Exploration of the Structural and Photophysical Characteristics of Mono- and Binuclear Ir(III) Cyclometalated Complexes for Optoelectronic Applications
Abstract
1. Introduction
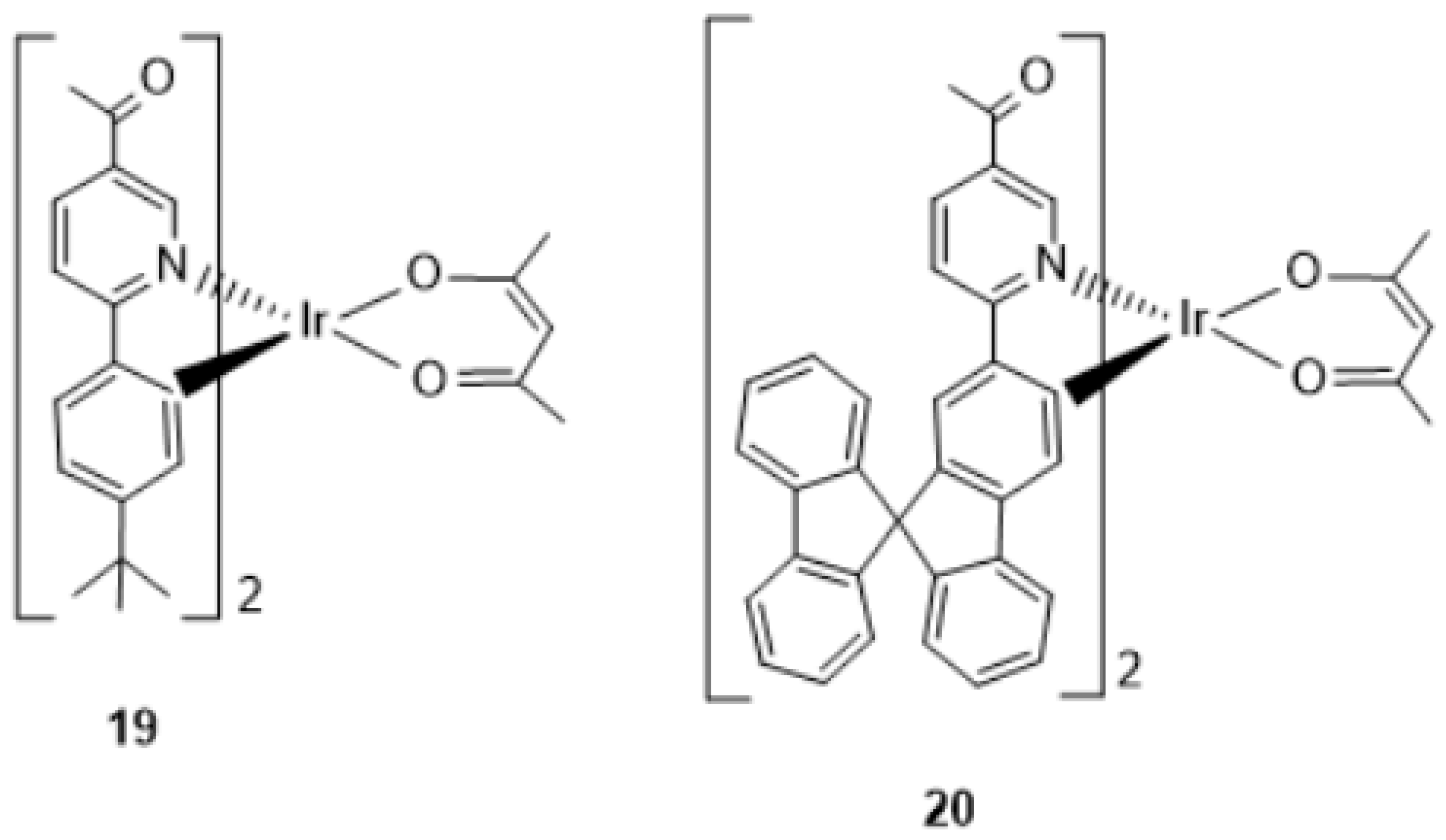
2. Comparative Analysis of Mono- and Bidentate Ligands Functionalized Cyclometalated Ir(III) Complexes
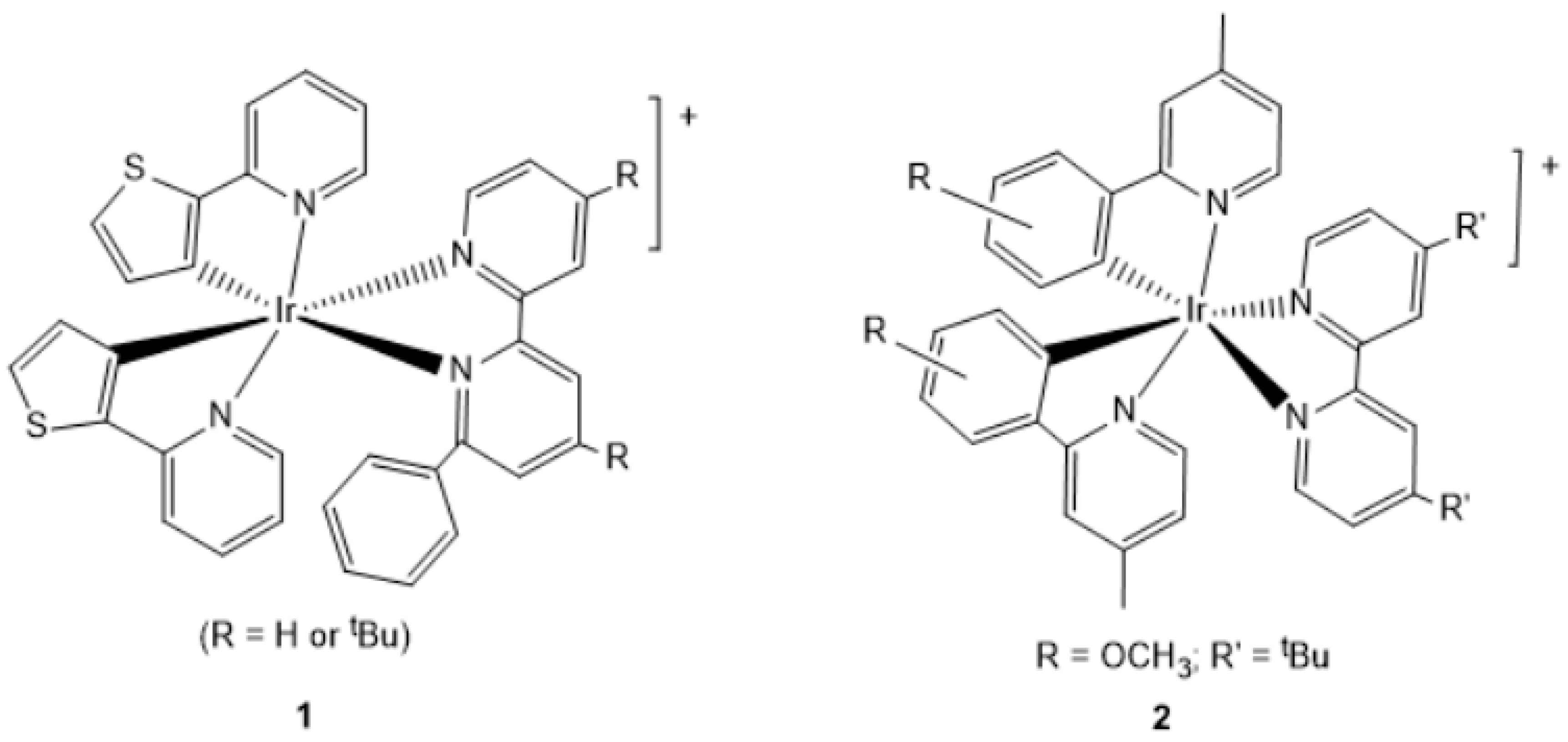
3. Comparative Analysis of Terdentate Ligands Functionalized Cyclometalated Ir(III) Complexes
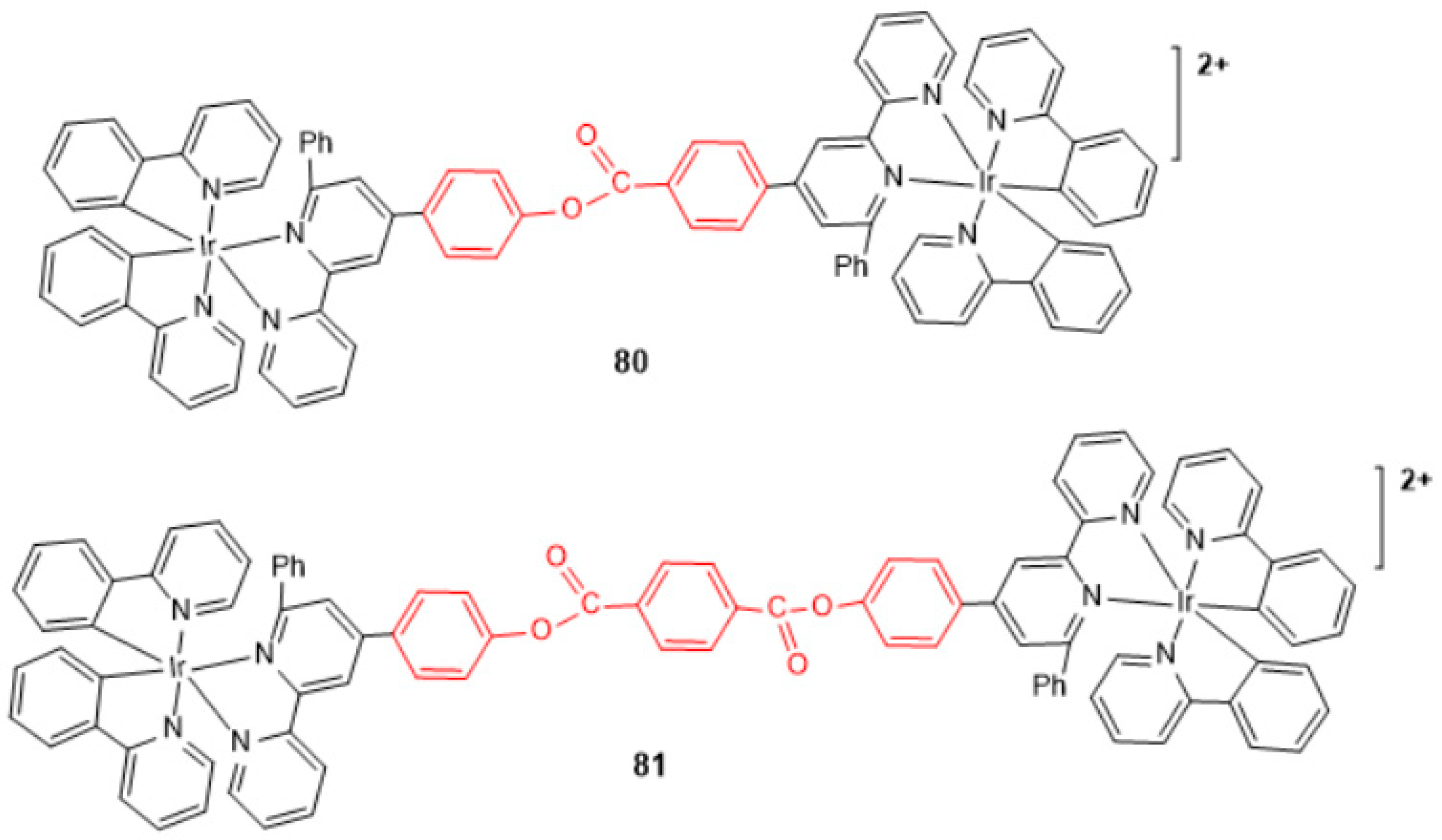
4. Comparative Studies of the Photophysical Properties of Cyclometalated Diiridium(III) Complexes
5. Conclusions
Funding
Acknowledgments
Conflicts of Interest
References
- Carella, A.; Borbone, F.; Centore, R. Research progress on photosensitizers for DSSC. Front. Chem. 2018, 6, 481. [Google Scholar] [CrossRef] [PubMed]
- Sun, S.-S.; Dalton, L.R. Introduction to Organic Electronic and Optoelectronic Materials and Devices, 1st ed.; CRS Press, Taylor & Francis Group: Boca Raton, FL, USA, 1970; p. 936. [Google Scholar]
- Pimputkar, S.; Speck, J.S.; DenBaars, S.P. Prospects for LED lighting. Nat. Photon. 2009, 3, 180–182. [Google Scholar] [CrossRef]
- Nazeeruddin, M.K.; Humphry-Baker, R.; Liska, P.; Grätzel, M. Investigation of sensitizer adsorption and the influence of protons on current and voltage of a dye-sensitized nanocrystalline TiO2 solar cell. J. Phys. Chem. B 2003, 107, 8981–8987. [Google Scholar] [CrossRef]
- O’Regan, B.; Grätzel, M. A low-cost, high-efficiency solar cell based on dye-sensitized colloidal TiO2 films. Nature 1991, 353, 737–740. [Google Scholar] [CrossRef]
- Ghann, W.; Kang, H.; Sheikh, T.; Yadav, S.; Chavez-Gil, T.; Nesbitt, F.; Uddin, J. Fabrication, optimization and characterization of natural dye sensitized solar cell. Sci. Rep. 2017, 7, 41470. [Google Scholar] [CrossRef] [PubMed]
- Adeloye, A.O.; Ajibade, P.A. Towards the development of functionalized polypyridine ligands for Ru(II) complexes as photosensitizers in dye-sensitized solar cells (DSSCs). Molecules 2014, 19, 12421–12460. [Google Scholar] [CrossRef] [PubMed]
- Baranoff, E.; Yum, J.-H.; Jung, I.; Vulcano, R.; Gratzel, M.; Nazeeruddin, Md.K. Cyclometalated iridium complexes as sensitizers for dye-sensitized solar cells. Chem. Asian J. 2010, 5, 496–499. [Google Scholar] [CrossRef] [PubMed]
- Legalite, F.; Escudero, D.; Pellegrin, Y.; Blart, E.; Jacquemin, D.; Fabrice, O. Iriium complexes for p-type dye sensitized solar cells. Dyes Pigments 2019, 171, 107693–107703. [Google Scholar] [CrossRef]
- Shinpuku, Y.; Inui, F.; Nakai, M.; Nakabayashi, Y. Synthesis and characterization of novel cyclometalated iridium(III) complexes for nanocrystalline TiO2-based dye-sensitized solar cells. J. Photochem. Photobiol. A Chem. 2011, 222, 203–209. [Google Scholar] [CrossRef]
- Telleria, A.; Emerson, B.S.; Kohlrausch, C.; Duarte, R.C.; Rodembusch, F.S.; Dupont, J.; Freixa, Z.; Santos, M.J.L. Synthesis and characterization of diethylphosphonate and carboxylate-appended iridium complexes for the application on dye-sensitized solar cells. Chem. Select 2016, 1, 2842–2848. [Google Scholar] [CrossRef]
- Dragonetti, C.; Valore, A.; Colombo, A.; Righetto, S.; Trafiletti, V. Simple novel cyclometallated iridium complexes for potential application in dye-sensitized solar cells. Inorg. Chim. Acta 2012, 388, 163–167. [Google Scholar] [CrossRef]
- Navaneetha, C.M.; Rishabh, C.; Batyr, B.; Onur, C. Organic light emitting diodes (OLED). Technical report. Hochsch. Brem. City Univ. Appl. Sci. 2016, 25. [Google Scholar] [CrossRef]
