High Temperature Resistant Separator of PVDF-HFP/DBP/C-TiO2 for Lithium-Ion Batteries
Abstract
1. Introduction
2. Materials and Methods
2.1. Preparation of TiO2 Nanofibers
2.2. Preparation of Composite Separator
2.3. Characterization
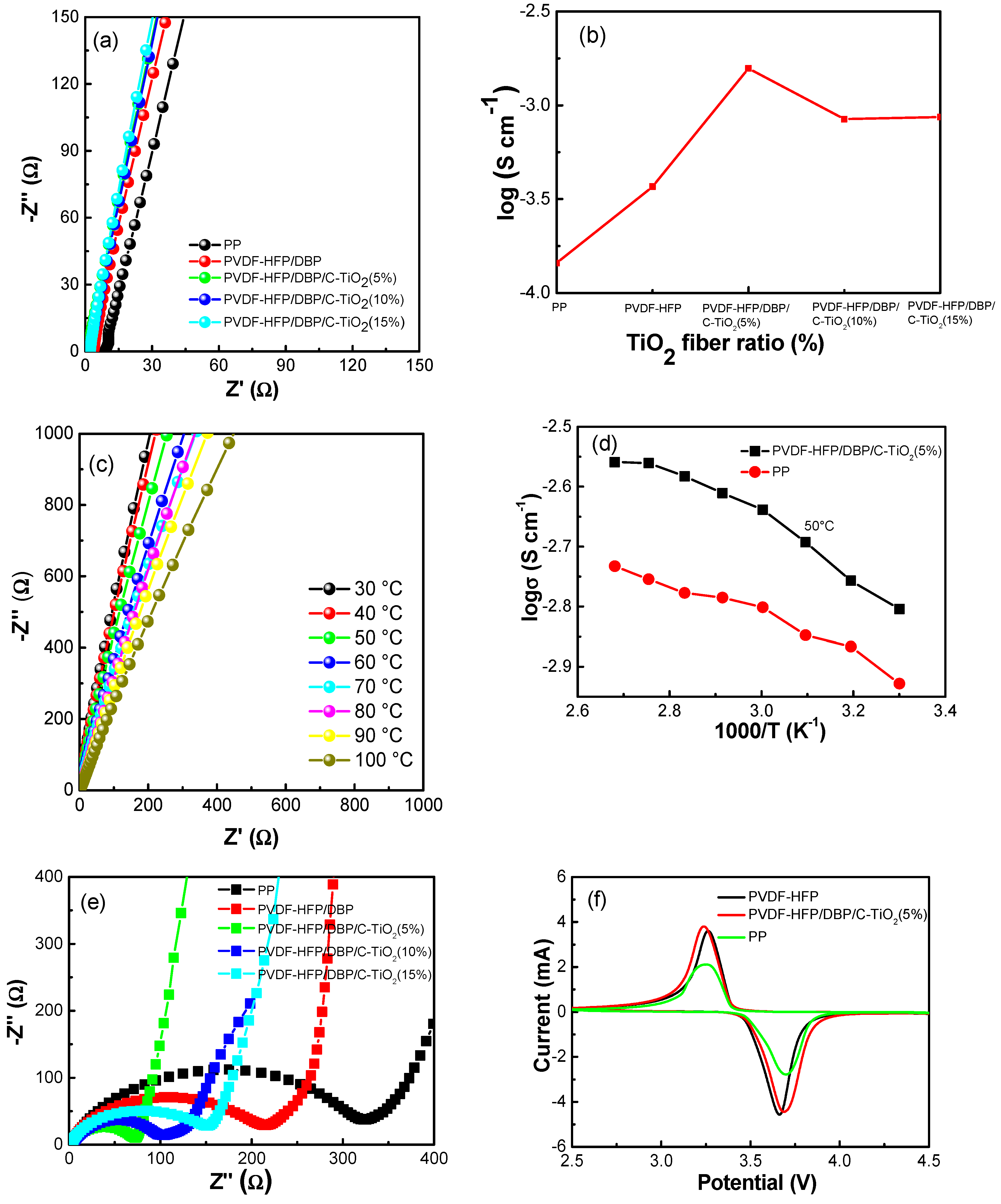
3. Results and Discussion
4. Conclusions
Author Contributions
Funding
Conflicts of Interest
References
- Tarascon, J.M.; Armand, M. Issues and challenges facing rechargeable lithium batteries. Nature 2001, 414, 359–367. [Google Scholar] [CrossRef]
- Goodenough, J.B.; Kim, Y. Challenges for rechargeable Li batteries. Chem. Mater. 2010, 22, 587–603. [Google Scholar] [CrossRef]
- Zuo, X.; Zhu, J.; Müller-Buschbaum, P.; Cheng, Y.J. Silicon based lithium-ion battery anodes: A chronicle perspective review. Nano Energy 2017, 31, 113–143. [Google Scholar] [CrossRef]
- Lu, L.; Han, X.; Li, J.; Hua, J.; Ouyang, M. A review on the key issues for lithium-ion battery management in electric vehicles. J. Power Sources 2013, 226, 272–288. [Google Scholar] [CrossRef]
- Balakrishnan, P.G.; Ramesh, R.; Kumar, T.P. Safety mechanisms in lithium-ion batteries. J. Power Sources 2006, 155, 401–414. [Google Scholar] [CrossRef]
- Deimede, V.; Elmasides, C. Separators for lithium-ion batteries: A review on the production processes and recent developments. Energy Technol. 2015, 3, 453–468. [Google Scholar] [CrossRef]
- Cho, J.; Jung, Y.C.; Lee, Y.S.; Kim, D.W. High performance separator coated with amino-functionalized SiO2 particles for safety enhanced lithium-ion batteries. J. Membr. Sci. 2017, 535, 151–157. [Google Scholar] [CrossRef]
- Cui, J.; Liu, J.; He, C.; Li, J.; Wu, X. Composite of polyvinylidene fluoride–cellulose acetate with Al(OH)3 as a separator for high-performance lithium ion battery. J. Membr. Sci. 2017, 541, 661–667. [Google Scholar] [CrossRef]
- Kim, M.; Kim, J.K.; Park, J.H. Clay nanosheets in skeletons of controlled phase inversion separators for thermally stable Li-ion batteries. Adv. Funct. Mater. 2015, 25, 3399–3404. [Google Scholar] [CrossRef]
- Fu, D.; Luan, B.; Argue, S.; Bureau, M.N.; Davidson, I.J. Nano SiO2 particle formation and deposition on polypropylene separators for lithium-ion batteries. J. Power Sources 2012, 206, 325–333. [Google Scholar] [CrossRef]
- Yoo, J.H.; Shin, W.K.; Koo, S.M.; Kim, D.W. Lithium-ion polymer cells assembled with a reactive composite separator containing vinyl-functionalized SiO2 particles. J. Power Sources 2015, 295, 149–155. [Google Scholar] [CrossRef]
- Peng, K.; Wang, B.; Li, Y.; Ji, C. Magnetron sputtering deposition of TiO2 particles on polypropylene separators for lithium-ion batteries. RSC Adv. 2015, 5, 81468–81473. [Google Scholar] [CrossRef]
