Experimental and Numerical Investigation of Deformable Concrete Median Barrier
Abstract
:1. Introduction
2. Development of High-Performance Concrete Median Barrier (CMB-17S)
2.1. Model Development and Verification
2.2. Deformable Concrete Median Barrier
2.3. Parametric Study
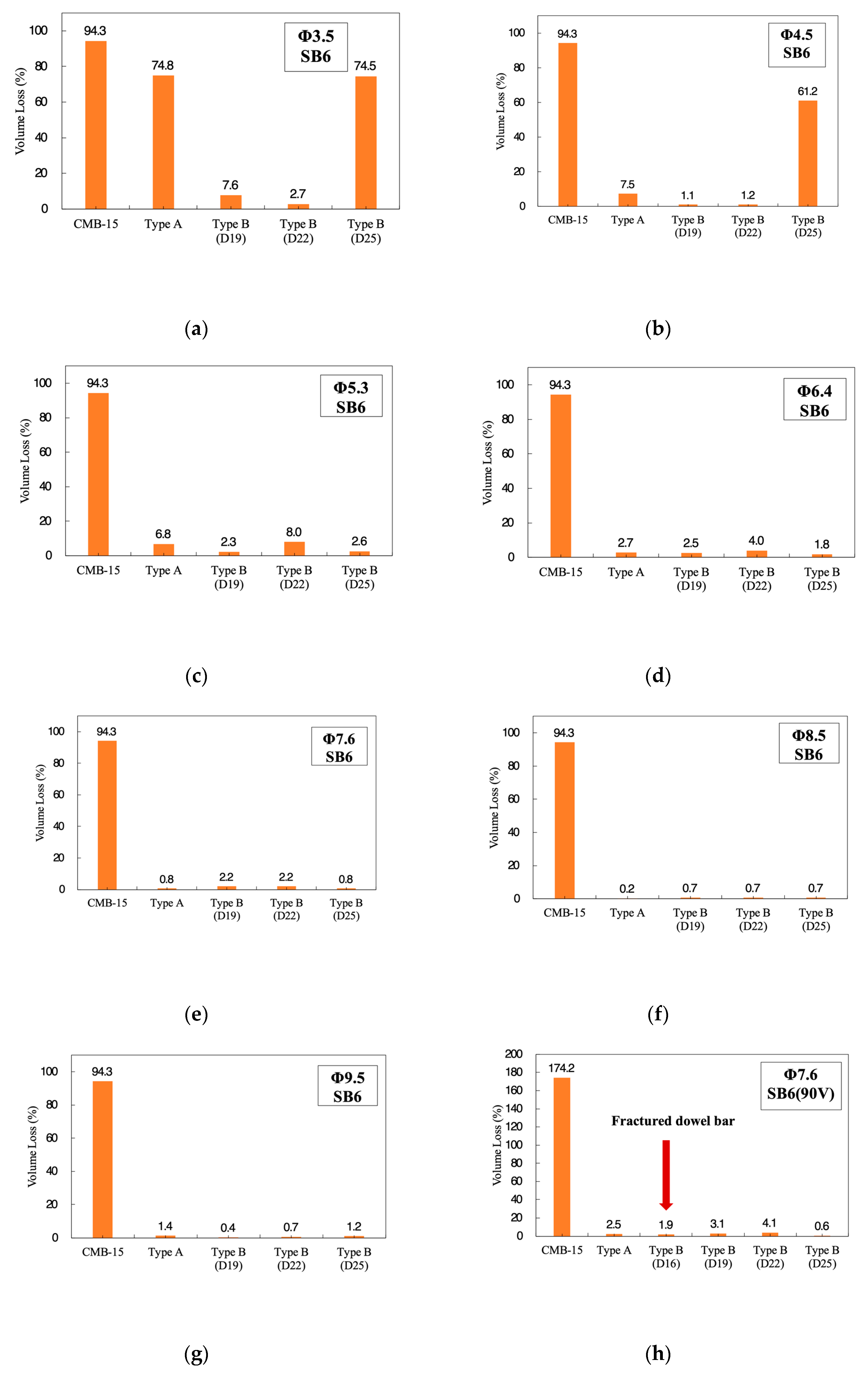
2.3.1. Obtained Results Depending on Size of Wire Mesh and Dowel Bar
2.3.2. Selection of Dowel Bar Size
2.4. Proposal of CMB-17S
Comparisons of Damaged Zone between CMB-17S and CMB-15
3. Full-Scale Truck-CMB Collision Test
3.1. Test Conditions and Criteria
3.2. Full Scale Collision Test between Truck and CMB
3.2.1. Preparation of the Full-Scale Test
3.2.2. Crash Test Results
3.2.3. Comparison of the Numerical Model with the Test Results
4. Conclusions
- In this study, a deformable concrete median barrier was designed and tested. The small empty spaces were intentionally formed using the Styrofoam at every location of dowel bars so that the dowel bar could deform via shearing under impact loading.