- Krames, M.R.; Shchekin, O.B.; Mueller-Mach, R.; Mueller, G.O.; Zhou, L.; Harbers, G.; Craford, M.G. Status and future of high-power light-emitting diodes for solid-state lighting. IEEE/OSA J. Disp. Technol. 2007, 3, 160–175. [Google Scholar] [CrossRef]
- Tsai, C.-C. Color rendering index thermal stability improvement of glass-based phosphor converted white light-emitting diodes for solid-state lighting. Intl. J. Photoenergy 2014, 2014, 407239. [Google Scholar] [CrossRef]
- Kuo, H.-C.; Hung, C.-W.; Chen, H.-C.; Chen, K.-J.; Wang, C.-H.; Sher, C.-W.; Yeh, C.-C.; Lin, C.-C.; Chen, C.-H.; Cheng, Y.-J. Patterned structure of remote phosphor for phosphor converted white LEDs. Opt. Express 2011, 19, A930–A936. [Google Scholar] [CrossRef] [PubMed]
- Broeckx, L.E.E. Cyclometalation of Phosphinines via C-H Activation: Towards Functional Coordination Compounds; Technische Universiteit Eindhoven: Eindhoven, The Netherlands, 2013. [Google Scholar]
- Cámpora, J.; Palma, P.; Carmona, E. The Chemistry of group 10 metalacycles. Coord. Chem. Rev. 1999, 193–195, 207–281. [Google Scholar] [CrossRef]
- Darling, A.S. Some properties and applications of the platinum group metals. Intl. Met. Rev. 2013, 18, 91–122. [Google Scholar] [CrossRef]
- Ng, W.Y.; Gong, X.; Chan, W.K. Electronic and light-emitting properties of some polyimides based on bis (2,2′:6′,2″-terpyridine) ruthenium(II) complex. Chem. Mater. 1999, 11, 1165–1170. [Google Scholar] [CrossRef]
- Lu, C.W.; Wang, Y.; Chi, Y. Metal complexes with azolate-functionalized multidentate ligands: Tactical designs and optoelectronic applications. Chemistry 2016, 22, 17892–17908. [Google Scholar] [CrossRef]
- Choy, W.C.H.; Chan, W.K.; Yuan, Y. Recent advances in transition metal complexes and light-management engineering in organic optoelectronic devices. Adv. Mater. 2014, 26, 5368–5399. [Google Scholar] [CrossRef]
- Henwood, A.F.; Zysman-Colman, E. Lessons learned in tuning the optoelectronic properties of phosphorescent iridium(III) complexes. Chem. Commun. 2017, 53, 807–826. [Google Scholar] [CrossRef]
- Beeby, A.; Bettington, S.; Samuel, I.D.W.; Wang, Z. Tuning the emission of cyclometalated iridium complexes by simple ligand modification. J. Mater. Chem. 2003, 13, 80–83. [Google Scholar] [CrossRef]
- Baldo, M.A.; O’Brien, D.F.; Thompson, M.E.; Forrest, S.R. Excitonic singlet-triplet ratio in a semiconducting organic thin film. Phys. Rev. B 1999, 60, 14422–14428. [Google Scholar] [CrossRef]
- Brown, A.R.; Pichler, K.; Greenham, N.C.; Bradley, D.D.C.; Friend, R.H.; Holmes, A.B. Optical spectroscopy of triplet excitons and charged excitations in poly (p-phenylenevinylene) light-emitting diodes. Chem. Phys. Lett. 1993, 210, 61–66. [Google Scholar] [CrossRef]
- Gitlina, A.Y.; Ivonina, M.V.; Sizov, V.V.; Starova, G.L.; Pushkarev, A.P.; Volyniuk, D.; Tunik, S.P.; Koshevoy, I.O.; Grachova, E. A rare example of a compact heteroleptic cyclometalated iridium(III) complex demonstrating well-separated dual emission. Dalton Trans. 2018, 47, 7578–7586. [Google Scholar] [CrossRef]
- Tamura, Y.; Hisamatsu, Y.; Kazama, A.; Yoza, K.; Sato, K.; Kuroda, R.; Aoki, S. Stereo-specific synthesis of tris-heteroleptic tris-cyclometalated iridium(III) complexes via different heteroleptic halogen-bridged iridium(III) dimers and their photophysical properties. Inorg. Chem. 2018, 57, 4571–4589. [Google Scholar] [CrossRef]
