Mechanical High-Temperature Properties and Damage Behavior of Coarse-Grained Alumina Refractory Metal Composites
Abstract
1. Introduction
2. Materials and Methods
2.1. Materials and Preparation
2.2. Mechanical Testing
2.3. Microstructural Investigations
3. Results and Discussion
3.1. Initial Microstructure of Refractory Metal-Alumina Composites
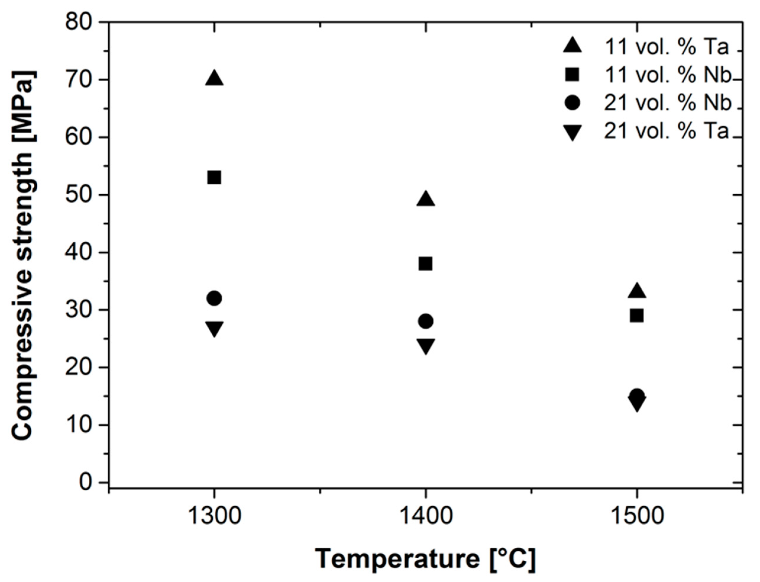
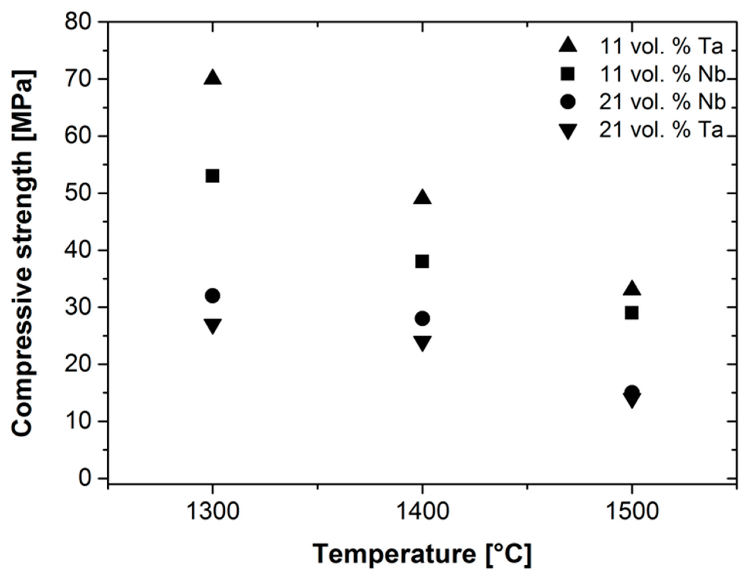
3.2. High-Temperature Compression Behavior
3.3. Stress-Relaxation Tests
4. Summary
Author Contributions
Funding
Acknowledgments
Conflicts of Interest
References
- Aneziris, C.G.; Homola, F.; Borzov, D. Material and Process development of Advanced Refractories for Innovative Metal Processing. Adv. Eng. Mater. 2004, 6, 562–568. [Google Scholar] [CrossRef]
- Davis, J.R. Heat-Resistant Materials, 1st ed.; ASM International: Metals Park, OH, USA, 1997. [Google Scholar]
- Schider, S. Hochschmelzende Metalle: Pulvermetallurgische Werkstoffe für High-Tech-Anwendungen; Verlag Moderne Industrie: Landsberg-Am Lech, Germany, 1990. [Google Scholar]
- Kirby, R.K.; Hahn, T.A.; Rothrock, B.D. American Institute of Physics Handbook-4f. Thermal Expansion, 3rd ed.; McGraw-Hill Book Company: New York, NY, USA, 1972. [Google Scholar]
- Kramer, C. Thermal Shock Resistance of Al2O3 and Al2O3/Nb Cermets; Sandia Labs.: Livermore, CA, USA, 1975; pp. 11–34.
