1-1:2010+A1:2013-05P, Eurocode 6: Design of Masonry Structures. Part 1-1: General Rules for Reinforced and Unreinforced Masonry Structures; Polish Committee for Standardization (PKN): Warsaw, Poland, 2010. (In Polish)
- EN 772-1:2011 Methods of test for masonry units. In Determination of Compressive Strength; European Committee for Standardization (CEN): Brussels, Belgium, 2011.
- Neville, A.M. Properties of Concrete, 5th ed.; Pearson Education Limited: Essex, UK, 2011. [Google Scholar]
- Kadir, K.; Celik, A.O.; Tuncan, M.; Tuncan, A. The Effect of Diameter and Length-to-Diameter Ratio on the Compressive Strength of Concrete Cores. In Proceedings of the International Scientific Conference People, Buildings and Environment, Lednice, Czech Republic, 7–9 November 2012; pp. 219–229. [Google Scholar]
- Bartlett, F.M.; Macgregor, J.G. Effect of Core Diameter on Concrete Core Strengths. Mater. J. 1994, 91, 460–470. [Google Scholar]
- Beer, I.; Schubert, P. Zum Einfluss von Steinformate auf die Mauerdruckfestigkeit–Formfaktoren für Mauersteine. In Mauerwerk Kalender; Ernst und Sohn: Berlin, Germany, 2005; pp. 89–126. (In German) [Google Scholar]
- Homann, M. Porenbeton Handbuch. Planen und Bauen Mit System; 6. Auflage Hannover, June 2008; Bauverlag: Gütersloh, Germany, 1991; ISBN 13 978-3-7625-3626-0. [Google Scholar]
- Gębarowski, P.; Łaskawiec, K. Correlations between physicochemical properties and AAC porosity structure. Mater. Bud. 2015, 11, 214–216. (In Polish) [Google Scholar]
- Zapotoczna-Sytek, G.; Balkovic, S. Autoclaved Areated Concrete. Technology, Properties, Application; Wydawnictwo Naukowe PWN: Warszawa, Poland, 2013. (In Polish) [Google Scholar]
- Mazur, W.; Drobiec, Ł.; Jasiński, R. Effects of specimen dimensions and shape on compressive strength of specific autoclaved aerated concrete. Ce/Pepers 2018, 2, 541–556. [Google Scholar] [CrossRef]
- EN 771-4:2011 Specification for Masonry Units—Part 4: Autoclaved Aerated Concrete Masonry Units; European Committee for Standardization (CEN): Brussels, Belgium, 2011.
- Weibull, W. A Statistical Theory of Strength of Materials; Generalstabens Litografiska Anstalts Förlag: Stockholm, Sweden, 1939. [Google Scholar]
- Weibull, W. A statistical distribution function of wide applicability. J. Appl. Mech. 1951, 18, 290–293. [Google Scholar]
- Volk, W. Applied Statistics for Engineers; Literary Licensing, LLC: Whitefish, MT, USA, 2013. [Google Scholar]
- Guilford, J.P. Fundamental Statistics in Psychology and Education; McGraw-HillBook, Inc.: New York, NY, USA, 1942. [Google Scholar]
- Bartlett, F.M.; Macgregor, J.G. Effect of Moisture Condition on Concrete Core Strengths. Mater. J. 1993, 91, 227–236. [Google Scholar]
- Jasiński, R. Determination of AAC masonry compressive strength by semi destructive method. Nondestruct. Test. Diagn. 2018, 3, 81–85. [Google Scholar] [CrossRef]
- Matauschek, J. Einführun in Die Ultraschalltechnik; Verlag Technik: Berlin, Germany, 1957. [Google Scholar]
- Stawiski, B.; Kania, T. Determination of the Influence of Cylindrical Samples Dimensions on the Evaluation of Concrete and Wall Mortar Strength Using Ultrasound Method. Procedia Eng. 2013, 57, 1078–1085. [Google Scholar] [CrossRef]
- Noland, J.; Atkinson, R.; Kingsley, G.; Schuller, M. Nondestructive Evaluation of Masonry Structure; Project No. ECE-8315924; National Science Fundation: Springfield, VA, USA, 1990.