- A deformable CMB could experience shock absorbing effects as well as dispersed deformations along the length of the CMB, which dispersed the impact energy over a much larger area of CMB.
- A numerical model was developed to find volume loss under truck impact. In the model, a deformed dowel bar was modeled to predict any lateral displacement. After verification of the model, several parametric studies were conducted. The selected parameters were dowel bar size and wire-mesh size.
- From the numerical analysis, it was found that the deformed dowel bar due to addition of Styrofoam under lateral load could successfully absorb a significant portion of energy by allowing a certain displacement between the CMB and the foundation.
- The final proposed design comprised one layer of 7.6 mm wire-mesh and D19 dowel bars. The spacing between the wires was fixed to 100 mm, while the spacing between the dowel bars was fixed to 1000 mm.
- It was found that the dowel bars that had a relatively smaller size (D13 or D16) were fractured under a harsher loading condition such as SB6(100V). By contrast, the larger dowel bars, such as D22 or D25, did not deform or absorb the energy fully and resulted in a larger amount of concrete fragmentation.
- A full-scale collision test between a 25 ton truck and the developed CMB-17S was performed, and the installed dowel bar worked fine as intended.
- Due to local impact from the lower corner zone of the steel cargo compartment at second impact, stress concentration occurred, causing a large amount of concrete fragmentation. This phenomenon was not accurately captured by our developed model. For more accurate prediction of volume loss, development of a local model is required.
- A comparison of the analysis and the test results revealed that the final permanent deformation could be well captured by the developed model; however, volume loss, location of the maximum deformation, and sequence of the three major impacts were rather different. It is thought that this difference was due to the differences between the actual dimension and the material properties of the truck and the truck model.
- For better performance of our developed CMB-17S, the top part of the CMB should be better strengthened by more wire-mesh, since major volume loss occurred due to local impact, which appeared to be due to punching shear failure.
Author Contributions
Funding
Conflicts of Interest
References
- Kim, W.; Lee, J.; Jeong, Y.; Kim, K.; Lee, D.; Song, G. Development of Optimized Section for SB6 Level Concrete Median Barrier; Final Report; Korea Expressway and Transportation Research Institute: Seoul, Korea, 2017; p. 318. [Google Scholar]
- Kim, W.; Lee, I.; Jeong, Y.; Zi, G.; Kim, K.; Lee, J. Design Approach for Improving Current Concrete Median Barriers on Highways in South Korea. J. Perform. Constr. Facil. 2018, 32, 1–10. [Google Scholar] [CrossRef]
- 2014 Highway Traffic Volume Data; Korea Expressway Corporation: Dongtan, Korea, 2015.
- Kim, W.; Lee, I.; Kim, K.; Jeong, Y.; Lee, J. Evaluation of Concrete Barriers with Novel Shock Absorbers Subjected to Impact Loading. Arch. Civ. Mech. Eng. 2019, 19, 657–671. [Google Scholar] [CrossRef]
- Kim, W.; Jeong, Y.; Kim, K.; Lee, J. Non-linear dynamic analysis of reinforced concrete bridge columns under vehicle impact loadings. J. Vibroeng. 2016, 18, 4617–4626. [Google Scholar]
- Murray, Y.D. UsersManual for LS-DYNA Concrete Material Model 159; FHWA-HRT-05-062; Federal Highway Administration: Washington, DC, USA, 2007.
- Murray, Y.D.; Abu-Odeh, A.; Bligh, R. Evaluation of LS-DYNA Concrete Material Model 159; FHWA-HRT-05-063; Federal Highway Administration: Washington, DC, USA, 2007.
- Malvar, L.J.; Crawford, J.E.; Wesevich, J.; Simons, D.A. Plasticity Concrete Material Model for DYNA3D. Intern. J. Impact Eng. 1997, 19, 847–873. [Google Scholar] [CrossRef]
- Malvar, L.J.; Crawford, J.E.; Morrill, K.B. Concrete Material Model, Release III: Automated Generation of Material Model Input; Report TR-99-24; Karagozian & Case Structural Engineers: Glendale, CA, USA, 2000. [Google Scholar]
- FIB Model Code. CEB-FIP Model Code 1990: Design Code; T. Telford: London, UK, 1993.
- MC2010. fib Model Code 2010 Final Draft; fib Bulletin 66; fib Bulletins: Lausanne, Switzerland, 2012; Volume 1.
