Gradient Crystal Plasticity: A Grain Boundary Model for Slip Transmission
Abstract
1. Introduction
2. Model Framework
2.1. Bulk Kinematics: Finite Deformation Gradient Polycrystal Plasticity
2.2. Kinematic Relations at GBs: Slip Transmission
2.3. Balance Equations and Boundary Conditions
2.4. Constitutive Relations
2.4.1. Bulk Constitutive Relations: Gradient Crystal Plasticity
2.4.2. Surface Constitutive Relation: Dislocation Absorption by Surfaces
2.4.3. GB Constitutive Relation: Slip Transmission
3. Numerical Example: A Bicrystal Thin Film Under Plane Constrained Shear
3.1. Influence of Energetic and Dissipative GB Parameters
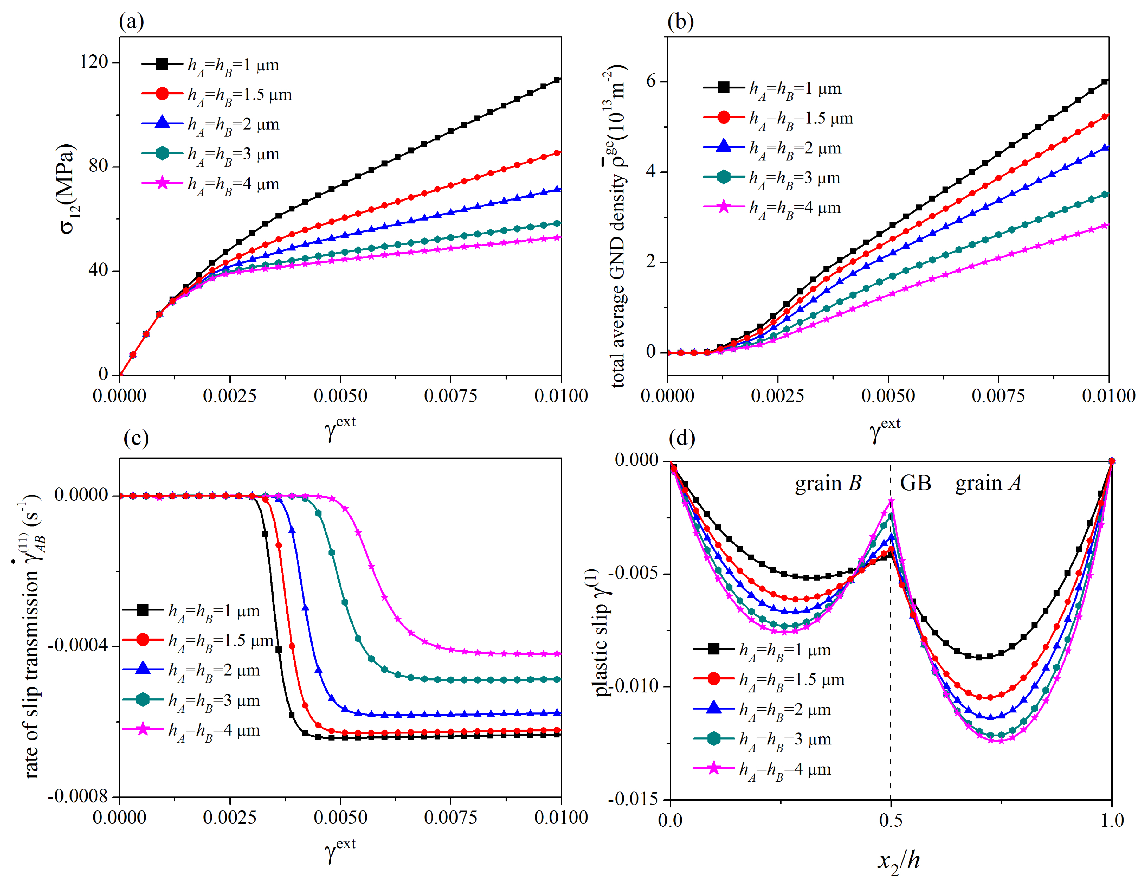
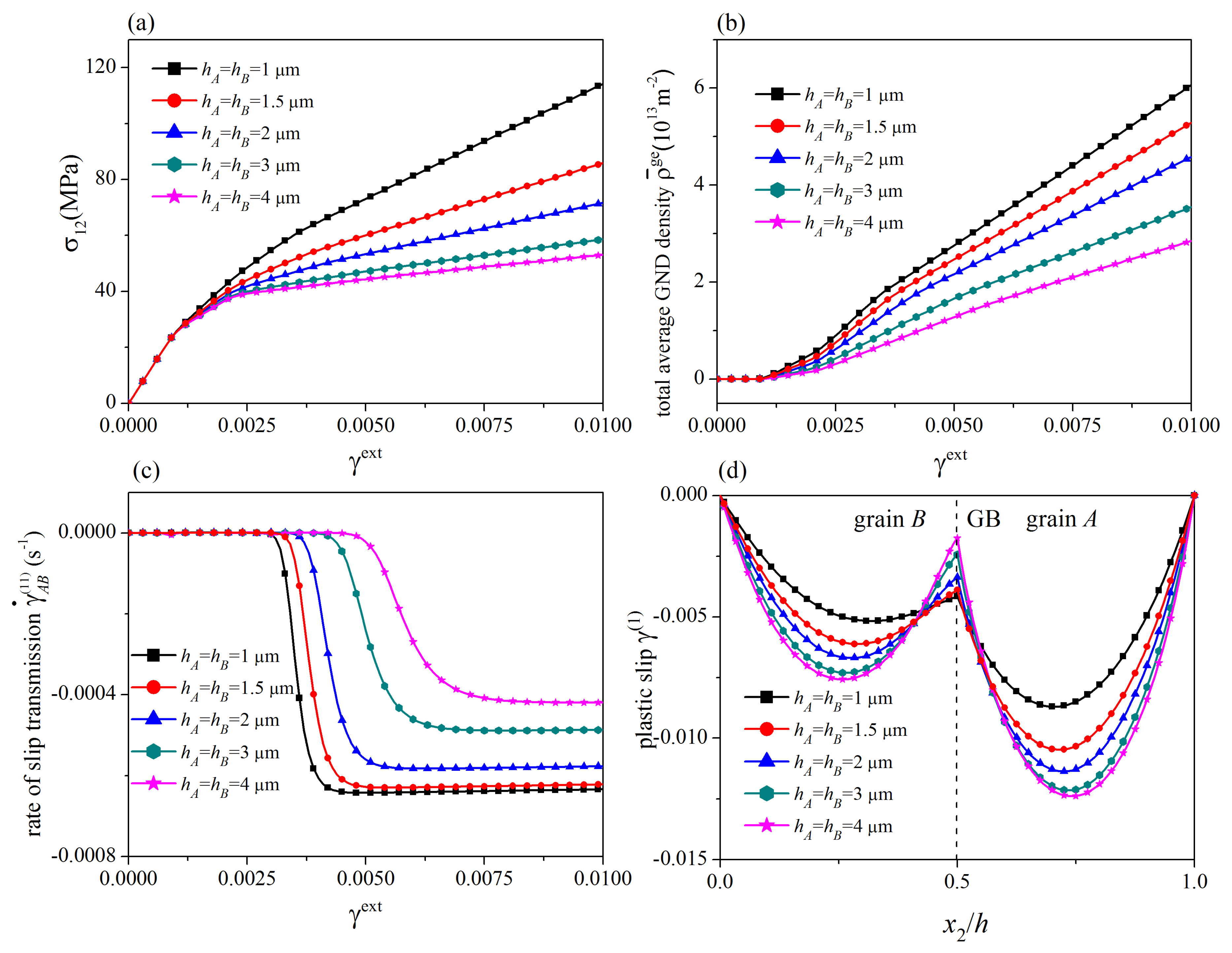
3.2. Influence of Grain Size
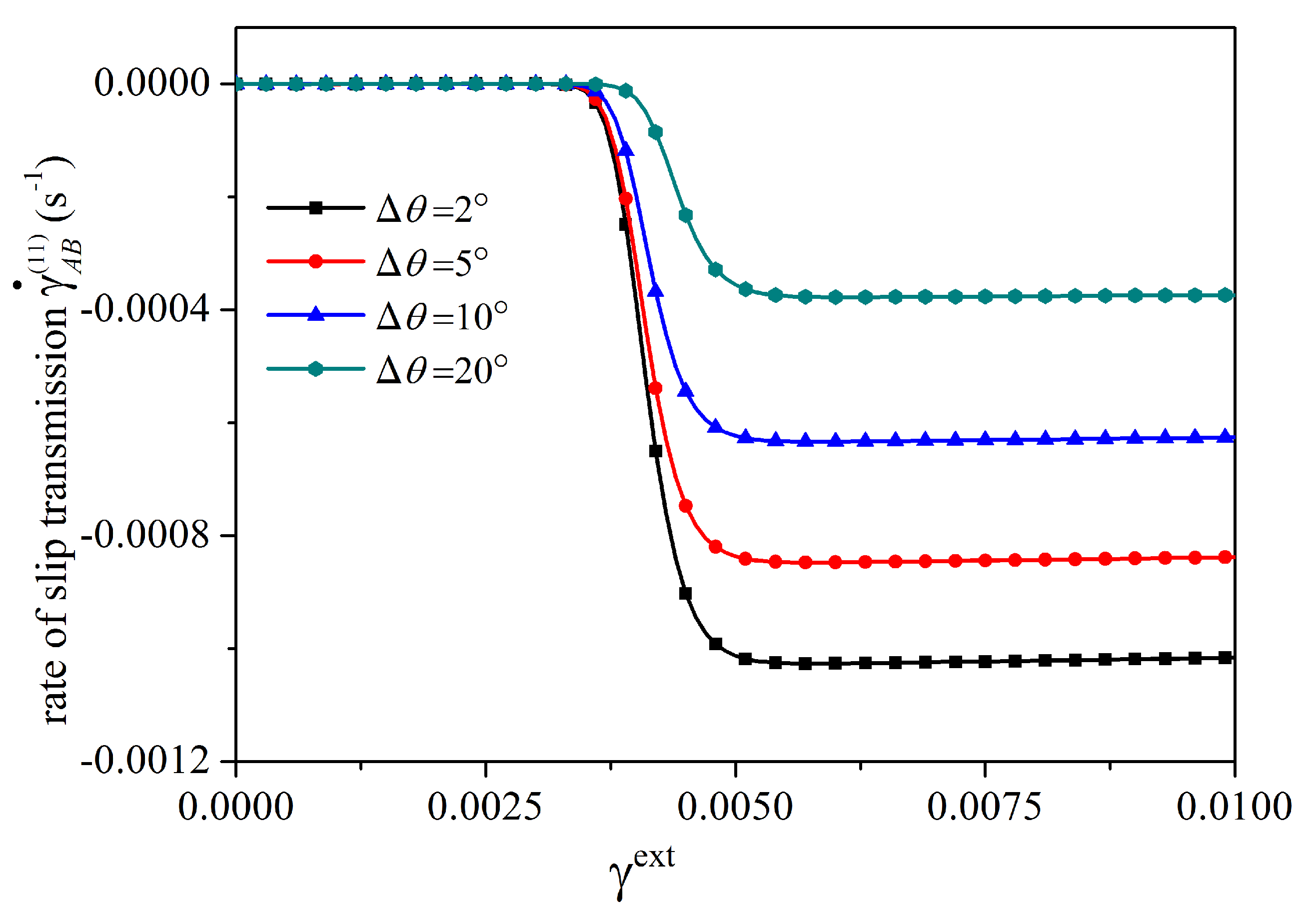
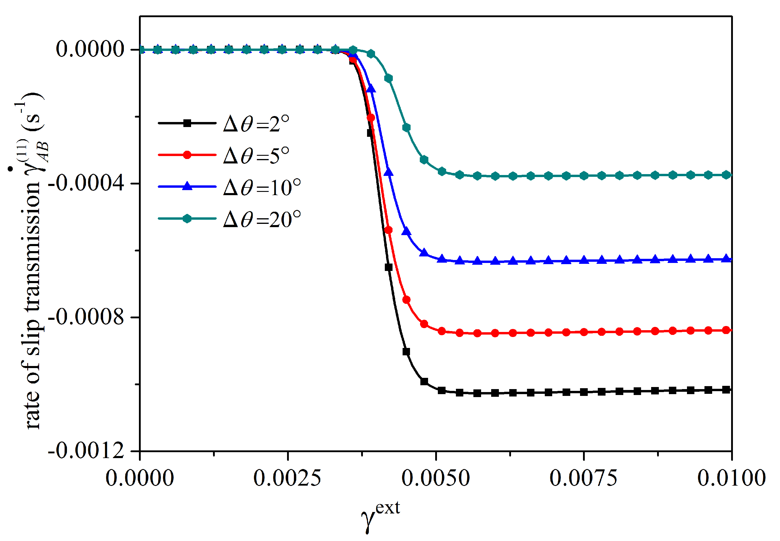
3.3. Influence of Grain Misorientation and GB Orientation
3.4. Influence of Surface Constraint
4. Summary
Author Contributions
Funding
Conflicts of Interest
Appendix A
References
- Hall, E.O. The deformation and ageing of mild steel: III discussion of results. Proc. Phys. Soc. Sect. B 1951, 64, 747. [Google Scholar] [CrossRef]
- Petch, N.J. The cleavage strength of polycrystals. J. Iron Steel Inst. 1953, 174, 25–28. [Google Scholar]
- Stölken, J.S.; Evans, A.G. A microbend test method for measuring the plasticity length scale. Acta Mater. 1998, 46, 5109–5115. [Google Scholar] [CrossRef]
- McElhaney, K.W.; Vlassak, J.J.; Nix, W.D. Determination of indenter tip geometry and indentation contact area for depth-sensing indentation experiments. J. Mater. Res. 1998, 13, 1300–1306. [Google Scholar] [CrossRef]
- Gu, X.W.; Loynachan, C.N.; Wu, Z.; Zhang, Y.W.; Srolovitz, D.J.; Greer, J.R. Size-dependent deformation of nanocrystalline Pt nanopillars. Nano Lett. 2012, 12, 6385–6392. [Google Scholar] [CrossRef] [PubMed]
- Cordero, Z.C.; Knight, B.E.; Schuh, C.A. Six decades of the Hall–Petch effect–a survey of grain-size strengthening studies on pure metals. Int. Mater. Rev. 2016, 61, 495–512. [Google Scholar] [CrossRef]
