Synthesis of High-performance LiNi0.6Co0.2Mn0.2O2 Cathode Material for Lithium-ion Batteries by Using a Four Times Liquid Nitrogen Quenching Method and an Al2O3 Coating Method
Abstract
:1. Introduction
2. Experimental
2.1. Preparation of LiNi0.6Co0.2Mn0.2O2
2.2. Characterization
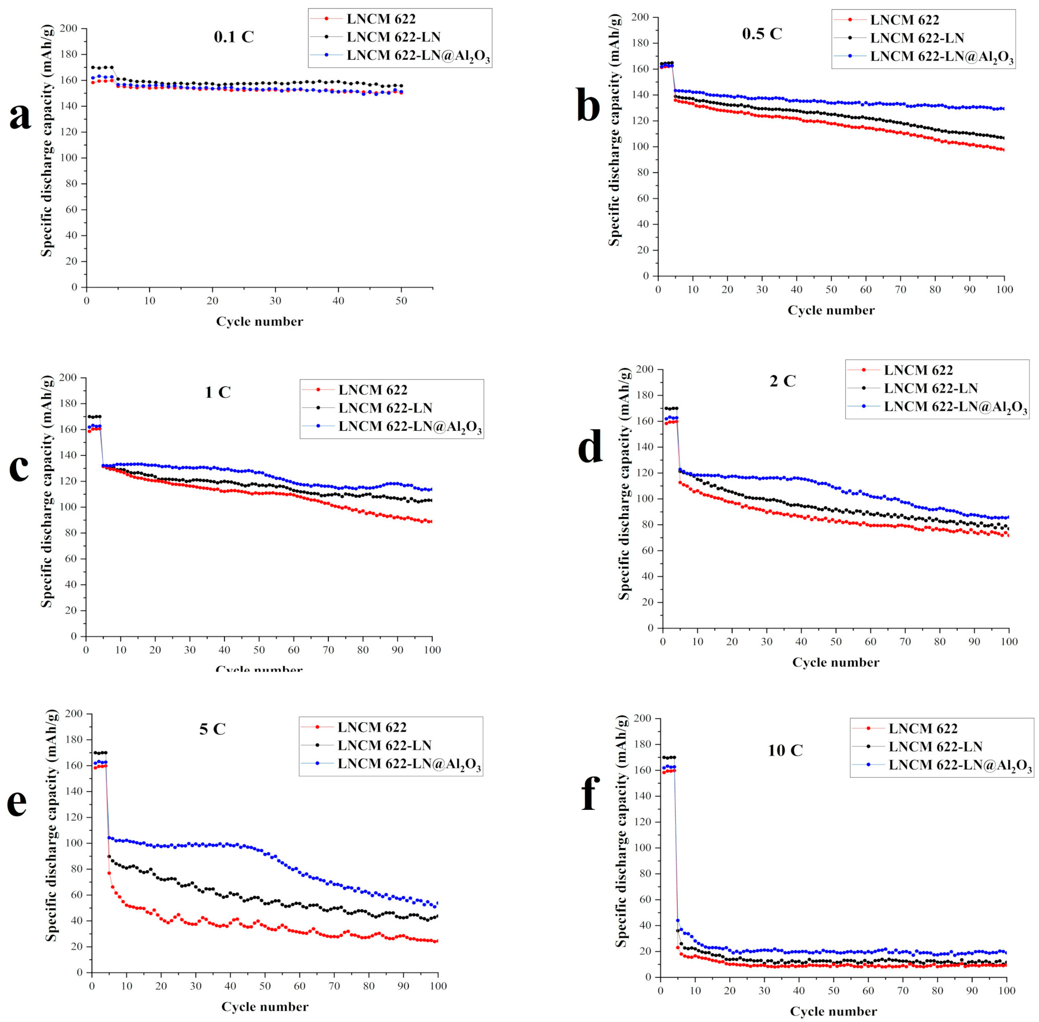
3. Results and Discussion
4. Conclusions
Author Contributions
Funding
Acknowledgments
Conflicts of Interest
References
- Kim, M.H.; Shin, H.S.; Shin, D.; Sun, Y.K. Synthesis and electrochemical properties of Li[Ni0.8Co0.1Mn0.1]O2 and Li[Ni0.8Co0.2]O2 via co-precipitation. J. Power Sour. 2006, 159, 1328–1333. [Google Scholar] [CrossRef]
- Cao, H.; Zhang, Y.; Zhang, J.; Xia, B. Synthesis and electrochemical characteristics of layered LiNi0.6Co0.2Mn0.2O2 cathode material for lithium ion batteries. Solid State Ion. Diffus. React. 2005, 176, 1207–1211. [Google Scholar] [CrossRef]
- Li, J.; Wang, L.; Zhang, Q.; He, X. Synthesis and characterization of LiNi0.6Mn0.4-xCoxO2 as cathode materials for Li-ion batteries. J. Power Sour. 2009, 189, 28–33. [Google Scholar] [CrossRef]
- Kasnatscheew, J.; Evertz, M.; Kloepsch, R.; Streipert, B.; Wagner, R.; Laskovic, I.C.; Winter, M. Learning from Electrochemical Data: Simple Evaluation and Classification of LiMO2-type-based Positive Electrodes for Li-Ion Batteries. Energy Technol. 2017, 5, 1670–1679. [Google Scholar] [CrossRef]
- Kasnatscheew, J.; Evertz, M.; Streipert, B.; Wagner, R.; Nowak, S.; Laskovic, I.C.; Winter, M. Improving cycle life of layered lithium transition metal oxide (LiMO2) based positive electrodes for Li ion batteries by smart selection of the electrochemical charge conditions. J. Power Sour. 2017, 359, 458–467. [Google Scholar] [CrossRef]
- Liao, P.Y.; Duh, J.G.; Sheen, S.R. Microstructure and electrochemical performance of LiNi0.6Co0.4−xMnxO2 cathode materials. J. Power Sour. 2005, 143, 212–218. [Google Scholar] [CrossRef]
- Zhong, S.K.; Wei, L.I.; Zuo, Z.G.; Xin, T.A.N.G.; Li, Y.H. Synthesis and electrochemical performances of LiNi0.6Co0.2Mn0.2O2 cathode materials. Trans. Nonferrous Met. Soc. China 2009, 19, 1499–1503. [Google Scholar] [CrossRef]