- You, Y.; Cho, S.; Nam, W. Cyclometalated iridium(III) complexes for phosphorescence sensing of biological metal ions. Inorg. Chem. 2014, 53, 1804–1815. [Google Scholar] [CrossRef]
- Jabłoński, A. Efficiency of anti-Stokes fluorescence in dyes. Nature 1933, 131, 839–840. [Google Scholar] [CrossRef]
- Howarth, A.J.; Davies, D.L.; Lelj, F.; Wolf, M.O.; Patrick, B.O. Tuning the emission lifetime in bis-cyclometalated iridium(III) complexes bearing iminopyrene ligands. Inorg. Chem. 2014, 53, 11882–11889. [Google Scholar] [CrossRef]
- Ma, A.-F.; Seo, H.-J.; Jin, S.-H.; Yoon, U.C.; Hyun, M.H.; Kang, S.K.; Kim, Y.-I. Novel cationic 2-phenylpyridine-based iridium(III) complexes bearing an ancillary phosphine ligand: Synthesis, photophysics and crystal structure. Bull. Korean Chem. Soc. 2009, 30, 2754–2758. [Google Scholar]
- Adachi, C.; Baldo, M.A.; Forrest, S.R.; Lamansky, S.; Thompson, M.E.; Kwong, R.C. High-efficiency red electrophosphorescence devices. Appl. Phys. Lett. 2001, 78, 1622–1624. [Google Scholar] [CrossRef]
- Ma, D.; Tsuboi, T.; Qui, V.; Duan, L. Recent progress in ionic iridium(III) complexes for organic electronic devices. Adv. Mater. 2017, 29, 1603253. [Google Scholar] [CrossRef]
- Sibley, S.; Thompson, M.E.; Burrows, P.E.; Forrest, S.R. Electroluminescence in molecular materials. In Optoelectronic Properties of Inorganic Compounds; Roundhill, D.M., Fackler, J.P., Eds.; Plenum Press: New York, NY, USA, 1999; pp. 29–54. [Google Scholar]
- Zhang, K.Y.; Lo, K.K.-W. Synthesis, properties, and live-cell imaging studies of luminescent cyclometalated iridium(III) polypyridine complexes containing two or three biotin pendants. Inorg. Chem. 2009, 48, 6011–6025. [Google Scholar] [CrossRef]
- Byun, Y.; Lyu, Y.-Y.; Das, R.R.; Kwon, O.; Lee, T.-W. Highly efficient red electrophosphorescence from a solution-processed zwitter ionic cyclometalated iridium(III) complex. Appl. Phys. Lett. 2007, 91, 211106. [Google Scholar] [CrossRef]
- Kessler, F.; Costa, R.D.; Di Censo, D.; Scopelliti, R.; Orti, E.; Bolink, H.J.; Meier, S.; Sarfert, W.; Gratzel, M.; Nazeeruddin, Md.K.; et al. Near-UV to red-emitting charged bis-cyclometallated iridium(III) complexes for light-emitting electrochemical cells. Dalton Trans. 2012, 41, 180–191. [Google Scholar] [CrossRef]
- Hu, T.; He, L.; Duan, L.; Qiu, Y. Solid-state light-emitting electrochemical cells based on ionic iridium(III) complexes. J. Mater. Chem. 2012, 22, 4206–4215. [Google Scholar] [CrossRef]
- Bünzli, A.M.; Bolink, H.J.; Constable, E.C.; Housecroft, C.E.; Junquera-Hernández, J.M.; Neuburger, M.; Ortí, E.; Pertegás, A.; Serrano-Pérez, J.J.; Tordera, D.; et al. Thienylpyridine-based cyclometallated iridium(III) complexes and their use in solid state light-emitting electrochemical cells. Dalton Trans. 2014, 43, 738–750. [Google Scholar] [CrossRef]
- Hasan, K.; Bansal, A.K.; Samuel, I.D.W.; Roldán-Carmona, C.; Henk, J.; Bolink, H.J.; Zysman-Colman, E. Tuning the emission of cationic iridium(III) complexes towards the red through methoxy substitution of the cyclometalating Ligand. Sci. Rep. 2015, 5, 12325. [Google Scholar] [CrossRef]
- Park, Y.H.; Park, G.Y.; Kim, Y.S. Heteroleptic iridium(III) complexes with phenylpridine and diphenylquinoline derivative ligands. Mol. Cryst. Liq. Cryst. 2006, 462, 197–207. [Google Scholar] [CrossRef]