- Stawski, B. Ultarsonic Testing of Concrete and Mortar Using Point Probes; Scientific Papers, Monographs. No. 39; Institute of Building Engineering of the Wrocław University of Technology: Wrocław, Poland, 2009. (In Polish)
- Drobiec, Ł.; Jasiński, R.; Piekarczyk, A. Diagnostic testing of reinforced concrete structures. In Methodology, Field Tests, Laboratory Tests of Concrete and Steel; Wydawnictwo Naukowe PWN: Warszawa, Poland, 2013. (In Polish) [Google Scholar]
- Haach, V.G.; Ramirez, F.C. Qualitative assessment of concrete by ultrasound tomography. Constr. Build. Mater. 2016, 119, 61–70. [Google Scholar] [CrossRef]
- Schabowicz, K. Ultrasonic tomography—The latest nondestructive technique for testing concrete members—Description, test methodology, application example. Arch. Civ. Mech. Eng. 2014, 14, 295–303. [Google Scholar] [CrossRef]
- Rucka, M.; Lachowicz, J.; Zielińska, M. GPR investigation of the strengthening system of a historic masonry tower. J. Appl. Geophys. 2016, 131, 94–102. [Google Scholar] [CrossRef]
- Zielińska, M.; Rucka, M. Non-Destructive Assessment of Masonry Pillars using Ultrasonic Tomography. Materials 2018, 11, 2543. [Google Scholar] [CrossRef] [PubMed]
- Binda, L. Learning from failure—Long-term behaviour of heavy masonry structures. In Structural Analysis of Historic Construction, 2nd ed.; D’Ayala, D., Fodde, E., Eds.; Taylor & Francis Group: London, UK, 2008; pp. 1345–1355. ISBN 978-0-415-46872-5. [Google Scholar]









| No. | Class of Density kg/m3 | Specimen Type | Dimensions, mm | No. of Specimens n | Average Compressive Strength fci, N/mm2 | Standard Deviation | C.O.V % | |
|---|---|---|---|---|---|---|---|---|
| Diameter, ø | Height, h | |||||||
| 1 | 2 | 3 | 4 | 5 | 6 | 7 | 8 | 9 |
| 1 | 400 | ![]() | 150 | 150 | 6 | 2.84 | 0.40 | 14 |
| 2 | 301 | 3 | 2.33 | 0.13 | 6 | |||
| 3 | 76 | 3 | 2.70 | 0.06 | 2 | |||
| 4 | 97.6 | 97.8 | 4 | 2.61 | 0.29 | 11 | ||
| 5 | 195 | 3 | 2.16 | 0.21 | 10 | |||
| 6 | 49 | 4 | 2.81 | 0.39 | 14 | |||
| 7 | 79.4 | 79.2 | 3 | 2.53 | 0.25 | 10 | ||
| 8 | 159 | 3 | 2.26 | 0.26 | 12 | |||
| 9 | 40.6 | 3 | 2.85 | 0.17 | 6 | |||
| 10 | 61 | 61 | 4 | 2.77 | 0.17 | 6 | ||
| 11 | 121.8 | 3 | 2.65 | 0.12 | 5 | |||
| 12 | 31.8 | 5 | 2.51 | 0.39 | 15 | |||
| 13 | 39.5 | 40 | 5 | 2.82 | 0.42 | 15 | ||
| 14 | 79 | 4 | 2.28 | 0.34 | 15 | |||
| 15 | 20.5 | 4 | 2.60 | 0.35 | 14 | |||
| 16 | 25 | 24.4 | 3 | 2.33 | 0.30 | 13 | ||
| 17 | 49.2 | 3 | 2.69 | 0.42 | 16 | |||
| 18 | 12.5 | 3 | 3.56 | 0.33 | 9 | |||
| 1 | 500 | 150 | 150 | 6 | 2.94 | 0.25 | 9 | |
| 2 | 301 | 3 | 3.28 | 0.18 | 6 | |||
