Electrophysical Properties of PMN-PT-Ferrite Ceramic Composites
Abstract
1. Introduction
2. Experiment
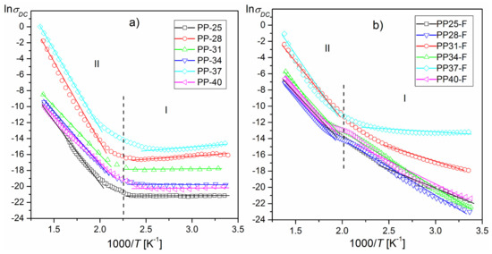
3. Results and Discussion
4. Conclusions
Author Contributions
Funding
Conflicts of Interest
References
- Khomskii, D. Classifying multiferroics: Mechanisms and effects. Physics 2009, 2, 20. [Google Scholar] [CrossRef]
- Schmid, H. Some symmetry aspects of ferroics and single phase multiferroics. J. Phys. Condens. Matter 2008, 20, 434201. [Google Scholar] [CrossRef]
- Wu, P.P.; Ma, X.Q.; Zhang, J.X.; Chen, L.Q. Phase-field model of multiferroic composites: Domain structures of ferroelectric particles embedded in a ferromagnetic matrix. Philos. Mag. 2010, 90, 125–140. [Google Scholar] [CrossRef]
- Fiebig, M.; Lottermoser, T.; Meier, D.; Trassin, M. The evolution of multiferroics. Nat. Rev. 2016, 1, 1–14. [Google Scholar]
- Scott, J.F. Applications of magnetoelectrics. J. Mater. Chem. 2012, 22, 4567–4574. [Google Scholar] [CrossRef]
- Wang, K.F.; Liu, J.-M.; Ren, Z.F. Multiferroicity: the coupling between magnetic and polarization orders. Adv. Phys. 2009, 58, 321–448. [Google Scholar] [CrossRef]
- Uchino, K.; Giniewicz, J.R. Micromechatronics; Marcel Dekker: New York, NY, USA, 2003. [Google Scholar]
- Sonoda, K.; Juuti, J.; Moriya, Y.; Jantunen, H. Modification of the dielectric properties of 0–3 ceramic–polymer composites by introducing surface active agents onto the ceramic filler surface. Compos. Struct. 2010, 92, 1052–1058. [Google Scholar] [CrossRef]
- Bichurin, M.I.; Nan, C.-W.; Bichurin, M.; Dong, S.; Viehland, D.; Srinivasan, G. Multiferroic magnetoelectric composites: Historical perspective, status, and future directions. J. Appl. Phys. 2008, 103, 31101. [Google Scholar]
- Kulawik, J.; Szwagierczak, D.; Guzdek, P. Multiferroic Cobalt Ferrite-Lead Iron Tungstate Composites. Acta Phys. Pol. A 2012, 121, 122–124. [Google Scholar] [CrossRef]
- Zhang, H.; Mak, C.-L. Impedance spectroscopic characterization of fine-grained magnetoelectric Pb(Zr0.53Ti0.47)O3–(Ni0.5Zn0.5)Fe2O4 ceramic composites. J. Alloy. Compd. 2012, 513, 165–171. [Google Scholar] [CrossRef]
- Hrib, L.; Caltun, O. Effects of the chemical composition of the magnetostrictive phase on the dielectric and magnetoelectric properties of cobalt ferrite–barium titanate composites. J. Alloy. Compd. 2011, 509, 6644–6648. [Google Scholar] [CrossRef]
- Bochenek, D.; Niemiec, P.; Zachariasz, R.; Chrobak, A.; Ziółkowski, G. Ferroelectric- ferromagnetic composites based on PZT type powder and ferrite powder. Arch. Metall. Mater. 2013, 58, 1013–1017. [Google Scholar] [CrossRef][Green Version]
- Zhang, S.; Luo, W.; Wang, L.; Wang, D.; Ma, Y. Simultaneously improved magnetization and polarization in BiFeO3 based multiferroic composites. J. Appl. Phys. 2010, 107, 54110. [Google Scholar] [CrossRef]
