Structured Porous Material Design for Passive Flow and Noise Control of Cylinders in Uniform Flow
Abstract
1. Introduction
2. Materials and Methods
2.1. Porous Materials
2.2. External Design
2.3. Internal Design
2.4. Other Manufactured Examples
2.5. Experimental Method
2.6. Numerical Method
3. Results
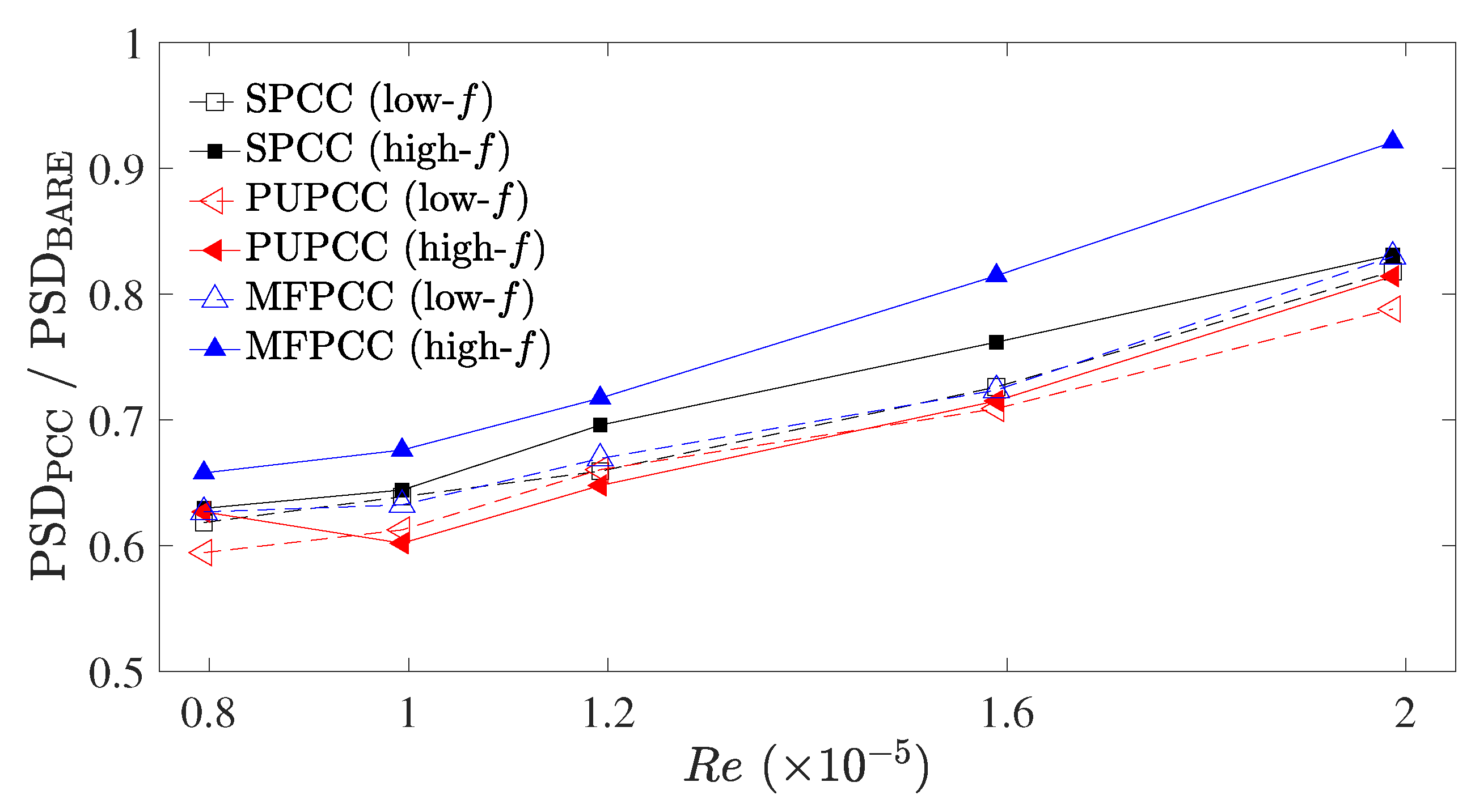
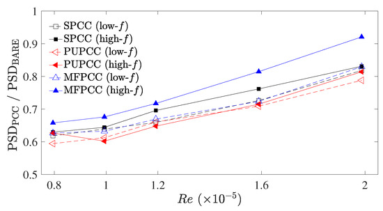
3.1. Experimental Validation
3.2. Numerical Validation
4. Conclusions
Author Contributions
Funding
Acknowledgments
Conflicts of Interest
Nomenclature
| d | [mm] | bare cylinder diameter |
| D | [mm] | porous coated cylinder outer diameter |
| f | [Hz] | acoustic frequency |
| h | [mm] | height of c-shaped chip |
| l | [mm] | thickness of c-shaped chip |
| L | [mm] | cylinder span |
| r | [mm] | pore radius of c-shaped chip |
| [-] | Reynolds number | |
| [-] | Minimum-average Reynolds number | |
| [-] | Maximum-average Reynolds number | |
| [-] | Strouhal number | |
| t | [mm] | porous coating thickness |
| U | [m/s] | freestream flow velocity |
| [] | porous coated cylinder volume | |
| [] | equivalent solid cylinder volume | |
| w | [mm] | width of c-shaped chip |
| [%] | porosity | |
| [] | circumferential angle |
Abbreviations
| B&K | Brüel & Kjær |
| CAD | Computer Aided Design |
| CARDC | China Aerodynamics Research and Development Center |
| CFD | Computational Fluid Dynamics |
| DFM | Darcy–Forchheimer Model |
| LOS | Line-Of-Sight |
| MFPCC | Metal Foam Porous Coated Cylinder |
| PCC | Porous Coated Cylinder |
| PPI | Pores Per Inch |
| PSD | Power Spectral Density |
| PUPCC | Polyurethane Porous Coated Cylinder |
| SPCC | Structured Porous Coated Cylinder |
References
- Boorsma, K.; Zhang, X.; Molin, N.; Chow, L.C. Bluff Body Noise Control Using Perforated Fairings. AIAA J. 2009, 47, 33–43. [Google Scholar] [CrossRef]
- Sueki, T.; Ikeda, M.; Takaishi, T. Aerodynamic noise reduction using porous materials and their application to high-speed pantographs. Q. Rep. RTRI 2009, 50, 26–31. [Google Scholar] [CrossRef]
- Zdravkovich, M. Review and classification of various aerodynamic and hydrodynamic means for suppressing vortex shedding. J. Wind Eng. Ind. Aerodyn. 1981, 7, 145–189. [Google Scholar] [CrossRef]