- Kacher, J.; Eftink, B.P.; Cui, B.; Robertson, I.M. Dislocation interactions with grain boundaries. Curr. Opin. Solid State Mater. Sci. 2014, 18, 227–243. [Google Scholar] [CrossRef]
- Spearot, D.E.; Sangid, M.D. Insights on slip transmission at grain boundaries from atomistic simulations. Curr. Opin. Solid State Mater. Sci. 2014, 18, 188–195. [Google Scholar] [CrossRef]
- Kacher, J.; Robertson, I.M. Quasi-four-dimensional analysis of dislocation interactions with grain boundaries in 304 stainless steel. Acta Mater. 2012, 60, 6657–6672. [Google Scholar] [CrossRef]
- Bachurin, D.V.; Weygand, D.; Gumbsch, P. Dislocation–grain boundary interaction in 〈111〉 textured thin metal films. Acta Mater. 2010, 58, 5232–5241. [Google Scholar] [CrossRef]
- Kuhr, B.; Farkas, D. Dislocation content in random high angle grain boundaries. Model. Simul. Mater. Sci. Eng. 2019, 27, 045005. [Google Scholar] [CrossRef]
- Ding, R.; Gong, J.; Wilkinson, A.J.; Jones, I.P. A study of dislocation transmission through a grain boundary in hcp Ti–6Al using micro-cantilevers. Acta Mater. 2016, 103, 416–423. [Google Scholar] [CrossRef]
- Shen, Z.; Wagoner, R.H.; Clark, W.A.T. Dislocation pile-up and grain boundary interactions in 304 stainless steel. Scr. Metall. 1986, 20, 921–926. [Google Scholar] [CrossRef]
- Shen, Z.; Wagoner, R.H.; Clark, W.A.T. Dislocation and grain boundary interactions in metals. Acta Metall. 1988, 36, 3231–3242. [Google Scholar] [CrossRef]
- Dewald, M.P.; Curtin, W.A. Multiscale modelling of dislocation/grain-boundary interactions: I. Edge dislocations impinging on Σ11 (1 1 3) tilt boundary in Al. Model. Simul. Mater. Sci. Eng. 2007, 15, S193. [Google Scholar] [CrossRef]
- Soer, W.A.; Aifantis, K.E.; De Hosson, J.T.M. Incipient plasticity during nanoindentation at grain boundaries in body-centered cubic metals. Acta Mater. 2005, 53, 4665–4676. [Google Scholar] [CrossRef]
- Yang, B.; Vehoff, H. Grain size effects on the mechanical properties of nanonickel examined by nanoindentation. Mater. Sci. Eng. A 2005, 400, 467–470. [Google Scholar] [CrossRef]
