Methodology for Evaluation of Residual Stress Effect on Small Corner-Crack Initiation and Growth
Abstract
1. Introduction
2. Residual Stress on a Specimen
2.1. Specimen Modification
2.2. Residual Stress Application on a Beam
2.3. Application and Evaluation of Residual Stress on Modified Specimen
3. Modeling of Corner Crack
3.1. Stress Intensity Factor Induced by Remote Forces
3.2. Stress Intensity Factor Induced by Residual Stress
4. Crack Growth Tests and Results
4.1. Growth Behavior of Corner Crack
4.2. Crack Closure Effect on Long Crack Growth
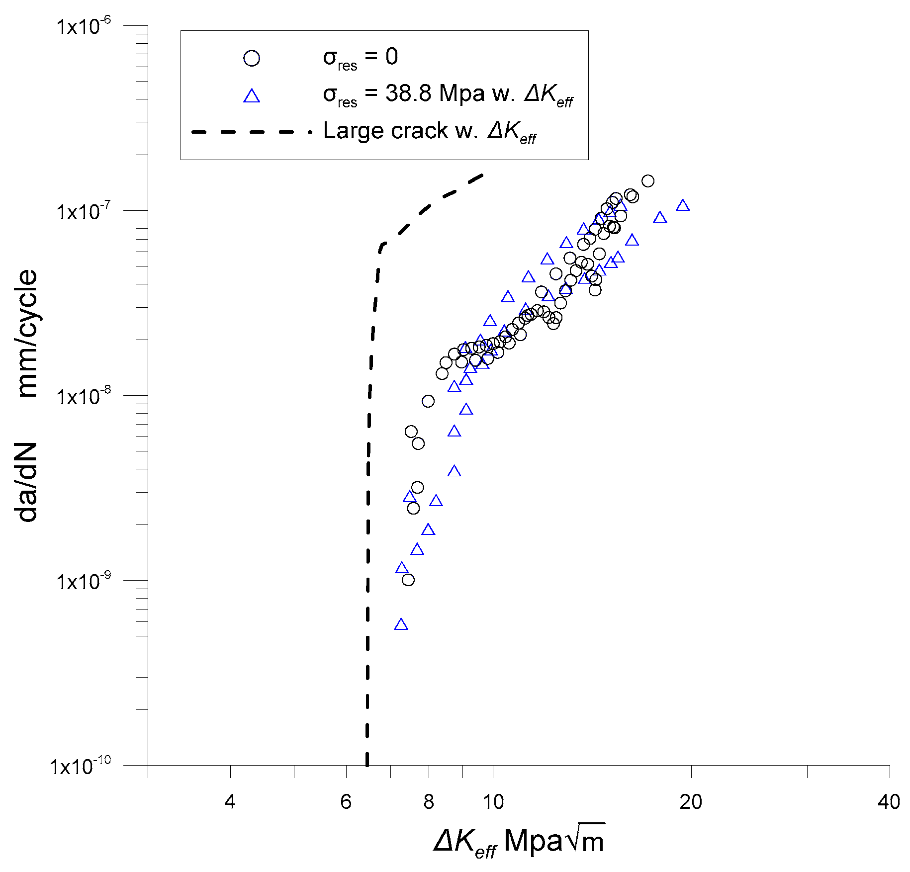
4.3. Residual Stress Effect on Corner Crack Growth
5. Summary and Conclusions
Author Contributions
Funding
Conflicts of Interest
References
- Ochi, Y.; Masaki, K.; Matsumura, T.; Sekino, T. Effect of shot-peening treatment no high cycle fatigue property of ductile cast iron. Int. J. Fatigue 2001, 23, 441–448. [Google Scholar] [CrossRef]
- Sun, G.; Wei, X.; Niu, J.; Shang, D.; Chen, S. Influence of Residual Stress on Fatigue Weak Areas and Simulation Analysis on Fatigue Properties Based on Continuous Performance of FSW Joints. Metals 2019, 9, 284. [Google Scholar] [CrossRef]
- Hermann, R. Fatigue Crack Growth in Ductile Materials under Cyclic Compressive Loading. Fatigue Fract. Eng. Mater. Struct. 1994, 17, 93–103. [Google Scholar] [CrossRef]
- Hermann, R. Crack Growth and Residual Stress in Al-Li Metal Matrix Composites under Far-Field Cyclic Compression. J. Mater. Sci. 1995, 30, 3782–3790. [Google Scholar] [CrossRef]
- Schindler, H.J. Determination of Residual Stress Distributions from Measured Stress Intensity Factors. Int. J. Fract. 1995, 74, R23–R30. [Google Scholar] [CrossRef]
- Nadai, A. Plasticity: A Mechanics of the Plastic State of Matter; McGraw-Hill Book Co., Inc.: New York, NY, USA, 1931; pp. 164–167. [Google Scholar]
- American Standard Testing and Materials (E855-08). Bend Testing of Metallic Flat Materials for Spring Applications Involving Static Loading, Test. Methods; ASTM International: West Conshohocken, PA, USA, 2013. [Google Scholar]
- Joseph, R.D. Metals Handbook Desk Edition, 2nd ed.; ASM International: Materials Park, OH, USA, 1998. [Google Scholar]
- Newman, J.C., Jr.; Raju, I.S. Stress-intensity factor equations for cracks in three-dimensional finite bodies subjected to tension and bending loads. In Computational Methods in the Mechanics of Fracture; Atluri, S.N., Ed.; Elsevier: Amsterdam, the Netherlands, 1986; Volume 2, pp. 311–334. [Google Scholar]
- Anderson, T.L. Fracture Mechanics: Fundamentals and Applications, 3rd ed.; CRC Press: Boca Raton, FL, USA, 2005; pp. 103–105. [Google Scholar]
- Tada, H.; Paris, P.C.; Irwin, G.R. The Stress Analysis of Cracks Handbook, 2nd ed.; Paris Productions: St. Louis, MO, USA, 1985. [Google Scholar]
- Swain, M.H. Monitoring Samll-Crack Growth by the Replication Method. In Small-Crack Test Methods; ASTM STP 1149; Larsen, J.M., Allison, J.E., Eds.; ASTM International: West Conshohocken, PA, USA, 1992; pp. 34–56. [Google Scholar]
- Chen, E.Y.; Sauer, S.; Meshii, M.; Tucker, W.T. Fatigue microcrack distribution and the reliability of a nickel base superalloy. Int. J. Fatigue 1997, 19, S75–S82. [Google Scholar] [CrossRef]
- Carlson, R.L.; Halliday, M.D. An extrapolation method for estimating crack growth rate confidence intervals from small fatigue crack data. J. Test. Eval. 2002, 30, 179–185. [Google Scholar]