- ACI Committee 446-5. Fracture Toughness Testing of Concrete; American Concrete Institute: Farmington Hills, MI, USA, 2010. [Google Scholar]
- Lee, J.; Lopez, M. An experimental study on fracture energy of plain concrete. Int. J. Concr. Struct. Mater. 2014, 8, 129–139. [Google Scholar] [CrossRef]
- Lee, J.; Zi, G.; Lee, I.; Jeong, Y.; Kim, K.; Kim, W. Numerical simulation on concrete median barrier for reducing concrete fragment under harsh impact loading of a 25-ton truck. ASME J. Eng. Mater. Technol. 2017, 139, 021015. [Google Scholar] [CrossRef]
- Ray, M.; Mongiardini, M.; Plaxico, C. Procedures for Verification and Validation of Computer Simulation Used for Roadside Safety Application; NCHRP Project 22-24, NCHRP Web-Onlt Document 179; Transportation Research Board: Washington, DC, USA, 2010. [Google Scholar]
- Committee for European Norms. Road Restraint Systems-Computational Mechanics of Crash Testing against Vehicle Restraint System—Part 1: Common Reference Information and Reporting; European Committee for Standardization: Brussels, Belgium, 2012; p. 13. [Google Scholar]
- Committee for European Norms. Road Restraint Systems-Computational Mechanics of Crash Testing against Vehicle Restraint System—Part 2: Vehicle Modelling and Verification; European Committee for Standardization: Brussels, Belgium, 2012. [Google Scholar]
- Committee for European Norms. Road Restraint Systems-Computational Mechanics of Crash Testing against Vehicle Restraint System—Part 4: Validation Procedures; European Committee for Standardization: Brussels, Belgium, 2012. [Google Scholar]
- Committee for European Norms. Road Restraint Systems-Computational Mechanics of Crash Testing against Vehicle Restraint System—Part 3: Test Item Modelling and Verification, Common Reference Information and Reporting; European Committee for Standardization: Brussels, Belgium, 2012. [Google Scholar]
- Coughlin, A.M.; Musselman, E.S.; Schokker, A.J.; Linzell, D.G. Behavior of portable fiber reinforced concrete vehicle barriers subject to blasts from contact charges. Int. J. Impact Eng. 2010, 37, 521–529. [Google Scholar] [CrossRef]
- Foglar, M.; Kovar, M. Conclusions from Experimental Testing of Blast Resistance of FRC and RC Bridge Decks. Int. J. Impact Eng. 2013, 59, 18–28. [Google Scholar] [CrossRef]
- Iqbal, M.A.; Rajput, A.; Gupta, N.K. Performance of prestressed concrete targets against projectile impact. Int. J. Impact Eng. 2017, 110, 15–25. [Google Scholar] [CrossRef]
- Iqbal, M.A.; Kumar, V.; Mittal, A.K. Experimental and numerical studies on the drop impact resistance of prestressed concrete plates. Int. J. Impact Eng. 2018, 123, 98–117. [Google Scholar] [CrossRef]
- MOLIT (Korea Ministry of Land, Infrastructure and Transport). Guidelines for Installation and Maintenance of Road Safety Facilities-Safety Barrier; Ministry of Land, Infrastructure and Transport: Sejong, Korea, 2014.
- MOLIT (Korea Ministry of Land, Infrastructure and Transport). Real Impact Test Guideline for Vehicle Safety Guard; Ministry of Land, Infrastructure and Transport: Sejong, Korea, 2015.
- AASHTO. Manual for Assessing Safety Hardware (MASH); Association of State Highway and Transportation Officials: Washington, DC, USA, 2016. [Google Scholar]
- JRA. Installation Specification of Safety Barrier and Commentary; Japan Road Association: Tokyo, Japan, 2008. [Google Scholar]
- Committee for European Norms. Road Restraint Systems. Part 2. Performance Classes, Impact Test Acceptance Criteria and Test Methods for Safety Barriers; European Committee for Standardization: Brussels, Belgium, 1998. [Google Scholar]

