- Beals, J.; Nardone, V. Tensile behaviour of a niobium/alumina composite laminate. J. Mater. Sci. 1994, 29, 2526–2530. [Google Scholar] [CrossRef]
- Shaw, L.; Miracle, D.; Abbaschian, R. Microstructure and mechanical properties of metal/oxide and metal/silicide interfaces. Acta Metall. Mater. 1995, 43, 4267–4279. [Google Scholar] [CrossRef]
- García, D.; Schicker, S.; Janssen, R.; Claussen, N. Nb- and Cr-Al2O3 composites with interpenetrating networks. J. Eur. Ceram. Soc. 1998, 18, 601–605. [Google Scholar] [CrossRef]
- García, D.; Schicker, S.; Bruhn, J.; Janssen, R.; Claussen, N. Processing and Mechanical Properties of Pressureless-Sintered Niobium-Alumina-Matrix Composites. J. Am. Ceram. Soc. 1998, 81, 429–432. [Google Scholar] [CrossRef]
- Korn, D.; Elssner, G.; Cannon, R.; Rühle, M. Fracture properties of interfacially doped Nb-Al2O3 bicrystals: I, fracture characteristics. Acta Mater. 2002, 50, 3881–3901. [Google Scholar] [CrossRef]
- Thomson, K.; Jiang, D.; Yao, W.; Ritchie, R.; Mukherjee, A. Characterization and mechanical testing of alumina-based nanocomposites reinforced with niobium and/or carbon nanotubes fabricated by spark plasma sintering. Acta Mater. 2012, 60, 622–632. [Google Scholar] [CrossRef]
- Morozumi, S.; Kikuchi, M.; Nishino, T. Bonding mechanism between alumina and niobium. J. Mater. Sci. 1981, 16, 2137–2144. [Google Scholar] [CrossRef]
- Burger, K.; Mader, W.; Rühle, M. Structure, chemistry and diffusion bonding of metal/ceramic interfaces. Ultramicroscopy 1987, 22, 1–13. [Google Scholar] [CrossRef]
- Mader, W.; Rühle, M. Electron microscopy studies of defects at diffusion-bonded Nb/Al2O3 interfaces. Acta Metall. 1989, 37, 853–866. [Google Scholar] [CrossRef]
- Rühle, M.; Evans, A. Structure and chemistry of metal/ceramic interfaces. Mater. Sci. Eng. A 1989, 107, 187–197. [Google Scholar] [CrossRef]
- Bruley, J.; Brydson, R.; Müllejans, H.; Mayer, J.; Gutekunst, G.; Mader, W.; Knauss, D.; Rühle, M. Investigations of the chemistry and bonding at niobium-sapphire interfaces. J. Mater. Res. 1994, 9, 2574–2583. [Google Scholar] [CrossRef]
- Kapsa, R.; Matolín, M.; Gruzza, B. The AES and EELS study of thin alumina films deposited on niobium. Vacuum 1998, 50, 233–235. [Google Scholar] [CrossRef]
- Sichinava, M.; Kobyakov, V. Interfacial reactions in layered composites of Nb-Al2O3 and Nb (1% Zr)-Al2O3 in high-temperature annealing. Refract. Ind. Ceram. 1999, 40, 203–207. [Google Scholar] [CrossRef]
- Scheu, C.; Dehm, G.; Kaplan, W.D.; García, D.E.; Claussen, N. Microstructure of Alumina Composites Containing Niobium and Niobium Aluminides. J. Am. Ceram. Soc. 2000, 83, 397–402. [Google Scholar] [CrossRef]
- McKeown, J.T.; Sugar, J.D.; Gronsky, R.; Glaeser, A.M. Effects of impurities on alumina-niobium interfacial microstructures. Mater. Charac. 2006, 57, 50–57. [Google Scholar] [CrossRef][Green Version]
- Portu, G.d.; Guicciardi, S.; Melandri, C.; Monteverde, F. Wear behaviour of Al2O3-Mo and Al2O3-Nb composites. Wear 2007, 262, 1346–1352. [Google Scholar] [CrossRef]
- Grossman, L. Niobium-Al2O3 Reactions Yielding Condensed and Volatile Products. J. Chem. Phys. 1966, 44, 4127–4131. [Google Scholar] [CrossRef]
