High-Temperature Dielectric Relaxation Behaviors in Mn3O4 Polycrystals
Abstract
1. Introduction
2. Experimental
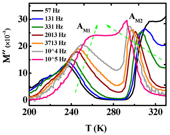
3. Results and Discussion
4. Conclusions
Author Contributions
Funding
Conflicts of Interest
References
- Bai, Y.; Wang, S.W.; Zhang, X.; Zhao, Z.K.; Shao, Y.P.; Yao, R.; Yang, M.M.; Gao, Y.B. Negative magnetization, dielectric and magnetodielectric properties of EuCrO3. Mater. Res. Express 2019, 6, 026101. [Google Scholar] [CrossRef]
- Alexander, B.; Alan, M.; Ralf, W.; Robert, K.; Joachim, B.; Reda, C.; Horst, H.; Oliver, C. Proton conduction in grain-boundary-free oxygen-deficient BaFeO2.5+δ thin films. Materials 2018, 11, 52. [Google Scholar]
- Sinclair, D.C.; West, A.R. Impedance and modulus spectroscopy of semiconducting BaTiO3 showing positive temperature-coefficient of resistance. J. Appl. Phys. 1989, 66, 3850. [Google Scholar] [CrossRef]
- Rehman, S.D.F.; Li, J.B.; Dou, Y.K.; Zhang, J.S.; Zhao, Y.J.; Rizwan, M.; Khalid, S.; Jin, H.B. Dielectric relaxations and electrical properties of Aurivillius Bi3.5La0.5Ti2Fe0.5Nb0.5O12 ceramics. J. Alloy. Compd. 2016, 654, 315–320. [Google Scholar] [CrossRef]
- Pogrebnjak, A.D.; Rogoz, V.M.; Bondar, O.V.; Erdybaeva, N.K.; Plotnikov, S.V. Structure and physicomechanical properties of NbN-based protective nanocomposite coatings: A review. Prot. Met. Phys. Chem. Surf. 2016, 52, 802–813. [Google Scholar] [CrossRef]
- Goodman, G. Electrical Conduction Anomaly in SamariumDoped Barium Titanate. J. Am. Ceram. Soc. 1963, 46, 48. [Google Scholar] [CrossRef]
- Wang, W.H. Resistivity anomaly in doped borium titanate. J. Am. Ceram. Soc. 1964, 47, 484. [Google Scholar]
- Jonker, G.H. Some aspects of semiconducting barium titanate. Solid-State Electron. 1964, 7, 895. [Google Scholar] [CrossRef]
- Shen, Y.F.; Zerger, R.P.; Deguzman, R.N.; Suib, S.L.; Mccurdy, L.; Potter, D.I.; Oyoung, C.L. Manganese oxide octahedral modecular-sieves-preparation, characterization, and applications. Science 1993, 260, 511. [Google Scholar] [CrossRef]
- Chen, B.; Rao, G.H.; Wang, S.W.; Lan, Y.A.; Pan, L.J.; Zhang, X. Facile synthesis and characterization of Mn3O4 nanoparticles by auto-combustion method. Mater. Lett. 2015, 154, 160–162. [Google Scholar] [CrossRef]
- Armstrong, A.R.; Bruce, P.G. Synthesis of layered LiMnO2 as an electrode for rechargeable lithium batteries. Nature 1996, 381, 499–500. [Google Scholar] [CrossRef]
- Wang, S.W.; Zhang, X.; Yao, R.; Rao, G.H. Size-dependent exchange bias in single phase Mn3O4 nanoparticles. Chin. Phys. B 2016, 25, 117502. [Google Scholar] [CrossRef]
- Kim, M.; Chen, X.M.; Wang, X.; Nelson, C.S.; Budakian, R.; Abbamonte, P.; Cooper, S.L. Pressure and field tuning the magnetostructural phases of Mn3O4: Raman scattering and X-ray diffraction studies. Phys. Rev. B 2011, 84, 174424. [Google Scholar] [CrossRef]