| 3 | 76 | 3 | 3.01 | 0.12 | 4 | |||
| 4 | 97.6 | 97.8 | 4 | 2.88 | 0.16 | 6 | ||
| 5 | 195 | 3 | 3.09 | 0.06 | 2 | |||
| 6 | 49 | 4 | 3.15 | 0.29 | 9 | |||
| 7 | 79.4 | 79.2 | 3 | 3.30 | 0.12 | 4 | ||
| 8 | 159 | 3 | 2.90 | 0.21 | 7 | |||
| 9 | 40.6 | 4 | 3.27 | 0.45 | 14 | |||
| 10 | 61 | 61 | 4 | 3.21 | 0.23 | 7 | ||
| 11 | 121.8 | 3 | 3.17 | 0.26 | 8 | |||
| 12 | 31.8 | 5 | 3.19 | 0.18 | 6 | |||
| 13 | 39.5 | 40 | 4 | 2.94 | 0.30 | 10 | ||
| 14 | 79 | 4 | 2.89 | 0.32 | 11 | |||
| 15 | 20.5 | 4 | 3.63 | 0.36 | 10 | |||
| 16 | 25 | 24.4 | 4 | 2.91 | 0.27 | 9 | ||
| 17 | 49.2 | 3 | 3.16 | 0.18 | 6 | |||
| 18 | 12.5 | 4 | 4.06 | 0.25 | 6 | |||
| 1 | 600 | ![]() | 150 | 150 | 5 | 5.06 | 0.36 | 7 |
| 2 | 301 | 3 | 4.23 | 0.21 | 5 | |||
| 3 | 76 | 3 | 5.11 | 0.68 | 13 | |||
| 4 | 97.6 | 97.8 | 4 | 4.49 | 0.22 | 5 | ||
| 5 | 195 | 3 | 4.26 | 0.18 | 4 | |||
| 6 | 49 | 4 | 5.01 | 0.61 | 12 | |||
| 7 | 79.4 | 79.2 | 4 | 4.43 | 0.09 | 2 | ||
| 8 | 159 | 3 | 4.73 | 0.25 | 5 | |||
| 9 | 40.6 | 4 | 5.14 | 0.52 | 10 | |||
| 10 | 61 | 61 | 4 | 4.65 | 0.47 | 10 | ||
| 11 | 121.8 | 3 | 4.54 | 0.16 | 3 | |||
| 12 | 31.8 | 5 | 5.19 | 0.66 | 13 | |||
| 13 | 39.5 | 40 | 4 | 4.87 | 0.53 | 11 | ||
| 14 | 79 | 3 | 4.18 | 0.31 | 8 | |||
| 15 | 20.5 | 4 | 6.00 | 0.81 | 14 | |||
| 16 | 25 | 24.4 | 4 | 5.17 | 0.27 | 5 | ||
| 17 | 49.2 | 3 | 4.79 | 0.64 | 13 | |||
| 18 | 12.5 | 4 | 6.88 | 0.76 | 11 | |||
| 1 | 700 | 150 | 150 | 5 | 7.12 | 0.96 | 14 | |
| 2 | 301 | 3 | 7.25 | 0.56 | 8 | |||
| 3 | 76 | 4 | 7.69 | 0.63 | 8 | |||
| 4 | 97.6 | 97.8 | 4 | 7.37 | 0.76 | 10 | ||
| 5 | 195 | 3 | 7.22 | 0.42 | 6 | |||
| 6 | 49 | 4 | 7.93 | 0.28 | 4 | |||
| 7 | 79.4 | 79.2 | 3 | 6.77 | 0.35 | 5 | ||
| 8 | 159 | 3 | 7.25 | 0.57 | 8 | |||
| 9 | 40.6 | 4 | 8.87 | 0.36 | 4 | |||
| 10 | 61 | 61 | 4 | 7.25 | 1.04 | 14 | ||
| 11 | 121.8 | 3 | 7.05 | 0.51 | 7 | |||
| 12 | 31.8 | 5 | 8.57 | 0.35 | 4 | |||
| 13 | 39.5 | 40 | 3 | 7.55 | 0.32 | 4 | ||
| 14 | 79 | 3 | 7.21 | 1.08 | 15 | |||
| 15 | 20.5 | 4 | 9.18 | 0.77 | 8 | |||
| 16 | 25 | 24.4 | 3 | 7.66 | 0.77 | 10 | ||
| 17 | 49.2 | 3 | 7.73 | 0.40 | 5 | |||
| 18 | 12.5 | 4 | 13.42 | 0.95 | 7 | |||
| No. | Class of Density kg/m3 | Specimen Type | Dimensions, mm | No. of Specimens n | Average Compressive Strength fci, N/mm2 | Standard Deviation N/mm2 | C.O.V % | ||
|---|---|---|---|---|---|---|---|---|---|
| Width, d | Thickness, b | Height, h | |||||||
| 1 | 2 | 3 | 4 | 5 | 6 | 7 | 8 | 9 | 10 |
| 1 | 400 | ![]() | 143 | 143 | 143 | 3 | 2.80 | 0.18 | 6 |
| 2 | 72 | 3 | 2.91 | 0.14 | 5 | ||||
| 3 | 285 | 3 | 2.47 | 0.05 | 2 | ||||
| 4 | 100 | 100 | 100 * | 6 | 2.88 | 0.36 | 12 | ||