- Li, Z.; Hou, C.; Huang, M.; Ouyang, C. Strengthening mechanism in micro-polycrystals with penetrable grain boundaries by discrete dislocation dynamics simulation and Hall–Petch effect. Comput. Mater. Sci. 2009, 46, 1124–1134. [Google Scholar] [CrossRef]
- Kumar, R.; Szekely, F.; Van der Giessen, E. Modelling dislocation transmission across tilt grain boundaries in 2D. Comput. Mater. Sci. 2010, 49, 46–54. [Google Scholar] [CrossRef]
- Zhou, C.; LeSar, R. Dislocation dynamics simulations of plasticity in polycrystalline thin films. Int. J. Plast. 2012, 30, 185–201. [Google Scholar] [CrossRef]
- Ashby, M.F. The deformation of plastically non-homogeneous materials. Philos. Mag. J. Theor. Appl. Phys. 1970, 21, 399–424. [Google Scholar] [CrossRef]
- Nix, W.D.; Gao, H. Indentation size effects in crystalline materials: A law for strain gradient plasticity. J. Mech. Phys. Solids 1998, 46, 411–425. [Google Scholar] [CrossRef]
- Fleck, N.A.; Muller, G.M.; Ashby, M.F.; Hutchinson, J.W. Strain gradient plasticity: Theory and experiment. Acta Metall. Mater. 1994, 42, 475–487. [Google Scholar] [CrossRef]
- Chen, S.H.; Wang, T.C. A new hardening law for strain gradient plasticity. Acta Mater. 2000, 48, 3997–4005. [Google Scholar] [CrossRef]
- Alipour, A.; Reese, S.; Wulfinghoff, S. A grain boundary model for gradient-extended geometrically nonlinear crystal plasticity: Theory and numerics. Int. J. Plast. 2019, 118, 17–35. [Google Scholar] [CrossRef]
- Husser, E.; Bargmann, S. The role of geometrically necessary dislocations in cantilever beam bending experiments of single crystals. Materials 2017, 10, 289. [Google Scholar] [CrossRef]
- Amin, W.; Ali, M.A.; Vajragupta, N.; Hartmaier, A. Studying grain boundary strengthening by dislocation-based strain gradient crystal plasticity coupled with a multi-phase-field model. Materials 2019, 12, 2977. [Google Scholar] [CrossRef]