- Tsuboyama, A.; Miura, S.; Takaguchi, T.; Okada, S.; Hoshino, M.; Ueno, K. Homoleptic cyclometalated iridium complexes with highly efficient red phosphorescence and application to organic light-emitting diode. J. Am. Chem. Soc. 2003, 125, 12971–12979. [Google Scholar] [CrossRef]
- Gong, X.; Ostrowski, J.C.; Bazaw, G.C.; Moses, D.; Heeger, A.J. Red electrophosphorescence from polymer doped with iridium complex. Appl. Phys. Lett. 2002, 81, 3711–3713. [Google Scholar] [CrossRef]
- Ionkin, A.S.; Wang, Y.; Marshall, W.J.; Pertrov, V.A. Synthesis, structural characterization, and initial electroluminescent properties of bis-cycloiridiated complexes of 2-(3,5-bis(trifluoromethyl)phenyl) -4-methylpyridine. J. Org. Chem. 2007, 692, 4809–4827. [Google Scholar] [CrossRef]
- Park, G.Y.; Ha, Y. Red phosphorescent iridium(III) complexes containing 2,3-diphenyl- quinoline derivatives for OLEDs. Syn. Metals 2008, 158, 120–124. [Google Scholar] [CrossRef]
- Xiao, G.; Lei, P.; Chi, H.; Lu, Y.; Dong, Y.; Hu, Z.; Zhang, Z.; Li, X. Synthesis and luminescence of red, fluorinated iridium (III) complexes containing alkenyl benzothiazole ligand. Syn. Metals 2009, 159, 705–709. [Google Scholar] [CrossRef]
- Lee, S.J.; Park, J.S.; Song, M.; Yoon, K.J.; Kim, Y.-I.; Jin, S.H.; Seo, H. Green phosphorescent light-emitting diodes from polymer doped with iridium complex. J. Appl. Phys. Lett. 2008, 92, 193312. [Google Scholar] [CrossRef]
- Bolink, H.J.; Coronado, E.; Santamaria, S.G.; Sessolo, M.; Evans, N.; Klein, C.; Baranoff, E.; Kalyanasundaram, K.; Gratzel, M.; Nazeeruddin, M.K. Highly phosphorescent perfect green emitting iridium(III) complex for application in OLEDs. Chem. Commun. 2007, 31, 3276–3278. [Google Scholar] [CrossRef][Green Version]
- Huang, W.S.; Lin, J.T.; Lin, H.C. Green phosphorescent iridium dendrimers containing dendronized benzoimidazole-based ligands for OLEDs. Org. Electron. 2008, 9, 557–568. [Google Scholar] [CrossRef]
- Zhou, G.; Ho, C.L.; Wong, W.Y.; Ma, Q.W.; Wang, L.; Lin, Z.; Marder, T.B.; Beeby, A. Manipulating charge-transfer character with electron-withdrawing main-group moieties for the colour tuning of iridium electrophosphors. Adv. Funct. Mater. 2008, 18, 499–511. [Google Scholar] [CrossRef]
- Lee, S.J.; Park, J.S.; Yoon, K.J.; Kim, Y.-I.; Jin, S.H.; Kang, S.K.; Gal, Y.S.; Kang, S.W.; Lee, J.Y.; Kang, J.W.; et al. High-efficiency deep-blue light-emitting diodes based on phenylquinoline/carbazole-based compounds. Adv. Funct. Mater. 2008, 18, 3922–3930. [Google Scholar] [CrossRef]
- Takizawa, S.Y.; Echizen, H.; Nishida, J.; Tsuzuki, T.; Tokito, S.; Yamashita, T. Finely-tuned blue-phosphorescent iridium complexes based on 2-phenylpyridine derivatives and application to polymer organic light-emitting device. Chem. Lett. 2006, 35, 748–749. [Google Scholar] [CrossRef]
- Yang, C.H.; Cheng, Y.M.; Chi, Y.; Hsu, C.H.; Fang, F.C.; Wong, K.T.; Chou, P.T.; Chang, C.H.; Tsai, M.H.; Wu, C.C. Blue-emitting heteroleptic iridium(III) complexes suitable for high-efficiency phosphorescent OLEDs. Angew. Chem. Int. Ed. 2007, 46, 2418–2421. [Google Scholar] [CrossRef]
- Hay, P.J. Theoretical studies of the ground and excited electronic states in cyclometalated phenylpyridine Ir(III) complexes using density functional theory. J. Phys. Chem. A 2002, 106, 1634–1641. [Google Scholar] [CrossRef]
- Niu, Z.-G.; Yan, L.-P.; Wu, L.; Chen, G.-Y.; Sun, W.; Liang, X.; Zheng, Y.-X.; Li, G.-N.; Zuo, J.-L. Iridium(III) complexes adopting thienylpyridine derivatives for yellow-to-deep red OLEDs with low efficiency roll-off. Dyes Pigments 2019, 162, 863–871. [Google Scholar] [CrossRef]