| 5 | 50 | 3 | 2.59 | 0.24 | 9 | ||||
| 6 | 200 | 3 | 3.16 | 0.13 | 4 | ||||
| 7 | 80 | 80 | 80 | 3 | 3.12 | 0.23 | 7 | ||
| 8 | 39 | 3 | 3.60 | 0.44 | 12 | ||||
| 9 | 158 | 3 | 2.71 | 0.15 | 5 | ||||
| 10 | 59 | 59 | 59 | 3 | 2.99 | 0.11 | 4 | ||
| 11 | 30 | 3 | 3.16 | 0.17 | 5 | ||||
| 12 | 121 | 3 | 2.98 | 0.08 | 3 | ||||
| 13 | 40 | 40 | 40 | 3 | 2.85 | 0.07 | 3 | ||
| 14 | 19.6 | 3 | 3.02 | 0.07 | 2 | ||||
| 15 | 78.5 | 3 | 2.77 | 0.41 | 15 | ||||
| 16 | 24 | 24 | 24 | 3 | 2.80 | 0.20 | 7 | ||
| 17 | 12.5 | 3 | 3.23 | 0.56 | 17 | ||||
| 18 | 49 | 3 | 2.43 | 0.26 | 11 | ||||
| 1 | 500 | 143 | 143 | 143 | 3 | 2.33 | 0.28 | 12 | |
| 2 | 72 | 3 | 3.74 | 0.06 | 2 | ||||
| 3 | 285 | 3 | 2.16 | 0.11 | 5 | ||||
| 4 | 100 | 100 | 100 * | 6 | 3.59 | 0.13 | 4 | ||
| 5 | 50 | 3 | 3.29 | 0.13 | 4 | ||||
| 6 | 200 | 3 | 3.40 | 0.06 | 2 | ||||
| 7 | 80 | 80 | 80 | 3 | 3.31 | 0.15 | 5 | ||
| 8 | 39 | 3 | 3.67 | 0.11 | 3 | ||||
| 9 | 158 | 3 | 2.48 | 0.22 | 9 | ||||
| 10 | 59 | 59 | 59 | 3 | 2.83 | 0.09 | 3 | ||
| 11 | 30 | 3 | 3.20 | 0.55 | 17 | ||||
| 12 | 121 | 3 | 2.94 | 0.17 | 6 | ||||
| 13 | 40 | 40 | 40 | 3 | 2.90 | 0.04 | 1 | ||
| 14 | 19.6 | 3 | 3.28 | 0.21 | 6 | ||||
| 15 | 78.5 | 3 | 2.77 | 0.44 | 16 | ||||
| 16 | 24 | 24 | 24 | 3 | 4.78 | 0.39 | 8 | ||
| 17 | 12.5 | 3 | 4.92 | 0.90 | 18 | ||||
| 18 | 49 | 3 | 1.79 | 0.10 | 6 | ||||
| 1 | 600 | ![]() | 143 | 143 | 143 | 3 | 3.97 | 0.10 | 2 |
| 2 | 72 | 3 | 5.69 | 0.10 | 2 | ||||
| 3 | 285 | 3 | 3.58 | 0.25 | 7 | ||||
| 4 | 100 | 100 | 100 * | 6 | 4.95 | 0.35 | 7 | ||
| 5 | 50 | 3 | 5.80 | 0.35 | 6 | ||||
| 6 | 200 | 3 | 5.34 | 0.61 | 11 | ||||
| 7 | 80 | 80 | 80 | 3 | 6.01 | 0.75 | 12% | ||
| 8 | 39 | 3 | 6.60 | 0.12 | 2 | ||||
| 9 | 158 | 3 | 4.45 | 0.19 | 4 | ||||
| 10 | 59 | 59 | 59 | 3 | 4.58 | 0.08 | 2 | ||
| 11 | 30 | 3 | 5.85 | 0.04 | 1 | ||||
| 12 | 121 | 3 | 4.84 | 0.09 | 2 | ||||
| 13 | 40 | 40 | 40 | 3 | 5.81 | 0.41 | 7 | ||
| 14 | 19.6 | 3 | 5.06 | 0.17 | 3 | ||||
| 15 | 78.5 | 3 | 5.65 | 0.20 | 4 | ||||
| 16 | 24 | 24 | 24 | 3 | 6.02 | 0.74 | 12 | ||
| 17 | 12.5 | 3 | 6.30 | 0.19 | 3 | ||||
| 18 | 49 | 3 | 4.19 | 0.91 | 22 | ||||
| 1 | 700 | 143 | 143 | 143 | 3 | 4.88 | 1.03 | 21 | |
| 2 | 72 | 3 | 7.21 | 0.27 | 4 | ||||
| 3 | 285 | 3 | 5.28 | 0.44 | 8 | ||||
| 4 | 100 | 100 | 100 * | 6 | 8.11 | 0.58 | 7 | ||
| 5 | 50 | 3 | 7.02 | 1.07 | 15 | ||||
| 6 | 200 | 3 | 7.56 | 0.25 | 3 | ||||
| 7 | 80 | 80 | 80 | 3 | 6.31 | 0.27 | 4 | ||
| 8 | 39 | 3 | 8.79 | 0.89 | 10 | ||||
| 9 | 158 | 3 | 6.50 | 0.98 | 15 | ||||
| 10 | 59 | 59 | 59 | 3 | 5.76 | 0.34 | 6 | ||
