Holography with Photochromic Diarylethenes
Abstract
1. Introduction
2. Computer-Generated Holograms
2.1. Fourier and Fresnel CGHs
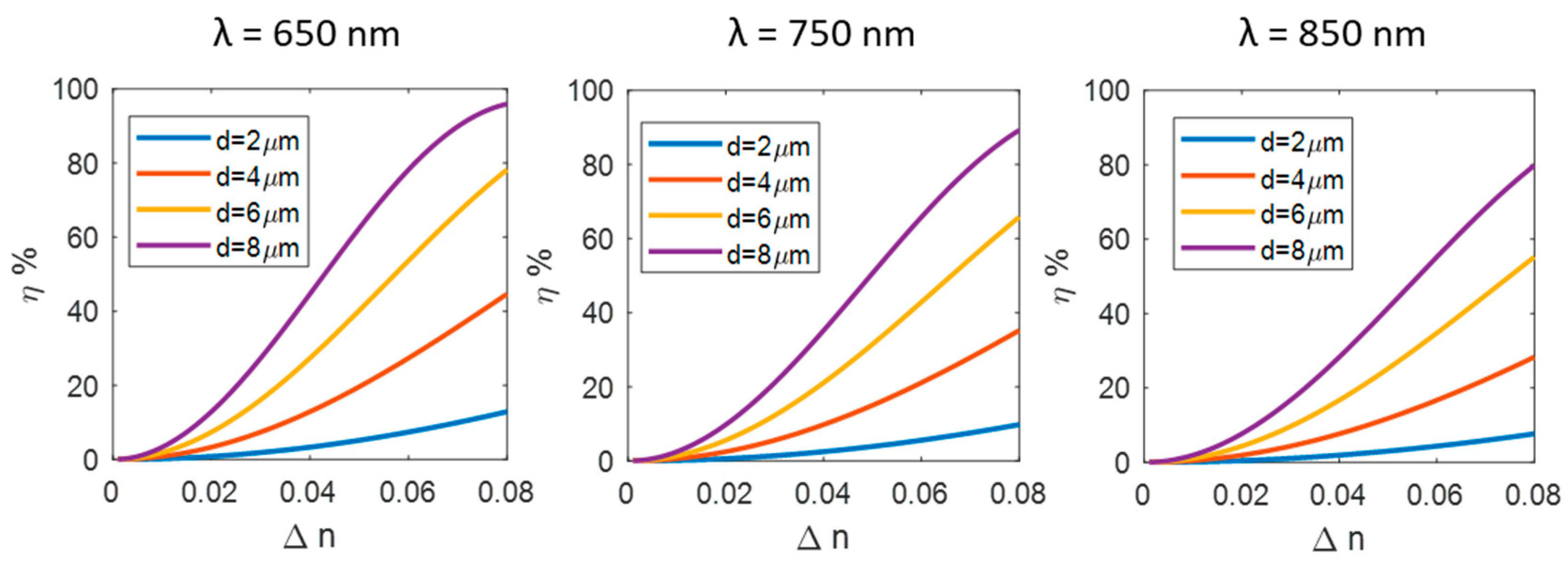
2.2. Diffraction Efficiency
3. Diarylethenes: Properties Modulation
3.1. UV-vis Absorption
3.2. Computational Tool
3.2.1. Selection of the Molecules
3.2.2. Parameters Choice
3.2.3. Visualization of the Results
3.3. Remarks on the Absorption Properties
3.4. Refractive Index Modulation
- maximize the concentration of the photochromic dye in the film;
- design a photochromic molecule with specific chemical groups that enhance the change in the molecular polarizability (large change in the π conjugation path and efficiency);
- increase the wavelength gap between the absorption band in the UV of the uncolored form and the visible band of the colored form.