- Fleck, N.A.; Hutchinson, J.W. A phenomenological theory for strain gradient effects in plasticity. J. Mech. Phys. Solids 1993, 41, 1825–1857. [Google Scholar] [CrossRef]
- Fleck, N.A.; Hutchinson, J.W. Strain gradient plasticity. In Advances in Applied Mechanics; Academic: New York, NY, USA, 1997; Volume 33, pp. 295–361. [Google Scholar]
- Gurtin, M.E. On the plasticity of single crystals: Free energy, microforces, plastic-strain gradients. J. Mech. Phys. Solids 2000, 48, 989–1036. [Google Scholar] [CrossRef]
- Gurtin, M.E. A gradient theory of single-crystal viscoplasticity that accounts for geometrically necessary dislocations. J. Mech. Phys. Solids 2002, 50, 5–32. [Google Scholar] [CrossRef]
- Groma, I.; Csikor, F.F.; Zaiser, M. Spatial correlations and higher-order gradient terms in a continuum description of dislocation dynamics. Acta Mater. 2003, 51, 1271–1281. [Google Scholar] [CrossRef]
- Evers, L.P.; Brekelmans, W.A.M.; Geers, M.G.D. Non-local crystal plasticity model with intrinsic SSD and GND effects. J. Mech. Phys. Solids 2004, 52, 2379–2401. [Google Scholar] [CrossRef]
- Yefimov, S.; Groma, I.; Van der Giessen, E. A comparison of a statistical-mechanics based plasticity model with discrete dislocation plasticity calculations. J. Mech. Phys. Solids 2004, 52, 279–300. [Google Scholar] [CrossRef]
- Bargmann, S.; Svendsen, B.; Ekh, M. An extended crystal plasticity model for latent hardening in polycrystals. Comput. Mech. 2011, 48, 631–645. [Google Scholar] [CrossRef]
- Cermelli, P.; Gurtin, M.E. Geometrically necessary dislocations in viscoplastic single crystals and bicrystals undergoing small deformations. Int. J. Solids Struct. 2002, 39, 6281–6309. [Google Scholar] [CrossRef]
- Fredriksson, P.; Gudmundson, P. Competition between interface and bulk dominated plastic deformation in strain gradient plasticity. Model. Simul. Mater. Sci. Eng. 2007, 15, S61. [Google Scholar] [CrossRef]
- Ekh, M.; Bargmann, S.; Grymer, M. Influence of grain boundary conditions on modeling of size-dependence in polycrystals. Acta Mech. 2011, 218, 103–113. [Google Scholar] [CrossRef]