| 11 | 30 | 3 | 6.31 | 1.10 | 17 | ||||
| 12 | 121 | 3 | 4.65 | 0.95 | 20 | ||||
| 13 | 40 | 40 | 40 | 3 | 5.48 | 0.52 | 10 | ||
| 14 | 19.6 | 3 | 7.00 | 0.22 | 3 | ||||
| 15 | 78.5 | 3 | 6.71 | 0.29 | 4 | ||||
| 16 | 24 | 24 | 24 | 3 | 5.38 | 1.98 | 37 | ||
| 17 | 12.5 | 3 | 9.37 | 1.96 | 21 | ||||
| 18 | 49 | 3 | 4.89 | 1.66 | 34 | ||||
| No. | Nominal Class of Density, kg/m3 | No. of Cuboid Specimens (see Table 2) | Average Density, kg/m3 | Standard Deviation s, kg/m3 | C.O.V., % |
|---|---|---|---|---|---|
| 1 | 400 | 57 | 397 | 22.01 | 6 |
| 2 | 500 | 57 | 492 | 15.86 | 3 |
| 3 | 600 | 57 | 599 | 13.39 | 2 |
| 4 | 700 | 57 | 674 | 19.83 | 3 |
| Density Range of AAC, Average Density ρ, (Nominal Class of Density) kg/m3 | Coefficient for Curve | R | Additive Correction Factor Δb | Corrected Coefficient for Curve bkor | Curve Equation | n | ||
|---|---|---|---|---|---|---|---|---|
| a | b | |||||||
| from 375 to 446 397, (400) | 0.159 | 0.857 | 0.324 | 0.06 | 0.921 | 123 | ||
| from 462 to 532 492, (500) | 0.312 | 0.682 | 0.533 | 0.16 | 0.844 | 125 | ||
| from 562 to 619 599, (600) | 0.349 | 0.779 | 0.612 | 0.05 | 0.826 | 124 | ||
| from 655 to 725 674, (700) | 0.454 | 0.608 | 0.614 | 0.16 | 0.773 | 122 | ||
| common curve | aw = 0.321 | bw = 0.730 | 0.512 | 0.11 | 0.840 | 494 | ||
| No. | Density Range of AAC, Average Density ρ, (nominal class of density) kg/m3 | Average Moisture Content w, % | Average Relative Moisture w/wmax | Average Compressive Strength fBw, N/mm2 | Standard Deviation, s, N/mm2 | COV, % | Average Relative Compressive Strength fBw/fB |
|---|---|---|---|---|---|---|---|
| 1 | from 375 to 446 397, (400) | 0 | 0 | 2.88 * | 0.36 | 12 | 1.0 |
| 2 | 8.3 | 0.10 | 2.64 | 0.21 | 8 | 0.92 | |
| 3 | 20.1 | 0.23 | 2.09 | 0.11 | 5 | 0.72 | |
| 4 | 29.1 | 0.33 | 2.18 | 0.16 | 8 | 0.76 | |
| 5 | 58.3 | 0.67 | 1.96 | 0.14 | 7 | 0.68 | |
| 6 | 89.9 | 1.00 | 1.78 | 0.13 | 7 | 0.62 | |
| 7 | from 462 to 532 492, (500) | 0 | 0 | 3.59 * | 0.13 | 4 | 1.0 |
| 8 | 6.2 | 0.10 | 3.00 | 0.22 | 7 | 0.84 | |
| 9 | 16.2 | 0.23 | 2.44 | 0.49 | 20 | 0.68 | |
| 10 | 22.8 | 0.33 | 2.12 | 0.21 | 10 | 0.59 | |
| 11 | 46.1 | 0.67 | 2.06 | 0.29 | 14 | 0.57 | |
| 12 | 66.0 | 1.00 | 2.24 | 0.23 | 10 | 0.62 | |
| 13 | from 562 to 619 599, (600) | 0 | 0 | 4.95 * | 0.35 | 7 | 1.0 |
| 14 | 5.40 | 0.10 | 4.71 | 0.49 | 10 | 0.95 | |
| 15 | 12.6 | 0.23 | 4.21 | 0.38 | 9 | 0.85 | |
| 16 | 18.2 | 0.34 | 3.88 | 0.52 | 13 | 0.78 | |
| 17 | 58.3 | 0.67 | 1.96 | 0.33 | 9 | 0.68 | |
| 18 | 61.1 | 1.00 | 2.82 | 0.28 | 10 | 0.57 | |
| 19 | from 655 to 725 674, (700) | 0 | 0 | 8.11 * | 0.58 | 7 | 1.0 |