- Kim, K. A study for quantitative evaluation of structural damage by using fatigue crack propagation concept. M.S. Thesis, University of Seoul, Seoul, Korea, February 2002. [Google Scholar]
- Pugnoa, N.; Ciavarellab, M.; Cornettia, P.; Carpinteri, A. A generalized Paris’ law for fatigue crack growth. J. Mech. Phys. Solids 2006, 54, 1333–1349. [Google Scholar] [CrossRef]
- Newman, J.C. A Crack Opening Stress Equation for Fatigue Crack Growth. Int. J. Fracture 1984, 24, R131–R135. [Google Scholar] [CrossRef]
- Newman, J.C.; Wu, X.R.; Swain, M.H.; Zhao, W.; Phillips, E.P.; Ding, C.F. Small-crack growth and fatigue life predictions for high-strength aluminum alloys. Part II: Crack closure and fatigue analyses. Fatigue Fract. Eng. M. 2000, 23, 59–72. [Google Scholar] [CrossRef]
- Wang, Q.; Zhang, W.; Jiang, S. Fatigue Life Prediction Based on Crack Closure and Equivalent Initial Flaw Size. Materials 2015, 8, 7145–7160. [Google Scholar] [CrossRef]
- Rarry, M.R.; Syngellakis, S.; Sinclair, I. Numerical modeling of combined roughness and plasticity induced crack closure effects in fatigue. Mater. Sci. Eng. 2000, A291, 224–234. [Google Scholar]
- Kim, J.H.; Lee, S.B. Behavior of Plasticity-induced Crack Closure and Roughness-induced Crack Closure in Aluminum Alloy. Int. J. Fatigue 2001, 23, 247–251. [Google Scholar] [CrossRef]
- Newman, J.C.; Crews, J.H.; Bigelow, C.A.; Dawicke, D.S. Variation of a global constraint factor in cracked bodies under tension and bending loads. In Constraint Effects in Fracture Theory and Applicatons: Second Volume; ASTM STP 1244; Kirk, M., Bakker, A., Eds.; ASTM International: West Conshohocken, PA, USA, 1995; pp. 21–42. [Google Scholar]










| Specimen Number | Coefficients of Polynomial for Moment Function | ||
|---|---|---|---|
| C1 (× 108) | C2 (× 108) | C3 (× 108) | |
| 1 | −4.30 | 6.72 | −8.14 |
| 2 | −3.95 | 6.36 | 4.68 |
| 3 | −3.72 | 6.25 | 5.22 |
| 4 | −3.88 | 6.32 | 5.33 |
| 5 | −3.83 | 6.39 | 7.02 |
| 6 | −3.89 | 6.30 | 5.72 |
| 7 | −4.01 | 6.39 | −1.52 |
| 8 | −4.02 | 6.47 | 7.78 |
| 9 | −3.99 | 6.45 | −3.07 |
| Average | −3.95 | 6.40 | 1.89 |
| Case num. | Specimen num. | Overload Moment (N-mm) | Residual Stress (Mpa) | Cyclic Stress (Mpa) | Cyclic Loading Frequency (Hz) |
|---|---|---|---|---|---|
| 1 | 1 | - | - | 145.7 | 33 |
| 2 | |||||
| 2 | 3 | 20,990 | 38.8 | 145.7 | 33 |
| 4 |
© 2019 by the authors. Licensee MDPI, Basel, Switzerland. This article is an open access article distributed under the terms and conditions of the Creative Commons Attribution (CC BY) license (http://creativecommons.org/licenses/by/4.0/).
Share and Cite
Kim, J.; Kang, J.W.; Lee, D.-E.; Kim, D.Y. Methodology for Evaluation of Residual Stress Effect on Small Corner-Crack Initiation and Growth. Materials 2019, 12, 2904. https://doi.org/10.3390/ma12182904
Kim J, Kang JW, Lee D-E, Kim DY. Methodology for Evaluation of Residual Stress Effect on Small Corner-Crack Initiation and Growth. Materials. 2019; 12(18):2904. https://doi.org/10.3390/ma12182904
Chicago/Turabian StyleKim, Janghwan, Jun Won Kang, Dong-Eun Lee, and Dae Young Kim. 2019. "Methodology for Evaluation of Residual Stress Effect on Small Corner-Crack Initiation and Growth" Materials 12, no. 18: 2904. https://doi.org/10.3390/ma12182904
APA StyleKim, J., Kang, J. W., Lee, D.-E., & Kim, D. Y. (2019). Methodology for Evaluation of Residual Stress Effect on Small Corner-Crack Initiation and Growth. Materials, 12(18), 2904. https://doi.org/10.3390/ma12182904