- Lo, S.C.; Richards, G.J.; Markham, J.P.J.; Namdas, E.B.; Sharma, S.; Burn, P.L.; Samuel, I.D.W. A light-blue phosphorescent dendrimer for efficient solution-processed light-emitting diodes. Adv. Funct. Mater. 2005, 15, 1451–1458. [Google Scholar] [CrossRef]
- Das, R.R.; Kwon, O.; Byun, Y.; Lyu, Y.-Y. A new bis-cyclometalated iridium(III) complex as a triplet emitter in organic light emitting devices. Symp. I Org. Thin Film Electron. 2005, 871, 16–21. [Google Scholar] [CrossRef]
- Su, N.; Lu, G.-Z.; Zheng, Y.-X. Highly efficient green electroluminescence of iridium(III) complexes based on (1H-pyrazol-5-yl)pyridine derivatives ancillary ligands with low efficiency roll-off. J. Mater. Chem. C 2018, 6, 5778–5784. [Google Scholar] [CrossRef]
- Lee, K.H.; Kang, H.J.; Jaelee, S.; Seo, J.H.; Kim, Y.K.; Yoon, S.S. Acetylated phenylpyridine derived iridium(III) complexes for orange-red electrophosphorescent light-emitting diodes. Mol. Cryst. Liq. Cryst. 2011, 548, 256–264. [Google Scholar] [CrossRef]
- Lee, K.H.; Kang, H.J.; Kim, S.O.; Lee, S.J.; Seo, J.H.; Kim, Y.K.; Yoon, S.S. Red phosphorescent iridium(III) complexes containing 5-Benzoyl-2-phenylpyridine derived ligands with electron-donating/-withdrawing moieties for organic light-emitting diodes. In Proceedings of the 13th International Symposium on Advanced Display Materials and Devices (ADMD2009), Hiroshima, Japan, 23–24 July 2009. [Google Scholar]
- Lamansky, S.; Djurovich, P.; Murphy, D.; Abdel-Razzaq, F.; Kwong, R.; Tsyba, I.; Bortz, M.; Mui, B.; Bau, R.; Thompson, M.E. Synthesis and characterization of phosphorescent cyclometalated iridium complexes. Inorg. Chem. 2001, 40, 1704–1711. [Google Scholar] [CrossRef]
- Ma, X.; Liang, J.; Bai, F.; Ye, K.; Xu, J.; Zhu, D.; Bryce, M.R. New mixed-C^N ligand tris-cyclometalated Ir(III) complexes for highly efficient green organic light-emitting diodes with low efficiency roll-off. Eur. J. Inorg. Chem. 2018, 42, 4614–4621. [Google Scholar] [CrossRef]
- Adeloye, A.O.; Mphahlele, M.J.; Adekunle, A.S.; Rhyman, L.; Ramasami, P. Spectroscopic, electrochemical and DFT studies of phosphorescent homoleptic cyclometalated iridium(III) complexes based on substituted 4-fluorophenylvinyl- and 4-methoxyphenylvinylquinolines. Materials 2017, 10, 1061. [Google Scholar] [CrossRef]
- Sandee, A.J.; Williams, C.K.; Evans, N.R.; Davies, J.E.; Boothby, C.E.; Köhler, A.; Friend, R.H.; Holmes, A.B. Solution-processible conjugated electrophosphorescent polymers. J. Am. Chem. Soc. 2004, 126, 7041–7048. [Google Scholar] [CrossRef]
- Baldo, M.A.; Thompson, M.E.; Forrest, S.R. High-efficiency fluorescent organic light-emitting devices using a phosphorescent sensitizer. Nature 2000, 403, 750–753. [Google Scholar] [CrossRef]
- Baldo, M.A.; Lamansky, S.; Burrows, P.E.; Thompson, M.E.; Forrest, S.R. Very high-efficiency green organic light-emitting devices based on electrophosphorescence. Appl. Phys. Lett. 1999, 75, 4–6. [Google Scholar] [CrossRef]
- Grisorio, R.; Suranna, G.P.; Mastrorilli, P.; Mazzeo, M.; Colella, S.; Carallo, S.; Gigli, G. Aryl 5-substitution of a phenyl-pyridine based ligand as a viable way to influence the optoelectronic properties of bis-cyclometalated Ir(III) heteroleptic complexes. Dalton Trans. 2013, 42, 8939–8950. [Google Scholar] [CrossRef]