| 20 | 5.30 | 0.10 | 6.86 | 0.63 | 9 | 0.85 | |
| 21 | 11.7 | 0.22 | 5.96 | 0.71 | 12 | 0.74 | |
| 22 | 16.8 | 0.34 | 5.56 | 0.58 | 10 | 0.69 | |
| 23 | 46.1 | 0.67 | 2.06 | 0.70 | 13 | 0.57 | |
| 24 | 53.3 | 1.00 | 4.95 | 0.41 | 8 | 0.61 |
| No. | Density Range of AAC, Average Density ρ, (nominal class of density) kg/m3 | w/wmax | Average Path Length L, mm | Average Passing Time of Wave t, µs | Average P-Wave Velocity cp = L/t, m/s | N | Standard Deviation, | C.O.V., |
|---|---|---|---|---|---|---|---|---|
| 1 | from 375 to 446 397, (400), | 0 | 100.2 | 54.3 | 1847 | 21 | 35.9 | 1.9 |
| 2 | 0.10 | 57.4 | 1746 | 21 | 24.0 | 1.4 | ||
| 3 | 0.23 | 67.0 | 1501 | 21 | 37.7 | 2.5 | ||
| 4 | 0.33 | 67.6 | 1483 | 21 | 32.8 | 2.2 | ||
| 5 | 0.67 | 76.5 | 1315 | 21 | 25.6 | 1.9 | ||
| 6 | 1.00 | 72.7 | 1384 | 21 | 44.5 | 3.2 | ||
| 7 | from 462 to 532 492, (500), | 0 | 100.4 | 52.4 | 1917 | 23 | 51.4 | 2.7 |
| 8 | 0.10 | 56.3 | 1671 | 23 | 28.3 | 1.7 | ||
| 9 | 0.23 | 62.3 | 1614 | 23 | 33.6 | 2.1 | ||
| 10 | 0.33 | 63.0 | 1595 | 23 | 34.7 | 2.2 | ||
| 11 | 0.67 | 64.4 | 1562 | 23 | 70.2 | 4.5 | ||
| 12 | 1.00 | 62.0 | 1520 | 23 | 43.9 | 2.9 | ||
| 13 | from 562 to 619 599, (600), | 0 | 100.2 | 47.7 | 2101 | 24 | 49.7 | 2.4 |
| 14 | 0.10 | 50.5 | 1985 | 24 | 41.7 | 2.1 | ||
| 15 | 0.23 | 52.5 | 1910 | 24 | 59.6 | 3.1 | ||
| 16 | 0.34 | 54.7 | 1832 | 24 | 52.7 | 2.9 | ||
| 17 | 0.67 | 58.0 | 1738 | 24 | 69.1 | 4.0 | ||
| 18 | 1.00 | 55.6 | 1812 | 24 | 58.3 | 3.2 | ||
| 19 | from 655 to 725 674, (700), | 0 | 100.5 | 42.2 | 2379 | 23 | 46.2 | 1.9 |
| 20 | 0.10 | 44.3 | 2269 | 23 | 43.1 | 1.9 | ||
| 21 | 0.22 | 47.0 | 2139 | 23 | 52.4 | 2.4 | ||
| 22 | 0.34 | 47.6 | 2111 | 23 | 51.5 | 2.4 | ||
| 23 | 0.67 | 48.4 | 2085 | 23 | 56.1 | 2.7 | ||
| 24 | 1.00 | 48.2 | 2094 | 23 | 28.3 | 1.4 |
| w/wmax | Curve Coefficient | R2 | Curve Equation | ||
|---|---|---|---|---|---|
| a | b | c | |||
| 0 | 5.73 × 10−6 | −1.46 × 10−2 | 10.30 | 0.99 | |
| 0.1 | 4.37 × 10−6 | −1.02 × 10−2 | 7.56 | 0.97 | |
| 0.23 | 4.22 × 10−6 | −9.19 × 10−3 | 6.35 | 0.99 | |
| 0.33 | 3.33 × 10−6 | −6.21 × 10−3 | 3.88 | 0.98 | |
| 0.67 | 3.59 × 10−6 | −7.75 × 10−3 | 5.84 | 0.95 | |
| 1 | 6.15 × 10−6 | −1.72 × 10−2 | 13.90 | 0.98 | |
| common curve | aw = 5.33 × 10−6 | bw = −1.39 × 10−2 | cw = 10.90 | 0.97 | |
| Step | Description | |||
|---|---|---|---|---|
| Semi-Non-Destructive Testing | Reference | Non-Destructive (ultrasonic) Testing | Reference | |
| 1 | Determining moisture content by weight w in AAC at the tested (in-situ) point | Equation (16) | Determining moisture content by weight w in AAC at the tested point | Equation (16) |