4. Writing Strategies and Examples of CGHs
4.1. Mask Projection
4.2. Direct Laser Writing
4.3. Examples of Diarylethene-based CGHs
5. Conclusions
Author Contributions
Funding
Acknowledgments
Conflicts of Interest
References
- Gabor, D. A new microscopic principle. Nature 1948, 161, 777–778. [Google Scholar] [CrossRef] [PubMed]
- Bertolotti, M. The History of the Laser; CRC Press: Boca Raton, FL, USA, 2004. [Google Scholar]
- Johnston, S.F. Reconstructing the history of holography. Proc. SPIE 2003, 5005, 455–464. [Google Scholar]
- Lawrence, J.R.; Neill, F.T.O.; Sheridan, J.T. Photopolymer holographic recording material. Optik 2001, 112, 449–463. [Google Scholar] [CrossRef]
- Bianco, A.; Perissinotto, S.; Garbugli, M.; Lanzani, G.; Bertarelli, C. Control of optical properties through photochromism: A promising approach to photonics. Laser Photonics Rev. 2011, 5, 711–736. [Google Scholar] [CrossRef]
- Kobayashi, Y.; Abe, J. Real-Time Dynamic Hologram of a 3D Object with Fast Photochromic Molecules. Adv. Opt. Mater. 2016, 4, 1354–1357. [Google Scholar] [CrossRef]
- Boiko, Y. Volume hologram recording in diarylethene doped polymer. Opt. Mem. Neural Netw. 2008, 17, 30–36. [Google Scholar]
- Pu, S.; Yang, T.; Yao, B.; Wang, Y.; Lei, M.; Xu, J. Photochromic diarylethene for polarization holographic optical recording. Mater. Lett. 2007, 61, 855–859. [Google Scholar] [CrossRef]
- Yan, P.; Tong, Z.; Pu, S.; Liu, W. A new unsymmetrical diarylethene for reversible holographic recording. Adv. Manuf. Technol. 2011, 157, 655–659. [Google Scholar] [CrossRef]
- Luo, S.; Chen, K.; Cao, L.; Liu, G.; He, Q.; Jin, G.; Zeng, D.; Chen, Y. Photochromic diarylethene for rewritable holographic data storage. Opt. Express 2005, 13, 3123–3128. [Google Scholar] [CrossRef]
- Cao, L.; Wang, Z.; Zong, S.; Zhang, S.; Zhang, F.; Jin, G. Volume Holographic Polymer of Photochromic Diarylethene for Updatable Three-Dimensional Display. J. Polym. Sci. Part B Polym. Phys. 2016, 54, 2050–2058. [Google Scholar] [CrossRef]
- Kajimura, M.; Egami, C. Three-dimensional multiplex micro-hologram using diarylethene-doped PMMA film. Mol. Cryst. Liq. Cryst. 2016, 635, 102–106. [Google Scholar] [CrossRef]
- Irie, M. Photochromism of diarylethene molecules and crystals. Proc. Jpn. Acad. Ser. B 2010, 86, 472–483. [Google Scholar] [CrossRef] [PubMed]
- Nishi, H.; Kobatake, S. Photochromism and Optical Property of Gold Nanoparticles Covered with Low-Polydispersity Diarylethene Polymers. Macromolecules 2008, 41, 3995–4002. [Google Scholar] [CrossRef]
- Nishi, H.; Asahi, T.; Kobatake, S. Light-Controllable Surface Plasmon Resonance Absorption of Gold Nanoparticles Covered with Photochromic Diarylethene Polymers. J. Phys. Chem. C 2009, 113, 17359–17366. [Google Scholar] [CrossRef]
- Tsuboi, Y.; Shimizu, R.; Shoji, T.; Kitamura, N. Near-Infrared Continuous-Wave Light Driving a Two-Photon Photochromic Reaction with the Assistance of Localized Surface Plasmon. J. Am. Chem. Soc. 2009, 131, 12623–12627. [Google Scholar] [CrossRef]
