Annealing of Boron-Doped Hydrogenated Crystalline Silicon Grown at Low Temperature by PECVD
Abstract
1. Introduction
2. Materials and Methods
2.1. Doped epi-Si Growth by PECVD at Low Temperature
2.2. Characterization Methods
3. Results and Discussion
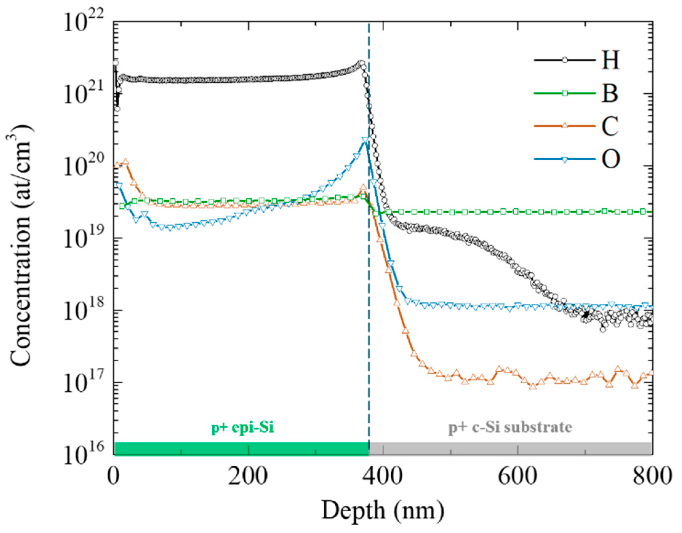
3.1. Structural and Elemental Analysis
3.2. Impact of Annealing on the Electrical Properties
3.3. Defect Characterization by Low-Temperature PL
4. Conclusions
Author Contributions
Funding
Acknowledgments
Conflicts of Interest
References
- U.S. Energy Information Administration. International Energy Outlook 2019. Available online: https://www.eia.gov/outlooks/ieo/ (accessed on 30 September 2019).
- Vartiainen, E.; Breyer, C.; Moser, D.; Medina, E.R. Impact of weighted average cost of capital, capital expenditure, and other parameters on future utility-scale PV levelised cost of electricity. Prog. Photovolt. 2019, 1–15. [Google Scholar] [CrossRef]
- Osborne, M. Imec and Jolywood R&D Collaboration on Bifacial n-PERT Solar Cells Hits a Record 23.2% Efficiency. 2019. Available online: https://www.pv-tech.org/news/imec-and-jolywood-rd-collaboration-on-bifacial-n-pert-solar-cells-hits-a-re (accessed on 30 September 2019).
- Osborne, M. Trina Solar Uses Super-Sized N-Type Mono Wafer for Record 24.58% i-TOPCon Bifacial Cell. 2019. Available online: https://www.pv-tech.org/news/trina-solar-uses-super-sized-n-type-mono-wafer-for-record-24.58-i-topcon-bi. (accessed on 30 September 2019).
- Gao, J.; Nakashima, H.; Sakai, N.; Gao, D.; Wang, J.; Furukawa, K.; Muraoka, K. Growth of epitaxial silicon film at low temperature by using sputtering-type electron cyclotron resonance plasma. JPN J. Appl. Phys. 1999, 38, 220–222. [Google Scholar] [CrossRef]
- Léal, R.; Haddad, F.; Poulain, G.; Maurice, J.-L.; Roca i Cabarrocas, P. High quality boron-doped epitaxial layers grown at 200 °C from SiF4/H2/Ar gas mixtures for emitter formation in crystalline silicon solar cells. AIP Adv. 2017, 7, 025006. [Google Scholar] [CrossRef]
- Labrune, M.; Moreno, M.; Roca, P. Ultra-shallow junctions formed by quasi-epitaxial growth of boron and phosphorous-doped silicon fi lms at 175 °C by rf-PECVD. Thin Solid Films 2010, 518, 2528–2530. [Google Scholar] [CrossRef]
- Binetti, S.; Le Donne, A.; Sassella, A. Photoluminescence and infrared spectroscopy for the study of defects in silicon for photovol taic applications. Sol. Energy Mater. Sol. Cells 2014, 130, 696–703. [Google Scholar] [CrossRef]
- Roca i Cabarrocas, P.; Kumar, S.; Drevillon, B. In situ study of the thermal decomposition of B2H6 by combining spectroscopic ellipsometry and Kelvin probe measurements. J. Appl. Phys. 1989, 66, 3286–3292. [Google Scholar] [CrossRef]
- Chen, W.; Hamon, G.; Léal, R.; Maurice, J.-L.; Largeau, L.; Roca i Cabarrocas, P. Growth of tetragonal Si via plasma-enhanced epitaxy. Cryst. Growth Des. 2017, 17, 4265–4269. [Google Scholar] [CrossRef]
- Pankove, J.I.; Zanzucchi, P.J.; Magee, C.W.; Lucovsky, G. Hydrogen localization near boron in silicon. Appl. Phys. Lett. 1985, 46, 421. [Google Scholar] [CrossRef][Green Version]