- Sueki, T.; Takaishi, T.; Ikeda, M.; Arai, N. Application of porous material to reduce aerodynamic sound from bluff bodies. Fluid Dyn. Res. 2010, 42, 015004. [Google Scholar] [CrossRef]
- Aguiar, J.; Yao, H.; Liu, Y. Passive Flow/Noise Control of a Cylinder Using Metal Foam. In Proceedings of the 23rd International Congress on Sound and Vibration, Athens, Greece, 10–14 July 2016; pp. 1–8. [Google Scholar]
- Ruck, B.; Klausmann, K.; Wacker, T. The flow around circular cylinders partially coated with porous media. AIP Conf. Proc. 2011, 1453, 49–54. [Google Scholar]
- Klausmann, K.; Ruck, B. Drag reduction of circular cylinders by porous coating on the leeward side. J. Fluid Mech. 2017, 813, 382–411. [Google Scholar] [CrossRef]
- Geyer, T.F.; Sarradj, E.; Herold, G. Flow Noise Generation of Cylinders with Soft Porous Cover. In Proceedings of the 21st AIAA/CEAS Aeroacoustics Conference, At Dallas, TX, USA, 22–26 June 2015. [Google Scholar]
- Geyer, T.F.; Sarradj, E. Circular cylinders with soft porous cover for flow noise reduction. Exp. Fluids 2016, 57, 30. [Google Scholar] [CrossRef]
- Geyer, T.F.; Sharma, S.; Sarradj, E. Detached Eddy Simulation of the Flow Noise Generation of Cylinders with Porous Cover. In Proceedings of the 2018 AIAA/CEAS Aeroacoustics Conference, Atlanta, GA, USA, 25–29 June 2018. [Google Scholar]
- Liu, H.; Azarpeyvand, M.; Wei, J.; Qu, Z. Tandem cylinder aerodynamic sound control using porous coating. J. Sound Vib. 2015, 334, 190–201. [Google Scholar] [CrossRef]
- Liu, H.; Azarpeyvand, M. Passive Control of Tandem Cylinders Flow and Noise Using Porous Coating. In Proceedings of the 22nd AIAA/CEAS Aeroacoustics Conference, Lyon, France, 30 May–1 June 2016. [Google Scholar]
- Liu, H.; Wei, J.; Qu, Z. Prediction of aerodynamic noise reduction by using open-cell metal foam. J. Sound Vib. 2012, 331, 1483–1497. [Google Scholar] [CrossRef]
- Arcondoulis, E.; Liu, Y. The Effect of Porosity on the Porous Coated Cylinder Diameter. In Proceedings of the Australian Acoustical Society AAS2018 Adelaide, Adelaide, Australia, 6–9 November 2018; Volume 7, p. 9. [Google Scholar]
- Szepessy, S. On the spanwise correlation of vortex shedding from a circular cylinder at high subcritical Reynolds number. Phys. Fluids 1994, 6, 2406–2416. [Google Scholar] [CrossRef]
- Norberg, C. Fluctuating lift on a circular cylinder: Review and new measurements. J. Fluids Struct. 2003, 17, 57–96. [Google Scholar] [CrossRef]