- Bochenek, D.; Niemiec, P.; Chrobak, A.; Ziółkowski, G.; Błachowski, A. Magnetic and electric properties of the lead free ceramic composite based on the BFN and ferrite powders. Mater. Charact. 2014, 87, 36–44. [Google Scholar] [CrossRef]
- Pradhan, D.K.; Chowdhury, R.N.P.; Nath, T.K. Magnetoelectric properties of PbZr0.53Ti0.47O3–Ni0.65Zn0.35Fe2O4 multiferroic nanocomposites. Appl. Nanosci. 2012, 2, 261–273. [Google Scholar] [CrossRef]
- Thankachan, R.M.; Raneesh, B.; Mayeen, A.; Karthika, S.; Vivek, S.; Nair, S.S.; Thomas, S.; Kalarikkal, N. Room temperature magnetoelectric coupling effect in CuFe2O4-BaTiO3 core-shell and nanocomposites. J. Alloy. Compd. 2018, 731, 288–296. [Google Scholar] [CrossRef]
- Bochenek, D.; Zachariasz, R. PFN ceramics synthesized by a two-stage method. Arch. Metall. Mater. 2009, 54, 903–910. [Google Scholar]
- Wei, J.; Xue, D.; Wu, C.; Li, Z. Enhanced ferromagnetic properties of multiferroic Bi1−xSrxMn0.2Fe0.8O3 synthesized by sol-gel process. J. Alloy. Compd. 2008, 453, 20–23. [Google Scholar] [CrossRef]
- Bochenek, D. Magnetic and ferroelectric properties of PbFe1/2Nb1/2O3 synthesized by a solution precipitation method. J. Alloy. Compd. 2010, 504, 508–513. [Google Scholar] [CrossRef]
- Bochenek, D.; Niemiec, P.; Adamczyk, M.; Szafraniak-Wiza, I. Physical properties of lead-free BaFe1/2Nb1/2O3 ceramics obtained from mechanochemically synthesized powders. J. Mater. Sci. 2018, 53, 1–12. [Google Scholar] [CrossRef]
- Sofia, D.; Granese, M.; Barletta, D.; Poletto, M. Laser Sintering of Unimodal Distributed Glass Powders of Different Size. Procedia Eng. 2015, 102, 749–758. [Google Scholar] [CrossRef]
- Sofia, D.; Barletta, D.; Poletto, M. Laser sintering process of ceramic powders: The effect of particle size on the mechanical properties of sintered layers. Addit. Manuf. 2018, 23, 215–224. [Google Scholar] [CrossRef]
- Su, X.; Fu, F.; Yan, Y.; Zheng, G.; Liang, T.; Zhang, Q.; Cheng, X.; Yang, D.; Chi, H.; Tang, X.; et al. Self-propagating high-temperaa ture synthesis for compound thermoelectrics and new criterion for combustion processing. Nat. Commun. 2014, 5, 4908. [Google Scholar] [CrossRef] [PubMed]
- Lackner, M. Combustion Synthesis: Novel Routes to Novel Materials; Bentham Science: Sharjah, UAE, 2010. [Google Scholar]
- Sheikh, A.D.; Mathe, V. Dielectric, ferroelectric, magnetic and magnetoelectric properties of PMN-PT based ME composites. J. Phys. Chem. Solids 2011, 72, 1423–1429. [Google Scholar] [CrossRef]
- Yu, S.; Huang, H.; Zhou, L.; Ye, Y.; Ke, S. Structure and properties of PMN–PT/NZFO laminates and composites. Ceram. Int. 2008, 34, 701–704. [Google Scholar] [CrossRef]
- Amorín, H.; Holc, J.; Algueró, M.; Ricote, J.; Chateigner, D.; Kosec, M. Combined Structural and Quantitative Texture Analysis of Morphotropic Phase Boundary Pb(Mg1/3Nb2/3)O3-PbTiO3 Ceramics. J. Am. Ceram. Soc. 2012, 95, 2965–2971. [Google Scholar] [CrossRef]
- Noheda, B.; Cox, D.E.; Shirane, G.; Gao, J.; Ye, Z.-G. Phase diagram of the ferroelectric relaxor (1−x)Pb(Mg1/3Nb2/3)O3-(x)PbTiO3. Phys. Rev. B.