- Santos, W.N.D.; Filho, P.I.P.; Taylor, R. Effect of addition of niobium oxide on the thermal conductivity of alumina. J. Eur. Ceram. Soc. 1998, 18, 807–811. [Google Scholar] [CrossRef]
- Huang, T.; Rahaman, M.; Bal, B. Alumina–tantalum composite for femoral head applications in total hip arthroplasty. Mater. Sci. Eng. C 2009, 29, 1935–1941. [Google Scholar] [CrossRef]
- Ferber, M.K.; Jenkins, M.G.; Tennery, V.J. Comparison of tension, compression, and flexure creep for alumina and silicon nitride ceramics. Ceram. Eng. Sci. Proc. 1990, 11, 1028–1045. [Google Scholar]
- Robertson, A.G.; Wilkinson, D.S.; Cacerest, C.H. Creep and creep fracture in hot- pressed alumina. J. Am. Ceram. Soc. 1991, 74, 915–921. [Google Scholar] [CrossRef]
- Scheu, C.; Dehm, G.; Kaplan, W.D.; Wagner, F.; Claussen, N. Microstructure and phase evolution of niobium-aluminide-alumina composites prepared by melt-infiltration. Phys. Stat. Sol. A 1998, 166, 241–255. [Google Scholar] [CrossRef]
- Thomson, K.E.; Jiang, D.; Lemberg, J.A.; Koester, K.J.; Ritchie, R.O.; Mukherjee, A.K. In situ bend testing of niobium-reinforced alumina nanocomposites with and without single-walled carbon nanotubes. Mater. Sci. Eng. A 2008, 493, 256–260. [Google Scholar] [CrossRef]
- Moya, J.S.; Diaz, M.; Gutiérrez-González, C.F.; Diaz, L.A.; Torrecillas, R.; Bartolomé, J.F. Mullite-refractory metal (Mo, Nb) composites. J. Eur. Ceram. Soc. 2008, 28, 479–491. [Google Scholar] [CrossRef]
- Bartolomé, J.F.; Gutiérrez-González, C.F.; Pecharroman, C.; Moya, J.S. Synergistic toughening mechanism in 3Y–TZP/Nb composites. Acta Mater. 2007, 55, 5924–5933. [Google Scholar] [CrossRef]
- Bartolomé, J.F.; Gutiérrez-González, C.F.; Torrecillas, R. Mechanical properties of alumina-zirconia-Nb micro-nano hybrid composites. Compos. Sci. Technol. 2008, 68, 1392–1398. [Google Scholar] [CrossRef]
- Smirnov, A.; Bartolomé, J.F.; Kurland, H.D.; Grabow, J.; Müller, F.A. Design of a new zirconia–alumina–Ta micro-nanocomposite with unique mechanical properties. J. Am. Ceram. Soc. 2016, 99, 3205–3209. [Google Scholar] [CrossRef]
- Smirnov, A.; Beltrán, J.I.; Rodriguez-Suarez, T.; Pecharromán, C.; Muñoz, M.C.; Moya, J.S.; Bartolomé, J.F. Unprecedented simultaneous enhancement in damage tolerance and fatigue resistance of zirconia/Ta composites. Sci. Rep. 2017, 7, 44922. [Google Scholar] [CrossRef]
- Mocellin, A.; Kingery, W. Creep Deformation in MgO-Saturated Large-Grain-Size Al2O3. J. Am. Ceram. Soc. 1971, 54, 339–341. [Google Scholar] [CrossRef]
- Cannon, W.R.; Sherby, O.D. Creep Behavior and Grain-Boundary Sliding in Polycrystalline Al2O3. J. Am. Ceram. Soc. 1977, 60, 44–47. [Google Scholar] [CrossRef]
- Rice, R. Review—Ceramic tensile strength-grain size relations: Grain sizes, slopes, and branch intersections. J. Mater. Sci. 1997, 32, 1673–1692. [Google Scholar] [CrossRef]
- Schafföner, S.; Aneziris, C.G. Pressure slip casting of coarse grain oxide ceramics. Ceram. Int. 2012, 38, 417–422. [Google Scholar] [CrossRef]
- Fruhstorfer, J.; Demuth, C.; Goetze, P.; Aneziris, C.G.; Ray, S.; Gross, U.; Trimis, D. How the coarse fraction influences the microstructure and the effective thermal conductivity of alumina castables—An experimental and numerical study. J. Eur. Ceram. Soc. 2018, 38, 303–312. [Google Scholar] [CrossRef]