| 2 | Calculating maximum moisture content wmax in AAC | Equation (17) | Calculating maximum moisture content wmax in AAC | Equation (17) |
| 3 | Drilling specimens from AAC, drying them until constant weight and calculating density ρ | - | Determining P-waves velocity (cp = L/t,) using the transmission method after measuring the path length L and time t. | - |
| 4 | Calculating coefficients a and b of the empirical curve | Equations (14) and (15) | Calculating coefficients a and b of the empirical curve | Equations (22)–(24) |
| 5 | Calculating the correction factor Δb | Equation (13) | Calculating compressive strength of AAC fBw acc. to the curve | Equation (25) |
| 6 | Performing destructive tests and determining compressive strength of dry AAC fc | - | Graduating the curve according to the standard EN 13791:2008 | - |
| 7 | Calculating compressive strength fB acc. to the corrected curve | Equation (13) | Calculating compressive strength of AAC fBw acc. to the graduated curve | - |
| 8 | Calculating compressive strength fBw depending on moisture content in AAC | Equations (18) and (19) | Calculating characteristic compressive strength of AAC masonry | Equation (1) |
| 9 | Calculating characteristic compressive strength fk of AAC masonry | Equation (1) | ||
© 2019 by the authors. Licensee MDPI, Basel, Switzerland. This article is an open access article distributed under the terms and conditions of the Creative Commons Attribution (CC BY) license (http://creativecommons.org/licenses/by/4.0/).
Share and Cite
Jasiński, R.; Drobiec, Ł.; Mazur, W. Validation of Selected Non-Destructive Methods for Determining the Compressive Strength of Masonry Units Made of Autoclaved Aerated Concrete. Materials 2019, 12, 389. https://doi.org/10.3390/ma12030389
Jasiński R, Drobiec Ł, Mazur W. Validation of Selected Non-Destructive Methods for Determining the Compressive Strength of Masonry Units Made of Autoclaved Aerated Concrete. Materials. 2019; 12(3):389. https://doi.org/10.3390/ma12030389
Chicago/Turabian StyleJasiński, Radosław, Łukasz Drobiec, and Wojciech Mazur. 2019. "Validation of Selected Non-Destructive Methods for Determining the Compressive Strength of Masonry Units Made of Autoclaved Aerated Concrete" Materials 12, no. 3: 389. https://doi.org/10.3390/ma12030389
APA StyleJasiński, R., Drobiec, Ł., & Mazur, W. (2019). Validation of Selected Non-Destructive Methods for Determining the Compressive Strength of Masonry Units Made of Autoclaved Aerated Concrete. Materials, 12(3), 389. https://doi.org/10.3390/ma12030389