- Husser, E.; Soyarslan, C.; Bargmann, S. Size affected dislocation activity in crystals: Advanced surface and grain boundary conditions. Extrem. Mech. Lett. 2017, 13, 36–41. [Google Scholar] [CrossRef]
- Gudmundson, P. A unified treatment of strain gradient plasticity. J. Mech. Phys. Solids 2004, 52, 1379–1406. [Google Scholar] [CrossRef]
- Fredriksson, P.; Gudmundson, P. Size-dependent yield strength of thin films. Int. J. Plast. 2005, 21, 1834–1854. [Google Scholar] [CrossRef]
- Aifantis, K.E.; Soer, W.A.; De Hosson, J.T.M.; Willis, J.R. Interfaces within strain gradient plasticity: Theory and experiments. Acta Mater. 2006, 54, 5077–5085. [Google Scholar] [CrossRef]
- Huang, G.Y.; Svendsen, B. Effect of surface energy on the plastic behavior of crystalline thin films under plane strain constrained shear. Int. J. Fract. 2010, 166, 173–178. [Google Scholar] [CrossRef]
- Hurtado, D.E.; Ortiz, M. Surface effects and the size-dependent hardening and strengthening of nickel micropillars. J. Mech. Phys. Solids 2012, 60, 1432–1446. [Google Scholar] [CrossRef]
- Peng, X.L.; Huang, G.Y. Modeling dislocation absorption by surfaces within the framework of strain gradient crystal plasticity. Int. J. Solids Struct. 2015, 72, 98–107. [Google Scholar] [CrossRef]
- Gurtin, M.E. A theory of grain boundaries that accounts automatically for grain misorientation and grain-boundary orientation. J. Mech. Phys. Solids 2008, 56, 640–662. [Google Scholar] [CrossRef]
- Van Beers, P.R.M.; McShane, G.J.; Kouznetsova, V.G.; Geers, M.G.D. Grain boundary interface mechanics in strain gradient crystal plasticity. J. Mech. Phys. Solids 2013, 61, 2659–2679. [Google Scholar] [CrossRef]
- van Beers, P.R.M.; Kouznetsova, V.G.; Geers, M.G.D. Defect redistribution within a continuum grain boundary plasticity model. J. Mech. Phys. Solids 2015, 83, 243–262. [Google Scholar] [CrossRef]
- Wulfinghoff, S.; Bayerschen, E.; Böhlke, T. A gradient plasticity grain boundary yield theory. Int. J. Plast. 2013, 51, 33–46. [Google Scholar] [CrossRef]