- Bruneau, C.H.; Mortazavi, I. Numerical modelling and passive flow control using porous media. Comput. Fluids 2008, 37, 488–498. [Google Scholar] [CrossRef]
- Xu, C.; Mao, Y.; Hu, Z. Numerical study of pore-scale flow and noise of an open cell metal foam. Aerosp. Sci. Technol. 2018, 82, 185–198. [Google Scholar] [CrossRef]
- Naito, H.; Fukagata, K. Numerical simulation of flow around a circular cylinder having porous surface. Phys. Fluids 2012, 24, 117102. [Google Scholar] [CrossRef]
- Arcondoulis, E.; Ragni, D.; Rubio Carpio, A.; Avallone, F.; Liu, Y.; Yang, Y.; Li, Z. The Internal and External Flow Fields of a Structured Porous Coated Cylinder and Implications on Flow-Induced Noise. In Proceedings of the 25th AIAA/CEAS Aeroacoustics Conference, Delft, The Netherlands, 20–23 May 2019. [Google Scholar]
- Triantafyllou, G.S.; Triantafyllou, M.S.; Chryssostomidis, C. On the formation of vortex streets behind stationary cylinders. J. Fluid Mech. 1986, 170, 461–477. [Google Scholar] [CrossRef]
- Bai, K.; Katz, J. On the refractive index of sodium iodide solutions for index matching in PIV. Exp. Fluids 2014, 55, 1704. [Google Scholar] [CrossRef]
- Geyer, T.F.; Kamps, L.; Sarradj, E.; Brücker, C. Passive Control of the Vortex Shedding Noise of a Cylinder at Low Reynolds Numbers Using Flexible Flaps. In Proceedings of the 23rd AIAA/CEAS Aeroacoustics Conference, Denver, CO, USA, 5–9 June 2017. [Google Scholar]
- Yuan, H.; Xia, C.; Chen, Y.; Yang, Z. Flow around a Finite Circular Cylinder Coated with Porous Media. In Proceedings of the 8th International Colloquium on Bluff Body Aerodynamics and Applications, Boston, MA, USA, 7–11 June 2016. [Google Scholar]
- Jenkins, L.; Neuhart, D.; McGinley, C.; Khorrami, M.; Choudhari, M. Measurements of Unsteady Wake Interference between Tandem Cylinders. In Proceedings of the 36th AIAA Fluid Dynamics Conference and Exhibit, San Francisco, CA, USA, 5–8 June 2006; p. 3202. [Google Scholar]
- Neuhart, D.; Jenkins, L.; Choudhari, M.; Khorrami, M. Measurements of the Flowfield Interaction between Tandem Cylinders. In Proceedings of the 15th AIAA/CEAS Aeroacoustics Conference, Miami, FL, USA, 11–13 May 2009. [Google Scholar]