- Yeh, S.-J.; Wu, M.-F.; Chen, C.-T.; Song, Y.-H.; Chi, Y.; Ho, M.-H.; Hsu, S.-F.; Chen, C.H. New dopant and host materials for blue-light emitting phosphorescent organic electroluminescent devices. Adv. Mater. 2005, 17, 285–289. [Google Scholar] [CrossRef]
- Chiu, Y.C.; Chi, Y.; Hang, J.Y.; Yu, Y.C.; Chung, M.W.; Lee, G.H.; Chou, P.T.; Chen, C.C.; Wu, C.C.; Hsieh, H.Y. Blue to true-blue phosphorescent Ir(III) complexes bearing a non-conjugated ancillary phosphine chelate: Strategic synthesis, photophysics and device integration. ACS Appl. Mater. Interfaces 2009, 1, 433–442. [Google Scholar] [CrossRef]
- Zhang, F.; Ma, D.; Duan, L.; Qiao, J.; Dong, G.; Wang, L.; Qiu, Y. Synthesis, characterization, and photophysical and electroluminescent properties of blue-emitting cationic iridium(III) complexes bearing non-conjugated ligands. Inorg. Chem. 2014, 53, 6596–6606. [Google Scholar] [CrossRef]
- Sarma, M.; Chatterjee, T.; Bodapati, R.; Krishnakanth, K.N.; Hamad, S.; Rao, S.V.; Das, S.K. Cyclometalated iridium(III) complexes containing 4,4′-π-conjugated 2,2′-bipyridine derivatives as the ancillary ligands: Synthesis, photophysics, and computational studies. Inorg. Chem. 2016, 55, 3530–3540. [Google Scholar] [CrossRef]
- Suhr, K.J.; Bastatas, L.D.; Shen, Y.; Mitchell, L.A.; Frazier, G.A.; Taylor, D.W.; Slinker, J.D.; Holliday, B.J. Phenyl substitution of cationic bis-cyclometalated iridium(III) complexes for iTMC-LEECs. Dalton Trans. 2016, 45, 17807–17823. [Google Scholar] [CrossRef]
- Fiorini, V.; Zacchini, S.; Raiteri, P.; Mazzoni, R.; Zanotti, V.; Massi, M.; Stagni, S. Negative charged Ir(III) cyclometalated complexes containing a chelating bis-tetrazolato ligand: Synthesis, photophysics and the study of reactivity with electrophiles. Dalton Trans. 2016, 45, 12884–12896. [Google Scholar] [CrossRef]
- Martir, D.R.; Bansal, A.K.; Di Mascio, V.; Cordes, D.B.; Henwood, A.F.; Slawin, A.M.Z.; Kamer, P.C.J.; Martinez-Sarti, L.; Pertegas, A.; Bolink, H.J.; et al. Enhancing the photoluminescence quntum yields of blue-emitting cationic iridium(III) complexes bearing bisphosphine ligands. Inorg. Chem. Front. 2016, 3, 218–235. [Google Scholar] [CrossRef]
- Mydlak, M.; Bizzarri, C.; Hartmann, D.; Sarfert, W.; Schmid, G.; De Cola, L. Positively charged iridium(III) triazole derivatives as blue emitters for light-emitting electrochemical cells. Adv. Funct. Mater. 2010, 20, 1812–1821. [Google Scholar] [CrossRef]
- Fernandez-Hernandez, J.M.; Yang, C.-H.; Beltran, J.I.; Lemaur, V.; Polo, F.; Frohlich, R.; Cornil, J.; De Cola, L. Control of the mutual arrangement of cyclometalated ligands in cationic iridium(III) complexes: Synthesis, spectroscopy, and electroluminescence of the different isomers. J. Am. Chem. Soc. 2011, 133, 10543–10558. [Google Scholar] [CrossRef]
- Mills, I.N.; Porras, J.A.; Bernhard, S. Judicious design of cationic cyclometalated Ir(III) complexes for photochemical energy conversion and optoelectronics. Acc. Chem. Res. 2018, 51, 352–364. [Google Scholar] [CrossRef]
- Mamo, A.; Stefio, I.; Parisi, M.F.; Credi, A.; Venturi, M.; Di Pietro, C.; Campagna, S. Luminescent and redox-active iridium(III) cyclometalated compounds with terdentate ligands. Inorg. Chem. 1997, 36, 5947–5950. [Google Scholar] [CrossRef]
- Whittle, V.L.; Williams, J.A.G. A new class of iridium complexes suitable for stepwise incorporation into linear assemblies: Synthesis, electrochemistry, and luminescence. Inorg. Chem. 2008, 47, 6596–6607. [Google Scholar] [CrossRef]