- Shrout, T.R.; Chang, Z.P.; Kim, N.; Markgraf, S. Dielectric behavior of single crystals near the (l−x)Pb(Mg1/3Nb2/3)O3-(x)PbTiO3 morphotropic phase boundary. Ferroelectr. Lett. 1990, 12, 63–69. [Google Scholar] [CrossRef]
- Skulski, R.; Wawrzała, P.; Ćwikiel, K.; Bochenek, D. Dielectric and Electromechanical Behaviors of PMN-PT Ceramic Samples. J. Intell. Mater. Syst. Struct. 2007, 18, 1049–1056. [Google Scholar] [CrossRef]
- Jiwei, Z.; Bo, S.; Liangying, Z.; Xi, Y. Preparation and dielectric properties by sol–gel derived PMN-PT powder and ceramic. Mater. Chem. Phys. 2000, 64, 1–4. [Google Scholar] [CrossRef]
- Reddy, M.P.; Madhuri, W.; Ramamanohar-Reddy, N.; Siva-Kumar, K.V.; Murthy, V.R.K.; Ramakrishna-Reddy, R. Magnetic properties of Ni-Zn ferrites prepared by microwave sintering method. J. Electroceram. 2012, 28, 1–9. [Google Scholar] [CrossRef]
- Bochenek, D.; Niemiec, P.; Skulski, R.; Chrobak, A.; Wawrzała, P. Ferroelectric and magnetic properties of the PMN-PT-nickel zinc ferrite multiferroic ceramic composite materials. Mater. Chem. Phys. 2015, 157, 116–123. [Google Scholar] [CrossRef]
- Skulski, R.; Bochenek, D.; Niemiec, P.; Brzezińska, D.; Chrobak, A. Technology and main properties of PMN-PT-ferrite multiferroic ceramic composite materials. Adaptive, Active and Multifunctional Smart Materials Systems. In Advances in Science and Technology; Trans Tech Publications: Zürich, Switzerland, 2017; Volume 98, pp. 3–8. [Google Scholar]
- Li, M.-D.; Tang, X.-G.; Zeng, S.-M.; Jiang, Y.-P.; Liu, Q.-X.; Zhang, T.-F.; Li, W.-H. An oxygen defect-related dielectric relaxation behaviors of lead-free Ba (HfxTi1−x) O3 ferroelectric ceramics. J. Phys. D Appl. Phys. 2018, 51, 485301. [Google Scholar] [CrossRef]
- Li, X.; Fan, X.; Xi, Z.; Liu, P.; Long, W.; Fang, P.; Guo, F.; Nan, R. Dielectric Relaxor and Conductivity Mechanism in Fe-Substituted PMN-32PT Ferroelectric Crystal. Crystals 2019, 9, 241. [Google Scholar] [CrossRef]
- Zhang, T.F.; Tang, X.G.; Ge, P.Z.; Liu, Q.X.; Jiang, Y.P. Orientation related electrocaloric effect and dielectric phase transitions of relaxor PMN-PT single crystals. Ceram. Int. 2017, 43, 16300–16305. [Google Scholar] [CrossRef]
- Li, X.J.; Jing, Q.; Xi, Z.Z.; Liu, P.; Long, W.; Fang, P.Y. Dielectric relaxation and electrical conduction in (BixNa1-x)0.94Ba0.06TiO3 ceramics. J. Am. Ceram. Soc. 2018, 101, 789–799. [Google Scholar] [CrossRef]
- Zhang, T.F.; Tang, X.G.; Liu, Q.X.; Jiang, Y.P.; Huang, X.X.; Zhou, Q.F. Energy-storage properties and high-temperature dielectric relaxation behaviors of relaxor ferroelectric Pb(Mg1/3Nb2/3)O3–PbTiO3 ceramics. J. Phys. D Appl. Phys. 2016, 49, 9. [Google Scholar]
- Bochenek, D.; Wawrzała, P. PbFe1/2Nb1/2O3 ceramics as a base material for electromechanical transducers. Arch. Acoust. 2006, 31, 513–519. [Google Scholar]
- Park, S.E.; Shrout, T.R. Ultrahigh strain and piezoelectric behavior in relaxor based ferroelectric single crystals. J. Appl. Phys. 1997, 82, 1804–1811. [Google Scholar] [CrossRef]
- Guo, Y.; Luo, H.; Zhou, X.; Pan, X.; Yin, Z. Ultra-high piezoelectric response in <110>-oriented polydomain Pb (Mg1/3Nb2/3) O3-PbTiO3 single crystals. Appl. Phys. A Mater. 2003, 77, 707–709. [Google Scholar] [CrossRef]