- Herrero, C.P.; Stutzmann, M.; Breitschwerdt, A. Boron-hydrogen complexes in crystalline silicon. Phys. Rev. B 1991, 43, 1555–1575. [Google Scholar] [CrossRef] [PubMed]
- Chrostowski, M.; Peyronnet, R.; Chen, W.; Vaissiere, N.; Alvarez, J.; Drahi, E.; Roca i Cabarrocas, P. Low temperature epitaxial growth of boron-doped silicon thin films. AIP Conf. Proc. 2018, 1999, 070001. [Google Scholar] [CrossRef]
- Rizk, R.; De Mierry, P.; Ballutaud, D.; Aucouturier, M.; Mathiot, D. Hydrogen diffusion and passivation processes in p- and n-type crystalline silicon. Phys. Rev. B 1991, 44, 6141–6151. [Google Scholar] [CrossRef] [PubMed]
- Hamma, S.; Cabarrocas, P.R. Low-temperature growth of thick intrinsic and ultrathin phosphorous or boron-doped microcrystalline silicon films: Optimum crystalline fractions for solar cell applications. Sol. Energy Mater. Sol. Cells 2001, 69, 217–239. [Google Scholar] [CrossRef]
- Sze, S.M.; Irvin, J.C. Resistivity, mobility and impurity levels in GaAs, Ge, and Si at 300 K. Solid State Electron. 1968, 11, 599–602. [Google Scholar] [CrossRef]
- Weman, H.; Monemar, B.; Oehrlein, G.S.; Jeng, S.J. Strain-induced quantum confinement of carriers due to extended defects in silicon. Phys. Rev. B 1990, 42, 3109–3113. [Google Scholar] [CrossRef] [PubMed]
- Canham, L.T.; Dyball, M.R.; Leong, W.Y.; Houlton, M.R.; Cullis, A.G.; Smith, P.W. Radiative recombination channels due to hydrogen in crystalline silicon. Mater. Sci. Eng. 1989, 4, 41–45. [Google Scholar] [CrossRef]
- Henry, A.; Monemar, B.; Lindström, J.L.; Bestwick, T.D.; Oehrlein, G.S. Photoluminescence characterization of plasma exposed silicon surfaces. J. Appl. Phys. 1991, 70, 5597. [Google Scholar] [CrossRef]




| Carriers Properties | As-Grown | 200 °C | 300 °C |
|---|---|---|---|
| Type | N | P | P |
| Concentration (at/cm3) | 5.2 × 1015 | 7.6 × 1018 | 6.3 × 1019 |
| Mobility (cm2/Vs) | 677 | 41 | 19 |
© 2019 by the authors. Licensee MDPI, Basel, Switzerland. This article is an open access article distributed under the terms and conditions of the Creative Commons Attribution (CC BY) license (http://creativecommons.org/licenses/by/4.0/).
Share and Cite
Chrostowski, M.; Alvarez, J.; Le Donne, A.; Binetti, S.; Roca i Cabarrocas, P. Annealing of Boron-Doped Hydrogenated Crystalline Silicon Grown at Low Temperature by PECVD. Materials 2019, 12, 3795. https://doi.org/10.3390/ma12223795
Chrostowski M, Alvarez J, Le Donne A, Binetti S, Roca i Cabarrocas P. Annealing of Boron-Doped Hydrogenated Crystalline Silicon Grown at Low Temperature by PECVD. Materials. 2019; 12(22):3795. https://doi.org/10.3390/ma12223795
Chicago/Turabian StyleChrostowski, Marta, José Alvarez, Alessia Le Donne, Simona Binetti, and Pere Roca i Cabarrocas. 2019. "Annealing of Boron-Doped Hydrogenated Crystalline Silicon Grown at Low Temperature by PECVD" Materials 12, no. 22: 3795. https://doi.org/10.3390/ma12223795
APA StyleChrostowski, M., Alvarez, J., Le Donne, A., Binetti, S., & Roca i Cabarrocas, P. (2019). Annealing of Boron-Doped Hydrogenated Crystalline Silicon Grown at Low Temperature by PECVD. Materials, 12(22), 3795. https://doi.org/10.3390/ma12223795