- Yue, P.; Wang, Z.; Guo, H.; Wu, F.; He, Z.; Li, X. Effect of synthesis routes on the electrochemical performance of Li[Ni0.6Co0.2Mn0.2]O2 for lithium ion batteries. J. Solid State Electrochem. 2012, 16, 3849–3854. [Google Scholar] [CrossRef]
- Li, T.; Li, X.; Wang, Z.; Guo, H.; Peng, W.; Zeng, K. Electrochemical properties of LiNi0.6Co0.2Mn0.2O2 as cathode material for Li-ion batteries prepared by ultrasonic spray pyrolysis. Mater. Lett. 2015, 159, 39–42. [Google Scholar] [CrossRef]
- Yue, P.; Wang, Z.; Li, X.; Xiong, X.; Wang, J.; Wu, X.; Guo, H. The enhanced electrochemical performance of LiNi0.6Co0.2Mn0.2O2 cathode materials by low temperature fluorine substitution. Electrochim. Acta 2013, 95, 112–118. [Google Scholar] [CrossRef]
- Zhang, Y.; Cao, H.; Zhang, J.; Xia, B. Synthesis of LiNi0.6Co0.2Mn0.2O2 cathode material by a carbonate co-precipitation method and its electrochemical characterization. Solid State Ion. Diffus. React. 2006, 177, 3303–3307. [Google Scholar] [CrossRef]
- Wang, G.; Zhang, L.; Yan, B.; Luo, J.; Su, X.; Yue, F. Oxygen vacancy-rich anatase TiO2 hollow spheres via liquid nitrogen quenching process for enhanced photocatalytic hydrogen evolution. ChemCatChem 2019, 11, 1057–1063. [Google Scholar] [CrossRef]
- Zhao, J.; Yang, B.; Yang, Z.; Zhang, P.; Zheng, Z.; Ren, W.; Yan, X. Facile preparation of large-scale graphene nanoscrolls from graphene oxide sheets by cold quenching in liquid nitrogen. Carbon 2014, 79, 470–477. [Google Scholar] [CrossRef]
- Il’Yushko, E.G.; Bedarev, A.S. Quenching parts made of aluminum alloys in liquid nitrogen. Met. Sci. Heat Treat. 1968, 10, 45–47. [Google Scholar] [CrossRef]
- Zhang, B.; Zheng, J.C. Synthesis of Li3V2(PO4)3/C with high tap-density and high-rate performance by spray drying and liquid nitrogen quenching method. Electrochim. Acta 2012, 67, 55–61. [Google Scholar] [CrossRef]
- Wu, L.; Zhong, S.K.; Liu, J.Q.; Lv, F.; Wan, K. High tap-density and high performance LiFePO4/C cathode material synthesized by the combined sol spray-drying and liquid nitrogen quenching method. Mater. Lett. 2012, 89, 32–35. [Google Scholar] [CrossRef]
- Wu, L.; Zhong, S.; Lv, F.; Liu, J. Improving the electrochemical performance of LiMnPO4/C by liquid nitrogen quenching. Mater. Lett. 2013, 110, 38–41. [Google Scholar] [CrossRef]