- Park, J.H.; Cho, J.H.; Park, W.; Ryoo, D.; Yoon, S.J.; Kim, J.H.; Jeong, Y.U.; Lee, S.Y. Close-packed SiO2/poly (methyl methacrylate) binary nanoparticles-coated polyethylene separators for lithium-ion batteries. J. Power Sources 2010, 195, 8306–8310. [Google Scholar] [CrossRef]
- Xiao, W.; Gong, Y.; Wang, H.; Zhao, L.; Liu, J.; Yan, C. Preparation and electrochemical performance of ZrO2 nanoparticle-embedded nonwoven composite separator for lithium-ion batteries. Ceram. Int. 2015, 41, 14223–14229. [Google Scholar] [CrossRef]
- Jeong, H.S.; Kim, D.W.; Jeong, Y.U.; Lee, S.Y. Effect of phase inversion on microporous structure development of Al2O3/poly(vinylidene fluoride-hexafluoropropylene)-based ceramic composite separators for lithium-ion batteries. J. Power Sources 2010, 195, 6116–6121. [Google Scholar] [CrossRef]
- Shi, C.; Dai, J.; Shen, X.; Peng, L.; Li, C.; Wang, X.; Zhang, P.; Zhao, J. A high-temperature stable ceramic-coated separator prepared with polyimide binder/Al2O3 particles for lithium-ion batteries. J. Membr. Sci. 2016, 517, 91–99. [Google Scholar] [CrossRef]
- Bottino, A.; Camera-Roda, G.; Capannelli, G.; Munari, S. The formation of microporous polyvinylidene difluoride membranes by phase separation. J. Membr. Sci. 1991, 57, 1–20. [Google Scholar] [CrossRef]
- Pu, W.; He, X.; Wang, L.; Jiang, C.; Wan, C. Preparation of PVDF–HFP microporous membrane for Li-ion batteries by phase inversion. J. Membr. Sci. 2006, 272, 11–14. [Google Scholar] [CrossRef]
- Shi, F.; Ma, Y.; Ma, J.; Wang, P.; Sun, W. Preparation and characterization of PVDF/TiO2 hybrid membranes with ionic liquid modified nano-TiO2 particles. J. Membr. Sci. 2013, 427, 259–269. [Google Scholar] [CrossRef]
- Wei, Y.; Chu, H.Q.; Dong, B.Z.; Li, X.; Xia, S.J.; Qiang, Z.M. Effect of TiO2 nanowire addition on PVDF ultrafiltration membrane performance. Desalination 2011, 272, 90–97. [Google Scholar] [CrossRef]
- Deng, Y.; Song, X.; Ma, Z.; Zhang, X.; Shu, D.; Nan, J. Al2O3/PVDF-HFP-CMC/PE separator prepared using aqueous slurry and post-hot-pressing method for polymer lithium-ion batteries with enhanced safety. Electrochim. Acta 2016, 212, 416–425. [Google Scholar] [CrossRef]
- Ali, S.; Tan, C.; Waqas, M.; Lv, W.; Wei, Z.; Wu, S.; Boateng, B.; Liu, J.; Ahmed, J.; Xiong, J.; et al. Highly efficient PVDF-HFP/colloidal alumina composite separator for high-temperature lithium-ion batteries. Adv. Mater. Interfaces 2018, 5, 1701147. [Google Scholar] [CrossRef]