- Obara, S.; Itabashi, M.; Okuda, F.; Tamaki, S.; Tanabe, Y.; Ishii, Y.; Nozaki, K.; Haga, M. Highly phosphorescent iridium complexes containing both tridentate bis(benzimidazolyl)-benzene or pyridine and bidentate phenylpyridine: Synthesis, photophysical properties, and theoretical study of Ir-bis(benzimidazolyl)benzene complex. Inorg. Chem. 2006, 45, 8907–8921. [Google Scholar] [CrossRef]
- Hierlinger, C.; Roisnel, T.; Cordes, D.B.; Slawin, A.M.Z.; Jacquemin, D.; Guerchais, V.; Zysman-Colman, E. An unprecedented family of luminescent iridium(III) complexes bearing a six-membered chelated tridentate C^N^C ligand. Inorg. Chem. 2017, 56, 5182–5188. [Google Scholar] [CrossRef]
- Chirdon, D.N.; Transue, W.J.; Kagalwala, H.N.; Kaur, A.; Maurer, A.B.; Pintauer, T.; Bernhard, S. [Ir(N^N^N)(C^N)L]+: A new family of luminophores combining tenability and enhanced photostability. Inorg. Chem. 2014, 53, 1487–1499. [Google Scholar] [CrossRef]
- Zhou, G.; Wong, W.Y.; Yang, X. New design tactics in OLEDs using functionalized 2-phenylpyridine-type cyclometalates of iridium(III) and platinum(II). Chem. Asian J. 2011, 6, 1706–1727. [Google Scholar] [CrossRef]
- Ying, L.; Ho, C.-L.; Wu, H.; Cao, Y.; Wong, W.-Y. White polymer light-emitting devices for solid-state lighting: Materials, devices, and recent progress. Adv. Mater. 2014, 26, 2459–2473. [Google Scholar] [CrossRef]
- Costa, R.D.; Orti, E.; Bolink, H.J.; Monti, F.; Accorsi, G.; Armaroli, N. Luminescent ionic transition-metal complexes for light-emitting electrochemical cells. Angew. Chem. Int. Ed. 2012, 51, 8178–8211. [Google Scholar] [CrossRef]
- Ladouceur, S.; Zysman-Colman, E. A comprehensive survey of cationic iridium(III) complexes bearing non-traditional ligand chelation motifs. Eur. J. Inorg. Chem. 2013, 2985–3007. [Google Scholar] [CrossRef]
- Serroni, S.; Juris, A.; Campagna, S.; Venturi, M.; Denti, G.; Balzani, V. Tetranuclear bimetallic complexes of ruthenium, osmium, rhodium, and iridium: Synthesis, absorption spectra, luminescence, and electrochemical properties. J. Am. Chem. Soc. 1994, 116, 9086–9091. [Google Scholar] [CrossRef]
- Di Marco, G.; Lanza, M.; Mamo, A.; Stefio, I.; Di Pietro, C.; Romeo, G.; Campagna, S. Luminescent mononuclear and dinuclear iridium(III) cyclometalated complexes immobilized in a polymeric matrix as solid-state oxygen sensors. Anal. Chem. 1998, 70, 5019–5023. [Google Scholar] [CrossRef]
- Bettington, S.; Tavasli, M.; Bryce, M.R.; Batsanov, A.S.; Thompson, A.L.; Al Attar, H.A.; Dias, F.B.; Monkman, A.P. Bridged diiridium complexes for clectrophosphorescent OLEDs: Synthesis, X-ray crystal structures, photophysics, and devices. J. Mater. Chem. 2006, 16, 1046–1052. [Google Scholar] [CrossRef]
- Yuan, X.; Zhang, S.; Ding, Y. Isolation, characterization and photophysical properties of a 2-(4,6-difluorophenyl)pyridyl Iridium(III) methoxidedimeric complex. Inorg. Chem. Commun. 2012, 17, 26–29. [Google Scholar]
- Wong, M.Y.; Xie, G.; Tourbillon, C.; Sandroni, M.; Cordes, D.B.; Slawin, A.M.Z.; Samuel, D.W.; Zysman-Colman, E. Formylated chloro-bridged iridium(III) dimers as OLED materials: Opening up new possibilities. Dalton Trans. 2015, 44, 8419–8432. [Google Scholar] [CrossRef]
- M’hamedi, A.; Batsanov, A.S.; Fox, M.A.; Bryce, M.R.; Abdullah, K.; Al-Attar, H.A.; Monkman, A.P. Dinuclear iridium(III) complexes of cyclometalated fluorenylpyridine ligands as phosphorescent dopants for efficient solution-processed OLEDs. J. Mater. Chem. 2012, 22, 13529–13540. [Google Scholar] [CrossRef]