- Piard, J.; Métivier, R.; Giraud, M.; Léaustic, A.; Yu, P.; Nakatani, K. Photoswitching in diarylethene nanoparticles, a trade-off between bulk solid and solution: Towards balanced photochromic and fluorescent properties. New J. Chem. 2009, 33, 1420–1426. [Google Scholar] [CrossRef]
- Spangenberg, A.; Métivier, R.; Yasukuni, R.; Shibata, K.; Brosseau, A.; Grand, J.; Aubard, J.; Yu, P.; Asahi, T.; Nakatani, K. Photoswitchable interactions between photochromic organic diarylethene and surface plasmon resonance of gold nanoparticles in hybrid thin films. Phys. Chem. Chem. Phys. 2013, 15, 9670–9678. [Google Scholar] [CrossRef]
- Snegir, S.V.; Khodko, A.A.; Sysoiev, D.; Lacaze, E.; Pluchery, O.; Huhn, T. Optical properties of gold nanoparticles decorated with furan-based diarylethene photochromic molecules. J. Photochem. Photobiol. A Chem. 2017, 342, 78–84. [Google Scholar] [CrossRef]
- Tsutsumi, N. Molecular design of photorefractive polymers. Polym. J. 2016, 48, 571–588. [Google Scholar] [CrossRef]
- Lynn, B.; Blanche, P.; Peyghambarian, N. Photorefractive Polymers for Holography. J. Polym. Sci. Part B Polym. Phys. 2014, 52, 193–231. [Google Scholar] [CrossRef]
- Marinova, V.; Huei Lin, S.; Chung Liu, R.; Hsu, K.Y. Photorefractive Effect: Principles, Materials, and Near-Infrared Holography. In Wiley Encyclopedia of Electrical and Electronics Engineering; John Wiley & Sons, Inc.: Hoboken, NJ, USA, 2016; pp. 1–20. [Google Scholar]
- Blanche, P.-A.; Bigler, C.; Ka, J.-W.; Peyghambarian, N. Fast and continuous recording of refreshable holographic stereograms. Opt. Eng. 2018, 57, 061608. [Google Scholar] [CrossRef]
- Blanche, P.-A.; Bablumian, A.; Voorakaranam, R.; Christenson, C.; Lin, W.; Gu, T.; Flores, D.; Wang, P.; Kathaperumal, M.; Rachwal, B.; et al. Holographic three-dimensional telepresence using large-area photorefractive polymer. Nature 2010, 468, 80–83. [Google Scholar] [CrossRef] [PubMed]
- Tay, S.; Blanche, P.A.; Voorakaranam, R.; Tunc, A.V.; Lin, W.; Rokutanda, S.; Gu, T.; Flores, D.; Wang, P.; Li, G.; et al. An updatable holographic three-dimensional display. Nature 2008, 451, 694–698. [Google Scholar] [CrossRef] [PubMed]
- Hesselink, L.; Orlov, S.S.; Liu, A.; Akella, A.; Lande, D.; Neurgaonkar, R.R. Photorefractive materials for nonvolatile volume holographic data storage. Science 1998, 282, 1089–1094. [Google Scholar] [CrossRef] [PubMed]
- Shishido, A. Rewritable holograms based on azobenzene-containing liquid-crystalline polymers. Polym. J. 2010, 42, 525–533. [Google Scholar] [CrossRef]
- Ryabchun, A.; Bobrovsky, A. Cholesteric Liquid Crystal Materials for Tunable Diffractive Optics. Adv. Opt. Mater. 2018, 6, 1800335. [Google Scholar] [CrossRef]
- Matharu, A.S.; Jeeva, S.; Ramanujam, P.S. Liquid crystals for holographic optical data storage. Chem. Soc. Rev. 2007, 36, 1868–1880. [Google Scholar] [CrossRef] [PubMed]