| CMB Type | Wire-Mesh Size (mm) | Wire-Mesh Spacing (mm) | Dowel Bar Size (mm) | Volume Loss Ratio (%) | Lateral Disp. (mm) | Impact Severity |
|---|---|---|---|---|---|---|
| CMB-15 | 3.2 | 150 × 150 | 25 | 94.3 | N/A | SB6 |
| Type A | 3.5 | 100 × 100 | 25 | 74.8 | N/A | SB6 |
| 4.5 | 100 × 100 | 25 | 7.5 | N/A | SB6 | |
| 5.3 | 100 × 100 | 25 | 6.8 | N/A | SB6 | |
| 6.4 | 100 × 100 | 25 | 2.7 | N/A | SB6 | |
| 7.6 | 100 × 100 | 25 | 0.8 | N/A | SB6 | |
| 8.5 | 100 × 100 | 25 | 0.2 | N/A | SB6 | |
| 9.5 | 100 × 100 | 25 | 1.4 | N/A | SB6 | |
| Type B | 3.5 | 100 × 100 | 19 | 7.6 | 29.1 | SB6 |
| 3.5 | 100 × 100 | 22 | 2.7 | 18.5 | SB6 | |
| 3.5 | 100 × 100 | 25 | 74.5 | 12.2 | SB6 | |
| 4.5 | 100 × 100 | 19 | 1.1 | 28 | SB6 | |
| 4.5 | 100 × 100 | 22 | 1.2 | 18 | SB6 | |
| 4.5 | 100 × 100 | 25 | 61.2 | 12.6 | SB6 | |
| 5.3 | 100 × 100 | 19 | 2.3 | 29.7 | SB6 | |
| 5.3 | 100 × 100 | 22 | 8.0 | 24.7 | SB6 | |
| 5.3 | 100 × 100 | 25 | 2.6 | 12.5 | SB6 | |
| 6.4 | 100 × 100 | 19 | 2.5 | 30.1 | SB6 | |
| 6.4 | 100 × 100 | 22 | 4.0 | 19.6 | SB6 | |
| 6.4 | 100 × 100 | 25 | 1.8 | 15.2 | SB6 | |
| 7.6 | 100 × 100 | 19 | 2.2 | 31.1 | SB6 | |
| 7.6 | 100 × 100 | 22 | 2.2 | 20.6 | SB6 | |
| 7.6 | 100 × 100 | 25 | 0.8 | 15.9 | SB6 | |
| 7.6 | 100 × 100 | 13 | 5.3 | 558 | SB6(100V) | |
| 7.6 | 100 × 100 | 16 | 9.4 | 170 | SB6(100V) | |
| 7.6 | 100 × 100 | 19 | 8.0 | 35.7 | SB6(100V) | |
| 7.6 | 100 × 100 | 20 | 8.2 | 31.8 | SB6(100V) | |
| 7.6 | 100 × 100 | 21 | 7.7 | 27 | SB6(100V) | |
| 7.6 | 100 × 100 | 21.5 | 21.1 | 24.3 | SB6(100V) | |
| 7.6 | 100 × 100 | 22 | 78.9 | 22.1 | SB6(100V) | |
| 7.6 | 100 × 100 | 25 | 72.2 | 16.1 | SB6(100V) | |
| 8.5 | 100 × 100 | 19 | 0.7 | 29.2 | SB6 | |
| 8.5 | 100 × 100 | 22 | 0.7 | 20.5 | SB6 | |
| 8.5 | 100 × 100 | 25 | 0.7 | 15.7 | SB6 | |
| 9.5 | 100 × 100 | 19 | 0.4 | 29 | SB6 | |
| 9.5 | 100 × 100 | 22 | 0.7 | 21.1 | SB6 | |
| 9.5 | 100 × 100 | 25 | 1.2 | 14.5 | SB6 |
| Impact Conditions | Korea (MOLIT 2015) | Japan (JRA 2008) | Europe (CEN 1998) | U.S. (AASHTO 2016) | |
|---|---|---|---|---|---|
| SB5-B | SB6 | SA | H3 | TL6 | |
| Mass (kg) | 14,000 | 25,000 | 25,000 | 16,000 | 36,000 |
| Impact speed (km/h) | 85 | 80 | 80 | 80 | 80 |
| Impact angle (°) | 15 | 15 | 15 | 20 | 15 |
| Impact severity (kJ) | 270 | 420 | 420 | 462.1 | 600 |
© 2019 by the authors. Licensee MDPI, Basel, Switzerland. This article is an open access article distributed under the terms and conditions of the Creative Commons Attribution (CC BY) license (http://creativecommons.org/licenses/by/4.0/).
Share and Cite
Lee, J.; Jeong, Y.; Kim, K.; Lee, I.; Kim, W. Experimental and Numerical Investigation of Deformable Concrete Median Barrier. Materials 2019, 12, 3176. https://doi.org/10.3390/ma12193176
Lee J, Jeong Y, Kim K, Lee I, Kim W. Experimental and Numerical Investigation of Deformable Concrete Median Barrier. Materials. 2019; 12(19):3176. https://doi.org/10.3390/ma12193176
Chicago/Turabian StyleLee, Jaeha, Yoseok Jeong, Kyeongjin Kim, Ilkeun Lee, and WooSeok Kim. 2019. "Experimental and Numerical Investigation of Deformable Concrete Median Barrier" Materials 12, no. 19: 3176. https://doi.org/10.3390/ma12193176
APA StyleLee, J., Jeong, Y., Kim, K., Lee, I., & Kim, W. (2019). Experimental and Numerical Investigation of Deformable Concrete Median Barrier. Materials, 12(19), 3176. https://doi.org/10.3390/ma12193176