- Zienert, T.; Farhani, M.; Dudczig, S.; Aneziris, C.G. Coarse-grained refractory composites based on Nb-Al2O3 and Ta-Al2O3 castables. Ceram. Int. 2018, 44, 16809–16818. [Google Scholar] [CrossRef]
- Jasper-Tönnies, B.; Müller-Buschbaum, H.K. Synthese und Struktur yon AITaO4. Z. Anorg. Allg. Chem. 1983, 504, 113–116. [Google Scholar] [CrossRef]
- Harneit, O.; Müller-Buschbaum, H.K. AITaO4 mit AINbO4-Struktur. Z. Anorg. Allg. Chem. 1991, 596, 107–110. [Google Scholar] [CrossRef]
- Vermilyea, D.A. The oxidation of tantalum at 50–300°C. Acta Metall. 1958, 6, 166–171. [Google Scholar] [CrossRef]
- Voitovich, V.B.; Lavrenko, V.A.; Adejev, V.M.; Golovko, E.J. High-temperature oxidation of tantalum of different purity. Oxid. Met. 1995, 43, 509–526. [Google Scholar] [CrossRef]
- Sych, A.M.; Golub, A.M. Niobates and Tantalates of tervalent elements. Russ. Chem. Rev. 1977, 46, 210–225. [Google Scholar] [CrossRef]
- King, B.W.; Schultz, J.; Durbin, E.A.; Duckworth, W.H. Some Properties of Tantala Systems; BMI-1106; United States Atomic Energy Commission: Germantown, MD, USA, 1956; Volume 13, pp. 1–39. [Google Scholar]
- Roth, R.S.; Waring, J.L. Effect of oxide additions on the polymorphism of tantalum pentoxide III. Stabilization of the low temperature structure. J. Res. Natl. Bur. Stand. A 1970, 74, 485–493. [Google Scholar] [CrossRef]
- Yamaguchi, O.; Tomihisa, D.; Uegaki, T.; Shimizu, K. Formation and transformation of δ-Ta2O5 solid solution in the system Ta2O5-Al2O3. J. Am. Ceram. Soc. 1987, 70, C335–C338. [Google Scholar] [CrossRef]
- Massih, A.R.; Pérez, R.J. Thermodynamic Evaluation of the Nb-O System; Technical Report. PM 05-002 v2; Quantum Technologies AB: Uppsala, Sweden, 2006. [Google Scholar]
- Solarek, J.; Himcinschi, C.; Klemm, Y.; Aneziris, C.G.; Biermann, H. Ductile behaviour of fine-grained, carbon-bonded materials at elevated temperature. Carbon 2017, 122, 141–149. [Google Scholar] [CrossRef]









© 2019 by the authors. Licensee MDPI, Basel, Switzerland. This article is an open access article distributed under the terms and conditions of the Creative Commons Attribution (CC BY) license (http://creativecommons.org/licenses/by/4.0/).
Share and Cite
Weidner, A.; Ranglack-Klemm, Y.; Zienert, T.; Aneziris, C.G.; Biermann, H. Mechanical High-Temperature Properties and Damage Behavior of Coarse-Grained Alumina Refractory Metal Composites. Materials 2019, 12, 3927. https://doi.org/10.3390/ma12233927
Weidner A, Ranglack-Klemm Y, Zienert T, Aneziris CG, Biermann H. Mechanical High-Temperature Properties and Damage Behavior of Coarse-Grained Alumina Refractory Metal Composites. Materials. 2019; 12(23):3927. https://doi.org/10.3390/ma12233927
Chicago/Turabian StyleWeidner, Anja, Yvonne Ranglack-Klemm, Tilo Zienert, Christos G. Aneziris, and Horst Biermann. 2019. "Mechanical High-Temperature Properties and Damage Behavior of Coarse-Grained Alumina Refractory Metal Composites" Materials 12, no. 23: 3927. https://doi.org/10.3390/ma12233927
APA StyleWeidner, A., Ranglack-Klemm, Y., Zienert, T., Aneziris, C. G., & Biermann, H. (2019). Mechanical High-Temperature Properties and Damage Behavior of Coarse-Grained Alumina Refractory Metal Composites. Materials, 12(23), 3927. https://doi.org/10.3390/ma12233927