- Liu, Y.J.; Sun, X.W. Holographic Polymer-Dispersed Liquid Crystals: Materials, Formation, and Applications. Adv. Optoelectron. 2008, 2008, 684349. [Google Scholar] [CrossRef]
- De Sio, L.; Lloyd, P.F.; Tabiryan, N.V.; Bunning, T.J. Hidden Gratings in Holographic Liquid Crystal Polymer-Dispersed Liquid Crystal Films. ACS Appl. Mater. Interfaces 2018, 10, 13107–13112. [Google Scholar] [CrossRef]
- Brown, B.R.; Lohmann, A.W. Computer-generated Binary Holograms. IBM J. Res. Dev. 1969, 13, 160–168. [Google Scholar] [CrossRef]
- Tricoles, G. Computer generated holograms: An historical review. Appl. Opt. 1987, 26, 4351–4360. [Google Scholar] [CrossRef] [PubMed]
- Jacubowiez, L. Back to basics: Computer-generated holograms. Photoniques 2017, 2, 38–44. [Google Scholar] [CrossRef][Green Version]
- Bass, M. Handbook of Optics: Volume II; McGraw-Hill: New York, NY, USA, 2010. [Google Scholar]
- Ruffato, G.; Rossi, R.; Massari, M.; Mafakheri, E.; Capaldo, P.; Romanato, F. Design, fabrication and characterization of Computer Generated Holograms for anti-counterfeiting applications using OAM beams as light decoders. Sci. Rep. 2017, 7, 18011. [Google Scholar] [CrossRef] [PubMed]
- MacGovern, A.J.; Wyant, J.C. Computer Generated Holograms for Testing Optical Elements. Appl. Opt. 1971, 10, 619–624. [Google Scholar] [CrossRef] [PubMed]
- Fang, F.Z.; Zhang, X.D.; Weckenmann, A.; Zhang, G.X.; Evans, C. Manufacturing and measurement of freeform optics. CIRP Ann. Manuf. Technol. 2013, 62, 823–846. [Google Scholar] [CrossRef]
- Kang, G.G.; Xie, J.; Liu, Y. New design techniques and alignment methods for CGH-null testing of aspheric surface. Proc. SPIE 2008, 6624, 66240K. [Google Scholar]
- Li, S.; Zhang, J.; Liu, W.; Guo, Z.; Li, H.; Yang, Z.; Liu, B.; Tian, A.; Li, X. Measurement investigation of an off-axis aspheric surface via a hybrid compensation method. Appl. Opt. 2018, 57, 8220–8227. [Google Scholar] [CrossRef]
- Poon, T.-C.; Liu, J.-P. Introduction to Modern Digital Holography with Matlab; Cambridge University Press: Cambridge, UK, 2014. [Google Scholar]
- Lee, W.H. Sampled Fourier Transform Hologram Generated by Computer. Appl. Opt. 1970, 9, 639–643. [Google Scholar] [CrossRef]
- Zamkotsian, F.; Alata, R.; Lanzoni, P.; Pariani, G.; Bianco, A.; Bertarelli, C. Programmable CGH on photochromic material using DMD generated masks. Proc. SPIE 2018, 10546, 1054606. [Google Scholar]
- Neto, L.G.; Cardona, P.S.P.; Cirino, G.A.; Mansano, R.D.; Verdonck, P.B. Implementation of Fresnel full complex-amplitude digital holograms. Opt. Eng. 2004, 43, 2640–2649. [Google Scholar] [CrossRef]
- Bianco, A.; Pariani, G.; Zanutta, A.; Castagna, R.; Bertarelli, C. Photochromic materials for holography: Issues and constraints. Proc. SPIE 2012, 8281, 828104. [Google Scholar]