- Yang, P.; Zhang, P.; Shi, C.; Chen, L.; Dai, J.; Zhao, J. The functional separator coated with core–shell structured silica–poly (methyl methacrylate) sub-microspheres for lithium-ion batteries. J. Membr. Sci. 2015, 474, 148–155. [Google Scholar] [CrossRef]
- Kim, K.M.; Kim, J.C.; Ryu, K.S. Characteristics of PVDF-HFP/TiO2 composite electrolytes prepared by a phase inversion technique using dimethyl acetamide solvent and water non-solvent. Macromol. Mater. Eng. 2006, 291, 1495–1502. [Google Scholar] [CrossRef]
- Li, X.; Zhang, M.; He, J.; Wu, D.; Meng, J.; Ni, P. Effects of fluorinated SiO2 nanoparticles on the thermal and electrochemical properties of PP nonwoven/PVDF-HFP composite separator for Li-ion batteries. J. Membr. Sci. 2014, 455, 368–374. [Google Scholar] [CrossRef]
- Wu, D.; He, J.; Zhang, M.; Ni, P.; Li, X.; Hu, J. Fabrication of a novel sandwich-like composite separator with enhanced physical and electrochemical performances for lithium-ion battery. J. Power Sources 2015, 290, 53–60. [Google Scholar] [CrossRef]
- Yanilmaz, M.; Lu, Y.; Dirican, M.; Fu, K.; Zhang, X. Nanoparticle-on-nanofiber hybrid membrane separators for lithium-ion batteries via combining electrospraying and electrospinning techniques. J. Membr. Sci. 2014, 456, 57–65. [Google Scholar] [CrossRef]
- Zheng, W.; Zhu, Y.; Na, B.; Lv, R.; Liu, H.; Li, W.; Zhou, H. Hybrid silica membranes with a polymer nanofiber skeleton and their application as lithium-ion battery separators. Compos. Sci. Technol. 2017, 144, 178–184. [Google Scholar] [CrossRef]
- Sannier, L.; Bouchet, R.; Grugeon, S.; Naudin, E.; Vidal, E.; Tarascon, J.M. Room temperature lithium metal batteries based on a new gel polymer electrolyte membrane. J. Power Sources 2005, 144, 231–237. [Google Scholar] [CrossRef]
- Li, L.; Zhang, J.; Zou, Y.; Jiang, W.; Lei, W.; Ma, Z. High-rate and long-term cycle stability of lithium-ion batteries enabled by boron-doping TiO2 nanofiber anodes. J. Electroanal. Chem. 2019, 833, 573–579. [Google Scholar] [CrossRef]
- Lu, Q.; He, Y.B.; Yu, Q.; Li, B.; Kaneti, Y.V.; Yao, Y.; Kang, F.; Yang, Q.H. Dendrite-free, high-rate, long-life lithium metal batteries with a 3D cross-linked network polymer electrolyte. Adv. Mater. 2017, 29, 1604460. [Google Scholar] [CrossRef] [PubMed]
- Wang, M.; Chen, X.; Wang, H.; Wu, H.; Jin, X.; Huang, C. Improved performances of lithium-ion batteries with a separator based on inorganic fibers. J. Mater. Chem. A 2017, 5, 311–318. [Google Scholar] [CrossRef]
- Borisova, L.; Kiryakova, D.; Atanassov, A. A comparison of two different methods for formation of the beta phase in nanocomposites based on vinylidene fluoride-hexafluoropropylene copolymer. Mater. Sci. Pol. 2014, 32, 301–306. [Google Scholar] [CrossRef]