- Guillou, F.; Thota, S.; Prellier, W.; Kumar, J.; Hardy, V. Magnetic transitions in Mn3O4 and an anomaly at 38 K in magnetization and specific heat. Phys. Rev. B 2011, 83, 094423. [Google Scholar] [CrossRef]
- Tackett, R.; Lawes, G.; Melot, B.C.; Grossman, M.; Toberer, E.S.; Seshadri, R. Magnetodielectric coupling in Mn3O4. Phys. Rev. B 2007, 76, 024409. [Google Scholar] [CrossRef]
- Suzuki, T.; Katsufuji, T. Magnetodielectric properties of spin-orbital coupled system Mn3O4. Phys. Rev. B 2008, 77, 220402. [Google Scholar] [CrossRef]
- Dwivedi, G.D.; Kumar, A.; Yang, K.S.; Chen, B.Y.; Liu, K.W.; Chatterjee, S.; Yang, H.D.; Chou, H. Structural phase transition, Neel temperature enhancement, and persistent magneto-dielectric coupling in Cr-substituted Mn3O4. J. Appl. Phys. 2014, 116, 103906. [Google Scholar] [CrossRef]
- Thota, S.; Singh, K.; Nayak, S.; Simon, C.; Kumar, J.; Prellier, W. The ac-magnetic susceptibility and dielectric response of complex spin ordering processes in Mn3O4. J. Appl. Phys. 2014, 116, 103906. [Google Scholar] [CrossRef]
- Yao, R.; Zhang, X.; Wang, S.W.; Shao, Y.P.; Zhao, Z.K. The properties of Mn3O4 synthesized by spark plasma sintering. Powd. Meta. Tech. 2016, 34, 434–439. [Google Scholar]
- Liu, L.N.; Wang, C.C.; Zhang, D.M.; Zhang, Q.L.; Ning, K.J.; Wang, J.; Sun, X.H. Dielectric relaxations and phase transition in laser crystals Gd2SiO5 and Yb-doped Gd2SiO5. J. Am. Ceram. Soc. 2014, 97, 1823–1828. [Google Scholar] [CrossRef]
- Moynihan, C.T.; Boesch, L.P.; Laberage, N.L. Decay function for the electric field relaxation in vitreous ionic conductors. Phys. Chem. Glasses 1973, 14, 122–125. [Google Scholar]
- Koltunowicz, T.N.; Zukowski, P.; Czarnacka, K.; Bondariev, V.; Boiko, O.; Svito, I.A.; Fedotov, A.K. Dielectric properties of nanocomposite (Cu)x(SiO2)(100−x) produced by ion-beam sputtering. J. Alloy. Compd. 2015, 652, 444–449. [Google Scholar] [CrossRef]
- Wang, C.C.; Lei, C.M.; Wang, G.J.; Sun, X.H.; Li, T. Oxygen-Vacancy-Related Dielectric Relaxations in SrTiO3 at High Temperatures. J. Appl. Phys. 2013, 113, 094103. [Google Scholar] [CrossRef]
- Sumara, I.J.; Roleder, K.; Dec, J.; Miga, S. Ti-induced and modified dielectric relaxations in PbZrl−x, TixO3 single crystals (x ≤ 0.03) in the frequency range 10 Hz–10 MHz. J. Phys. Condens. Mat. 1995, 7, 6137–6149. [Google Scholar] [CrossRef]
- Guiffard, B.; Boucher, E.; Eyraud, L.; Lebrun, L.; Guyomar, D. Influence of donor co-doping by niobium or fluorine on the conductivity of Mn doped and Mg doped PZT ceramics. J. Eur. Ceram. Soc. 2005, 25, 2487–2490. [Google Scholar] [CrossRef]
- Ang, C.; Yu, Z.; Cross, L.E. Oxygen-vacancy-related low-frequency dielectric relaxation and electrical conduction in Bi:SrTiO3. Phys. Rev. B 2000, 62, 228–236. [Google Scholar] [CrossRef]
- Han, F.F.; Deng, J.M.; Liu, X.Q.; Yan, T.X.; Ren, S.K.; Ma, X.; Liu, S.S.; Peng, B.L.; Liu, L.J. High-temperature dielectric and relaxation behavior of Yb-doped Bi0.5Na0.5TiO3 ceramics. Cera. Inter. 2017, 43, 5564. [Google Scholar] [CrossRef]