- Baldry, I.K.; Bland-Hawthorn, J.; Robertson, J.G. Volume phase holographic gratings: Polarization properties and diffraction efficiency. Publ. Astron. Soc. Pac. 2004, 116, 403–414. [Google Scholar] [CrossRef]
- Irie, M.; Mohri, M. Thermally Irreversible Photochromic Systems. Reversible Photocyclization of Diarylethene Derivatives. J. Org. Chem. 1988, 53, 803–808. [Google Scholar] [CrossRef]
- Irie, M.; Fukaminato, T.; Matsuda, K.; Kobatake, S. Photochromism of diarylethene molecules and crystals: Memories, switches, and actuators. Chem. Rev. 2014, 114, 12174–12277. [Google Scholar] [CrossRef] [PubMed]
- Oggioni, L.; Toccafondi, C.; Pariani, G.; Colella, L.; Canepa, M.; Bertarelli, C.; Bianco, A. Photochromic Polyurethanes Showing a Strong Change of Transparency and Refractive Index. Polymer 2017, 9, 462. [Google Scholar] [CrossRef] [PubMed]
- Suzuki, H. Electronic Absorption Spectra and Geometry of Organic Molecules: An Application of Molecular Orbital Theory; Academic Press Inc.: Cambridge, MA, USA, 1967. [Google Scholar]
- Pariani, G.; Quintavalla, M.; Colella, L.; Oggioni, L.; Castagna, R.; Ortica, F.; Bertarelli, C.; Bianco, A. New Insight into the Fatigue Resistance of Photochromic 1,2-Diarylethenes. J. Phys. Chem. C 2017, 121, 23592–23598. [Google Scholar] [CrossRef]
- Pariani, G.; Bianco, A.; Castagna, R.; Bertarelli, C. Kinetics of photochromic conversion at the solid state: quantum yield of dithienylethene-based films. J. Phys. Chem. A 2011, 115, 12184–12193. [Google Scholar] [CrossRef] [PubMed]
- Bottcher, C.J.F. Theory of Electric Polarisation; Elsevier: Amsterdam, The Netherland, 1952. [Google Scholar]
- Gussoni, M.; Rui, M.; Zerbi, G. Electronic and relaxation contribution to linear molecular polarizability. An analysis of the experimental values. J. Mol. Struct. 1998, 447, 163–215. [Google Scholar] [CrossRef]
- Bertarelli, C.; Bianco, A.; D’Amore, F.; Gallazzi, M.C.; Zerbi, G. Effect of Substitution on the Change of Refractive Index in Dithienylethenes: An Ellipsometric Study. Adv. Funct. Mater. 2004, 14, 357–363. [Google Scholar] [CrossRef]
- Djorovic, A.; Meyer, M.; Darby, B.L.; Ru, E.C. Le Accurate Modeling of the Polarizability of Dyes for Electromagnetic Calculations. ACS Omega 2017, 2, 1804–1811. [Google Scholar] [CrossRef]
- Bertarelli, C.; Bianco, A.; Castagna, R.; Pariani, G. Journal of Photochemistry and Photobiology C: Photochemistry Reviews Photochromism into optics: Opportunities to develop light-triggered optical elements. J. Photochem. Photobiol. C Photochem. Rev. 2011, 12, 106–125. [Google Scholar] [CrossRef]
- Toccafondi, C.; Occhi, L.; Cavalleri, O.; Penco, A.; Castagna, R.; Bianco, A.; Bertarelli, C.; Comoretto, D.; Canepa, M. Photochromic and photomechanical responses of an amorphous diarylethene-based polymer: A spectroscopic ellipsometry investigation of ultrathin films. J. Mater. Chem. C 2014, 2, 4692–4698. [Google Scholar] [CrossRef]
- Chang, Y.R.; Burge, J.H. Error analysis for CGH optical testing. Proc. SPIE 1999, 3782, 358–366. [Google Scholar]