- Zhu, M.; Lan, J.; Tan, C.; Sui, G.; Yang, X. Degradable cellulose acetate/poly-L-lactic acid/halloysite nanotube composite nanofiber membranes with outstanding performance for gel polymer electrolytes. J. Mater. Chem. A 2016, 4, 12136–12143. [Google Scholar] [CrossRef]
- Lin, C.E.; Zhang, H.; Song, Y.Z.; Zhang, Y.; Yuan, J.J.; Zhu, B.K. Carboxylated polyimide separator with excellent lithium ion transport properties for a high-power density lithium-ion battery. J. Mater. Chem. A 2017, 6, 991–998. [Google Scholar] [CrossRef]
- Kim, J.H.; Kim, J.H.; Choi, E.S.; Yu, H.K.; Kim, J.H.; Wu, Q.; Chun, S.J.; Lee, S.Y.; Lee, S.Y. Colloidal silica nanoparticle-assisted structural control of cellulose nanofiber paper separators for lithium-ion batteries. J. Power Sources 2013, 242, 533–540. [Google Scholar] [CrossRef]
- Ye, L.; Shi, X.; Zhang, Z.; Liu, J.; Jian, X.; Waqas, M.; He, W. An efficient route to polymeric electrolyte membranes with interparticle chain microstructure toward high-temperature lithium-ion batteries. Adv. Mater. Interfaces 2017, 4, 1601236. [Google Scholar] [CrossRef]
- Shi, J.; Xia, Y.; Han, S.; Fang, L.; Pan, M.; Xu, X.; Liu, Z. Lithium ion conductive Li1.5Al0.5Ge1.5(PO4)3 based inorganic-organic composite separator with enhanced thermal stability and excellent electrochemical performances in 5V lithium ion batteries. J. Power Sources 2015, 273, 389–395. [Google Scholar] [CrossRef]





© 2019 by the authors. Licensee MDPI, Basel, Switzerland. This article is an open access article distributed under the terms and conditions of the Creative Commons Attribution (CC BY) license (http://creativecommons.org/licenses/by/4.0/).
Share and Cite
Li, H.; Li, L.; Zheng, S.; Wang, X.; Ma, Z. High Temperature Resistant Separator of PVDF-HFP/DBP/C-TiO2 for Lithium-Ion Batteries. Materials 2019, 12, 2813. https://doi.org/10.3390/ma12172813
Li H, Li L, Zheng S, Wang X, Ma Z. High Temperature Resistant Separator of PVDF-HFP/DBP/C-TiO2 for Lithium-Ion Batteries. Materials. 2019; 12(17):2813. https://doi.org/10.3390/ma12172813
Chicago/Turabian StyleLi, Haijuan, Ling Li, Shuaizhi Zheng, Xinming Wang, and Zengsheng Ma. 2019. "High Temperature Resistant Separator of PVDF-HFP/DBP/C-TiO2 for Lithium-Ion Batteries" Materials 12, no. 17: 2813. https://doi.org/10.3390/ma12172813
APA StyleLi, H., Li, L., Zheng, S., Wang, X., & Ma, Z. (2019). High Temperature Resistant Separator of PVDF-HFP/DBP/C-TiO2 for Lithium-Ion Batteries. Materials, 12(17), 2813. https://doi.org/10.3390/ma12172813