- Sridarane, R.; Subramanian, S.; Janani, N.; Murugan, R. Investigation on microstructure, dielectric and impedance properties of Sr1−xBi2+(2/3)x(VxTa1−x)2O9 [x = 0, 0.1 and 0.2] ceramics. J. Alloys. Compd. 2010, 492, 642–648. [Google Scholar] [CrossRef]
- Raymond, O.; Font, R.; Suarez-Almodovar, N.; Portelles, J.; Siqueiros, J.M. Frequency-temperature response of ferroelectromagnetic Pb(Fe1/2Nb1/2)O3 ceramics obtained by different precursors. Part II. Impedance spectroscopy characterization. J. Appl. Phys. 2005, 97, 084108. [Google Scholar] [CrossRef]
- Tang, R.J.; Jiang, C.; Qian, W.; Jian, J.; Zhang, X.; Wang, H.Y.; Yang, H. Dielectric relaxation, resonance and scaling behaviors in Sr3Co2Fe24O41 hexaferrite. Sci. Rep. 2015, 5, 13645. [Google Scholar] [CrossRef]
- Idrees, M.; Nadeem, M.; Atif, M.; Siddique, M.; Mehmood, M.; Hassan, M.M. Origin of colossal dielectric response in LaFeO3. Acta. Mater. 2011, 59, 1338–1345. [Google Scholar] [CrossRef]
- Wang, C.C.; Lu, H.B.; Jin, K.J.; Yang, G.Z. Temperature-dependent dielectric strength of a Maxwell-Wagner type relaxation. Mod. Phys. Lett. B 2008, 22, 1297–1305. [Google Scholar] [CrossRef]
- Xu, J.; Itoh, M. Unusual dielectric relaxation in lightly doped n-type rhombohedral BaTi0.85Zr0.15O3: Ta ferroelectric ceramics. Chem. Mater. 2005, 17, 1711–1716. [Google Scholar] [CrossRef]
- Gerhardt, R. Impedance and dielectric-spectroscopy revisited distinguishing localized relaxation from long-range conductivity. J. Phys. Chem. Solids. 1994, 55, 1491–1506. [Google Scholar] [CrossRef]








| Temp.(K) | Rgb (MΩ) | Cgb (pF) | CPE (10−8 S·sn) | n | Rg (MΩ) | Cg (pF) | CPE (10−8 S·sn) | n |
|---|---|---|---|---|---|---|---|---|
| 235 | 2.628 | 189.3 | 24.54 | 0.473 | 0.951 | 108.2 | 1.501 | 0.564 |
| 265 | 9 × 109 | 1081 | 2738 | 0.278 | 0.074 | 71.95 | 3.926 | 0.568 |
© 2019 by the authors. Licensee MDPI, Basel, Switzerland. This article is an open access article distributed under the terms and conditions of the Creative Commons Attribution (CC BY) license (http://creativecommons.org/licenses/by/4.0/).
Share and Cite
Wang, S.; Zhang, X.; Yao, R.; Fan, L.; Zhou, H. High-Temperature Dielectric Relaxation Behaviors in Mn3O4 Polycrystals. Materials 2019, 12, 4026. https://doi.org/10.3390/ma12244026
Wang S, Zhang X, Yao R, Fan L, Zhou H. High-Temperature Dielectric Relaxation Behaviors in Mn3O4 Polycrystals. Materials. 2019; 12(24):4026. https://doi.org/10.3390/ma12244026
Chicago/Turabian StyleWang, Songwei, Xin Zhang, Rong Yao, Liguo Fan, and Huaiying Zhou. 2019. "High-Temperature Dielectric Relaxation Behaviors in Mn3O4 Polycrystals" Materials 12, no. 24: 4026. https://doi.org/10.3390/ma12244026
APA StyleWang, S., Zhang, X., Yao, R., Fan, L., & Zhou, H. (2019). High-Temperature Dielectric Relaxation Behaviors in Mn3O4 Polycrystals. Materials, 12(24), 4026. https://doi.org/10.3390/ma12244026