- Lin, B.J. Optical Lithography: Here Is Why; SPIE: Bellingham, DC, USA, 2010. [Google Scholar]
- Alata, R.; Pariani, G.; Zamkotsian, F.; Lanzoni, P.; Bianco, A.; Bertarelli, C. Programmable CGH on photochromic material using DMD. Proc. SPIE 2016, 9912, 991234. [Google Scholar]
- Alata, R.; Pariani, G.; Zamkotsian, F.; Lanzoni, P.; Bianco, A.; Bertarelli, C. Programmable CGH on photochromic plates coded with DMD generated masks. Opt. Express 2017, 25, 6945–6953. [Google Scholar] [CrossRef]
- Pariani, G.; Bertarelli, C.; Bianco, A.; Schaal, F.; Pruss, C. Characterization of photochromic Computer Generated Holograms for optical testing. Proc. SPIE 2012, 8450, 845010. [Google Scholar]
- Bianco, A.; Mantero, M.; Oggioni, L.; Pariani, G.; Bertarelli, C. Advances in photochromic computer-generated holograms. Proc. SPIE 2019, 11030, 110300B. [Google Scholar]


















| Compound | Uncolored Form | Colored Form | ||
|---|---|---|---|---|
| λUV (nm) | εUV (M−1 cm−1) | λVIS (nm) | εVIS (M−1 cm−1) | |
| 1 | 278 | 34,660 | 575 | 14,990 |
| 2 * | 288 | 38,720 | 584 | 16,400 |
| 3 | 328 | 40,450 | 608 | 14,450 |
| 4 | 293 | 43,610 | 582 | 20,050 |
| 5 | 297 | 41,660 | 583 | 21,110 |
| 6 | 294 | 36,580 | 582 | 16,940 |
| 7 | 296 | 35,980 | 592 | 18,010 |
| 8 | 320 | 49,960 | 607 | 24,300 |
| 9 | 353 | 51,040 | 613 | 28,100 |
| 10 | 315 | 27,670 | 598 | 9790 |
| 11 | 315 | 33,060 | 591 | 11,425 |
| 12 | 330 | 44,230 | 642 | 25,860 |
| 13 | 305 | 37,970 | 597 | 18,070 |
| 14 | 305 | 35,390 | 602 | 16,620 |
| 15 | 251 | 21,410 | 546 | 10,910 |
| 16 | 282 | 30,780 | 587 | 15,420 |
| 17 | 310 | 28,190 | 592 | 16,750 |
| 18 | 318 | 32,480 | 598 | 21,490 |
| 19 * | 320 | 32,420 | 608 | 19,090 |
| 20 | 301 | 30,640 | 519 | 10,810 |
| 21 | 316 | 23,700 | 534 | 11,800 |
| 22 | 329 | 37,310 | 549 | 19,400 |
| 23 * | 304 | 35,050 | 530 | 12,690 |
| 24 * | 330 | 31,520 | 553 | 15,820 |
© 2019 by the authors. Licensee MDPI, Basel, Switzerland. This article is an open access article distributed under the terms and conditions of the Creative Commons Attribution (CC BY) license (http://creativecommons.org/licenses/by/4.0/).
Share and Cite
Oggioni, L.; Pariani, G.; Zamkotsian, F.; Bertarelli, C.; Bianco, A. Holography with Photochromic Diarylethenes. Materials 2019, 12, 2810. https://doi.org/10.3390/ma12172810
Oggioni L, Pariani G, Zamkotsian F, Bertarelli C, Bianco A. Holography with Photochromic Diarylethenes. Materials. 2019; 12(17):2810. https://doi.org/10.3390/ma12172810
Chicago/Turabian StyleOggioni, Luca, Giorgio Pariani, Frédéric Zamkotsian, Chiara Bertarelli, and Andrea Bianco. 2019. "Holography with Photochromic Diarylethenes" Materials 12, no. 17: 2810. https://doi.org/10.3390/ma12172810
APA StyleOggioni, L., Pariani, G., Zamkotsian, F., Bertarelli, C., & Bianco, A. (2019). Holography with Photochromic Diarylethenes. Materials, 12(17), 2810. https://doi.org/10.3390/ma12172810