- Wulfinghoff, S. A generalized cohesive zone model and a grain boundary yield criterion for gradient plasticity derived from surface-and interface-related arguments. Int. J. Plast. 2017, 92, 57–78. [Google Scholar] [CrossRef]
- Özdemir, İ.; Yalçinkaya, T. Modeling of dislocation–grain boundary interactions in a strain gradient crystal plasticity framework. Comput. Mech. 2014, 54, 255–268. [Google Scholar] [CrossRef]
- Peng, X.L.; Husser, E.; Huang, G.Y.; Bargmann, S. Modeling of surface effects in crystalline materials within the framework of gradient crystal plasticity. J. Mech. Phys. Solids 2018, 112, 508–522. [Google Scholar] [CrossRef]
- Shi, J.; Zikry, M.A. Modeling of grain boundary transmission, emission, absorption and overall crystalline behavior in Σ1, Σ3, and Σ17b bicrystals. J. Mater. Res. 2011, 26, 1676–1687. [Google Scholar] [CrossRef]
- Lee, E.H. Elastic-plastic deformation at finite strains. J. Appl. Mech. 1969, 36, 1–6. [Google Scholar] [CrossRef]
- Rice, J.R. Inelastic constitutive relations for solids: An internal-variable theory and its application to metal plasticity. J. Mech. Phys. Solids 1971, 19, 433–455. [Google Scholar] [CrossRef]
- Gurtin, M.E.; Anand, L. A theory of strain-gradient plasticity for isotropic, plastically irrotational materials. Part II: Finite deformations. Int. J. Plast. 2005, 21, 2297–2318. [Google Scholar] [CrossRef]
- Voyiadjis, G.Z.; Deliktas, B. Mechanics of strain gradient plasticity with particular reference to decomposition of the state variables into energetic and dissipative components. Int. J. Eng. Sci. 2009, 47, 1405–1423. [Google Scholar] [CrossRef]
- Bargmann, S.; Reddy, B.D.; Klusemann, B. A computational study of a model of single-crystal strain-gradient viscoplasticity with an interactive hardening relation. Int. J. Solids Struct. 2014, 51, 2754–2764. [Google Scholar] [CrossRef]
