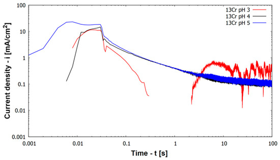
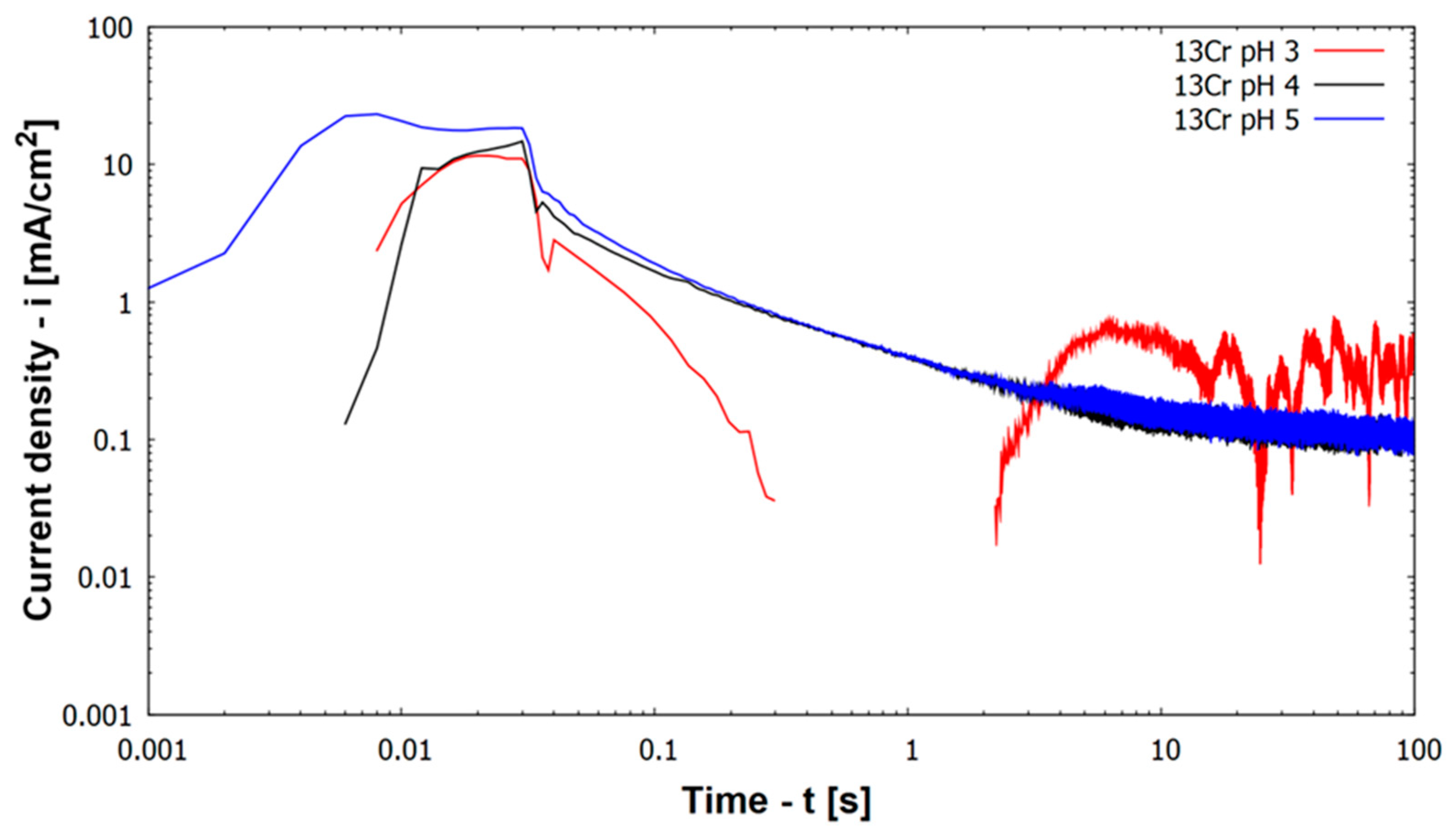
Activation and Repassivation of Stainless Steels in Artificial Brines as a Function of pH
Mujanović, E.; Zajec, B.; Kosec, T.; Legat, A.; Hönig, S.; Zehethofer, G.; Mori, G. Activation and Repassivation of Stainless Steels in Artificial Brines as a Function of pH. Materials 2019, 12, 3811. https://doi.org/10.3390/ma12233811
Mujanović E, Zajec B, Kosec T, Legat A, Hönig S, Zehethofer G, Mori G. Activation and Repassivation of Stainless Steels in Artificial Brines as a Function of pH. Materials. 2019; 12(23):3811. https://doi.org/10.3390/ma12233811
Chicago/Turabian StyleMujanović, Emir, Bojan Zajec, Tadeja Kosec, Andraž Legat, Stefan Hönig, Gerald Zehethofer, and Gregor Mori. 2019. "Activation and Repassivation of Stainless Steels in Artificial Brines as a Function of pH" Materials 12, no. 23: 3811. https://doi.org/10.3390/ma12233811