- Zuo, R.; Granzow, T.; Lupescu, D.C.; Rodel, J. PMN-PT Ceramics Prepared by spark plasma sintering. J. Am. Ceram. Soc. 2007, 90, 1101–1106. [Google Scholar] [CrossRef]
- Raymond, O.; Font, R.; Suárez-Almodovar, N.; Portelles, J.; Siqueiros, J.M. Frequency-temperature response of ferroelectromagnetic PbFe1/2Nb1/2O3 ceramics obtained by different precursors. Part I. Structural and thermo-electrical characterization. J. Appl. Phys. 2005, 97, 084107. [Google Scholar] [CrossRef]










| Parameter | PP25 | PP28 | PP31 | PP34 | PP37 | PP40 |
|---|---|---|---|---|---|---|
| ρ [g/cm3] | 7.15 | 7.45 | 7.35 | 7.51 | 7.21 | 7.01 |
| Tm [°C] | 110 | 132 | 146 | 163 | 187 | 195 |
| εr | 2620 | 1730 | 2080 | 2390 | 1830 | 1700 |
| εm | 9170 | 6050 | 7350 | 10,760 | 6010 | 6620 |
| tanδ at T | 0.113 | 0.023 | 0.092 | 0.200 | 0.021 | 0.118 |
| tanδ at Tm | 0.108 | 0.023 | 0.062 | 0.225 | 0.030 | 0.101 |
| PS [µC/cm2] | 22.30 | 24.86 | 25.70 | 27.30 | 25.70 | 20.16 |
| PR [µC/cm2] | 19.31 | 21.00 | 22.46 | 20.90 | 22.26 | 18.22 |
| Ec [kV/mm] | 0.82 | 0.67 | 0.79 | 0.96 | 1.04 | 1.32 |
| EAct in I [eV] | 0.009 | 0.059 | 0.011 | 0.012 | 0.052 | 0.017 |
| EAct in II [eV] | 1.412 | 1.729 | 0.996 | 1.069 | 1.619 | 0.936 |
| HS [%] | 13.61 | 14.06 | 29.52 | 12.20 | 37.51 | - |
| Srest [%] | 0.029 | 0.020 | 0.029 | 0.024 | 0.017 | - |
| d33 [pC/N] | 613 | 946 | 956 | 687 | 1243 | - |
| Parameter | PP25-F | PP28-F | PP31-F | PP34-F | PP37-F | PP40-F |
|---|---|---|---|---|---|---|
| ρ [g/cm3] | 7.20 | 7.41 | 7.39 | 7.13 | 7.19 | 7.02 |
| Tm [°C] | 102 | 123 | 134 | 157 | 182 | 191 |
| εr | 1860 | 1750 | 2900 | 1090 | 1225 | 980 |
| εm | 9660 | 7180 | 12,910 | 4750 | 9910 | 6630 |
| tanδ at Tr | 0.007 | 0.040 | 0.009 | 0.005 | 0.008 | 0.007 |
| tanδ at Tm | 0.026 | 0.137 | 0.059 | 0.041 | 0.063 | 0.061 |
| PS [µC/cm2] | 13.21 | 12.02 | 16.57 | 13.90 | 7.58 | 9.29 |
| PR [µC/cm2] | 9.26 | 8.30 | 11.32 | 10.23 | 4.45 | 6.46 |
| Ec [kV/mm] | 0.46 | 0.58 | 0.62 | 0.74 | 0.79 | 0.97 |
| EAct in I [eV] | 0.377 | 0.346 | 0.623 | 0.610 | 0.062 | 0.438 |
| EAct in II [eV] | 0.978 | 1.147 | 1.287 | 1.130 | 1.483 | 1.109 |
| HS [%] | 15.45 | 18.28 | 7.32 | 63.30 | 19.16 | 38.51 |
| Srest [%] | 0.012 | 0.014 | 0.011 | 0.010 | 0.001 | 0.004 |
| d33 [pC/N] | 553 | 1070 | 446 | 133 | 70 | 71 |
© 2019 by the authors. Licensee MDPI, Basel, Switzerland. This article is an open access article distributed under the terms and conditions of the Creative Commons Attribution (CC BY) license (http://creativecommons.org/licenses/by/4.0/).
Share and Cite
Bochenek, D.; Niemiec, P.; Skulski, R.; Brzezińska, D. Electrophysical Properties of PMN-PT-Ferrite Ceramic Composites. Materials 2019, 12, 3281. https://doi.org/10.3390/ma12203281
Bochenek D, Niemiec P, Skulski R, Brzezińska D. Electrophysical Properties of PMN-PT-Ferrite Ceramic Composites. Materials. 2019; 12(20):3281. https://doi.org/10.3390/ma12203281
Chicago/Turabian StyleBochenek, Dariusz, Przemysław Niemiec, Ryszard Skulski, and Dagmara Brzezińska. 2019. "Electrophysical Properties of PMN-PT-Ferrite Ceramic Composites" Materials 12, no. 20: 3281. https://doi.org/10.3390/ma12203281
APA StyleBochenek, D., Niemiec, P., Skulski, R., & Brzezińska, D. (2019). Electrophysical Properties of PMN-PT-Ferrite Ceramic Composites. Materials, 12(20), 3281. https://doi.org/10.3390/ma12203281