- Kim, Y.; Kim, H.S.; Martin, S.W. Synthesis and electrochemical characteristics of Al2O3-coated LiNi1/3Co1/3Mn1/3O2 cathode materials for lithium ion batteries. Electrochim. Acta 2006, 52, 1316–1322. [Google Scholar] [CrossRef]
- Rougier, A.; Gravereau, P.; Delmas, C. Optimization of the Composition of the Li1−zNi1+zO2 Electrode Materials: Structural, Magnetic, and Electrochemical Studies. J. Electrochem. Soc. 1996, 143, 1168–1175. [Google Scholar] [CrossRef]
- Zhang, X.; Jiang, W.J.; Mauger, A.; Gendron, F.; Julien, C.M. Minimization of the cation mixing in Li1+x(NMC)1−xO2 as cathode material. J. Power Sour. 2010, 195, 1292–1301. [Google Scholar] [CrossRef]
- Ohzuku, T.; Ueda, A.; Nagayama, M. Electrochemistry and Structural Chemistry of LiNiO2(R3m) for 4 Volt Secondary Lithium Cells. J. Electrochem. Soc. 1993, 140, 1862–1870. [Google Scholar] [CrossRef]







© 2019 by the authors. Licensee MDPI, Basel, Switzerland. This article is an open access article distributed under the terms and conditions of the Creative Commons Attribution (CC BY) license (http://creativecommons.org/licenses/by/4.0/).
Share and Cite
Yang, W.; Zuo, Y.; Chen, Q.; Zhang, Y. Synthesis of High-performance LiNi0.6Co0.2Mn0.2O2 Cathode Material for Lithium-ion Batteries by Using a Four Times Liquid Nitrogen Quenching Method and an Al2O3 Coating Method. Materials 2019, 12, 3666. https://doi.org/10.3390/ma12223666
Yang W, Zuo Y, Chen Q, Zhang Y. Synthesis of High-performance LiNi0.6Co0.2Mn0.2O2 Cathode Material for Lithium-ion Batteries by Using a Four Times Liquid Nitrogen Quenching Method and an Al2O3 Coating Method. Materials. 2019; 12(22):3666. https://doi.org/10.3390/ma12223666
Chicago/Turabian StyleYang, Wenyuan, Yinze Zuo, Qi Chen, and Yan Zhang. 2019. "Synthesis of High-performance LiNi0.6Co0.2Mn0.2O2 Cathode Material for Lithium-ion Batteries by Using a Four Times Liquid Nitrogen Quenching Method and an Al2O3 Coating Method" Materials 12, no. 22: 3666. https://doi.org/10.3390/ma12223666
APA StyleYang, W., Zuo, Y., Chen, Q., & Zhang, Y. (2019). Synthesis of High-performance LiNi0.6Co0.2Mn0.2O2 Cathode Material for Lithium-ion Batteries by Using a Four Times Liquid Nitrogen Quenching Method and an Al2O3 Coating Method. Materials, 12(22), 3666. https://doi.org/10.3390/ma12223666