- Hutcheson, F.V.; Brooks, T.F.; Lockard, D.P.; Choudhari, M.M.; Stead, D.J. Acoustics and Surface Pressure Measurements from Tandem Cylinder Configurations. In Proceedings of the 20th AIAA/CEAS Aeroacoustics Conference, Atlanta, GA, USA, 16–20 June 2014. [Google Scholar]
- Ergun, S. Fluid flow through packed columns. Chem. Eng. Prog. 1952, 48, 89–94. [Google Scholar]
- Vafai, K. Convective flow and heat transfer in variable-porosity media. J. Fluid Mech. 1984, 147, 233–259. [Google Scholar] [CrossRef]
- Hsu, C.; Cheng, P. Thermal dispersion in a porous medium. Int. J. Heat Mass Transf. 1990, 33, 1587–1597. [Google Scholar] [CrossRef]
- Alazmi, B.; Vafai, K. Analysis of variants within the porous media transport models. J. Heat Transf. 2000, 122, 303–326. [Google Scholar] [CrossRef]
- Chen, W.L.; Gao, D.L.; Yuan, W.Y.; Li, H.; Hu, H. Passive jet control of flow around a circular cylinder. Exp. Fluids 2015, 56, 201. [Google Scholar] [CrossRef]











| Cylinder Type | Testing Conditions | |||
|---|---|---|---|---|
| PCCs | U (m/s) | 20 | 30 | 50 |
| (D = 60 mm) | 0.8 | 1.2 | 2.0 | |
| Bare | U (m/s) | 20 | 30 | 50 |
| (d = 40 mm) | 0.5 | 0.8 | 1.3 | |
© 2019 by the authors. Licensee MDPI, Basel, Switzerland. This article is an open access article distributed under the terms and conditions of the Creative Commons Attribution (CC BY) license (http://creativecommons.org/licenses/by/4.0/).
Share and Cite
Arcondoulis, E.J.G.; Liu, Y.; Li, Z.; Yang, Y.; Wang, Y. Structured Porous Material Design for Passive Flow and Noise Control of Cylinders in Uniform Flow. Materials 2019, 12, 2905. https://doi.org/10.3390/ma12182905
Arcondoulis EJG, Liu Y, Li Z, Yang Y, Wang Y. Structured Porous Material Design for Passive Flow and Noise Control of Cylinders in Uniform Flow. Materials. 2019; 12(18):2905. https://doi.org/10.3390/ma12182905
Chicago/Turabian StyleArcondoulis, Elias J. G., Yu Liu, Zhiyong Li, Yannian Yang, and Yong Wang. 2019. "Structured Porous Material Design for Passive Flow and Noise Control of Cylinders in Uniform Flow" Materials 12, no. 18: 2905. https://doi.org/10.3390/ma12182905
APA StyleArcondoulis, E. J. G., Liu, Y., Li, Z., Yang, Y., & Wang, Y. (2019). Structured Porous Material Design for Passive Flow and Noise Control of Cylinders in Uniform Flow. Materials, 12(18), 2905. https://doi.org/10.3390/ma12182905