- Ertürk, I.; Van Dommelen, J.A.W.; Geers, M.G.D. Energetic dislocation interactions and thermodynamical aspects of strain gradient crystal plasticity theories. J. Mech. Phys. Solids 2009, 57, 1801–1814. [Google Scholar] [CrossRef]
- Ma, A.; Roters, F.; Raabe, D. Studying the effect of grain boundaries in dislocation density based crystal-plasticity finite element simulations. Int. J. Solids Struct. 2006, 43, 7287–7303. [Google Scholar] [CrossRef]
- Bayerschen, E.; McBride, A.T.; Reddy, B.D.; Böhlke, T. Review on slip transmission criteria in experiments and crystal plasticity models. J. Mater. Sci. 2016, 51, 2243–2258. [Google Scholar] [CrossRef]
- Zaefferer, S.; Kuo, J.C.; Zhao, Z.; Winning, M.; Raabe, D. On the influence of the grain boundary misorientation on the plastic deformation of aluminum bicrystals. Acta Mater. 2003, 51, 4719–4735. [Google Scholar] [CrossRef]
- Ekh, M.; Grymer, M.; Runesson, K.; Svedberg, T. Gradient crystal plasticity as part of the computational modelling of polycrystals. Int. J. Numer. Methods Eng. 2007, 72, 197–220. [Google Scholar] [CrossRef]









© 2019 by the authors. Licensee MDPI, Basel, Switzerland. This article is an open access article distributed under the terms and conditions of the Creative Commons Attribution (CC BY) license (http://creativecommons.org/licenses/by/4.0/).
Share and Cite
Peng, X.-L.; Huang, G.-Y.; Bargmann, S. Gradient Crystal Plasticity: A Grain Boundary Model for Slip Transmission. Materials 2019, 12, 3761. https://doi.org/10.3390/ma12223761
Peng X-L, Huang G-Y, Bargmann S. Gradient Crystal Plasticity: A Grain Boundary Model for Slip Transmission. Materials. 2019; 12(22):3761. https://doi.org/10.3390/ma12223761
Chicago/Turabian StylePeng, Xiang-Long, Gan-Yun Huang, and Swantje Bargmann. 2019. "Gradient Crystal Plasticity: A Grain Boundary Model for Slip Transmission" Materials 12, no. 22: 3761. https://doi.org/10.3390/ma12223761
APA StylePeng, X.-L., Huang, G.-Y., & Bargmann, S. (2019). Gradient Crystal Plasticity: A Grain Boundary Model for Slip Transmission. Materials, 12(22), 3761. https://doi.org/10.3390/ma12223761