- Soliman, A.A.; Fortin, D.; Harvey, P.D.; Zysman-Colman, E. Intimate electronic coupling in cationic homodimeric iridium(III) complexes. Dalton Trans. 2012, 41, 9382–9393. [Google Scholar] [CrossRef]
- Tsuboyama, A.; Takiguchi, T.; Okada, S.; Osawa, M.; Hoshino, M.; Ueno, K. A novel dinuclear complex bridged with 1,4-bis[pyridine-2-yl]benzene: Its structure and photophysical properties. Dalton Trans. 2004, 8, 1115–1116. [Google Scholar] [CrossRef]
- Tamayo, A.B.; Alleyne, B.D.; Djurovich, P.I.; Lamansky, S.; Tsyba, I.; Ho, N.N.; Bau, R.; Thomson, M.R. Synthesis and characterization of facial and meridional tris-cyclometalated Iridium(III) Complexes. J. Am. Chem. Soc. 2003, 125, 7377–7387. [Google Scholar] [CrossRef]
- Calson, G.A.; Djurovich, P.I.; Watts, R.J. Widely varying photophysical properties of ligand-nitrated bis(.mu.-chloro)tetrakis(2-phenylpyridinato)diiridium(III). Inorg. Chem. 1993, 32, 4483–4484. [Google Scholar] [CrossRef]
- Chen, X.; Okamoto, Y.; Yano, T.; Otsuki, J. Direct enantiomeric separations of tris(2-phenylpyridine) iridium(III) complexes on polysaccharide derivative-based chiral stationary phases. J. Sep. Sci. 2007, 30, 713–716. [Google Scholar] [CrossRef]
- Schaffner-Hamann, C.; von Zelewsky, A.; Barbieri, A.; Barigelletti, F.; Muller, G.; Riehl, J.P.; Neels, A. Diastereoselective formation of chiral tris-cyclometalated iridium(III) complexes: characterization and photophysical properties. J. Am. Chem. Soc. 2004, 30, 9339–9348. [Google Scholar] [CrossRef]
- Yang, L.R.; von Zelewsky, A.; Nguyen, H.P.; Muller, G.; Labat, G.; Stoeckli-Evans, H. Stereoselective synthesis of cyclometalated iridium(III) complexes: Characterization and photophysical properties. Inorg. Chim. Acta 2009, 362, 3853–3856. [Google Scholar] [CrossRef][Green Version]
- Auffrant, A.; Barbieri, A.; Barigelletti, F.; Lacour, J.; Mobian, P.; Collin, J.-P.; Sauvage, J.-P.; Ventura, B. Bimetallic iridium(III) complexes consisting of Ir(ppy)2 units (ppy = 2-phenylpyridine) and two laterally connected N^N chelates as bridge: Synthesis, separation, and photophysical properties. Inorg. Chem. 2007, 17, 6911–6919. [Google Scholar] [CrossRef]
- M’hamedi, A.; Fox, M.A.; Batsanov, A.S.; Al-Attar, H.A.; Monkman, A.P.; Bryce, M.R. Bright green PhOLEDs using cyclometalated diiridium(III) complexes with bridging oxamidato ligands as phosphorescent dopants. J. Mater. Chem. C 2017, 5, 6777–6789. [Google Scholar] [CrossRef]
- Auffrant, A.; Barbieri, F.B.; Collin, J.-P.; Flamigni, L.; Sabatini, C.; Sauvage, J.-P. Dinuclear iridium(III) complexes consisting of back-toback tpy-(ph)n-tpy bridging ligands (n = 0,1,2) and terminal cyclometalating tridentate N-C-N ligands. Inorg. Chem. 2006, 45, 10990–10997. [Google Scholar] [CrossRef]
- Costa, R.D.; Fernandez, G.; Sanchez, L.; Martin, N.; Orti, E.; Bolink, H.J. Dumbbell-shaped dinuclear iridium complexs and their application to light-emitting electrochemical cells. Chem. Eur. J. 2010, 16, 9855–9863. [Google Scholar] [CrossRef]
- Yang, X.; Xu, X.; Dang, J.; Zhou, G.; Ho, C.-L.; Wong, W.-Y. From mononuclear to dinuclear iridium(III) complex: Effective tuning of the optoelectronic characteristics for organic light-emitting diodes. Inorg. Chem. 2016, 55, 1720–1727. [Google Scholar] [CrossRef]
- Congrave, D.G.; Batsanov, A.S.; Bryce, M.R. Highly luminescent 2-phenylpyridine-free diiridium complexes with bulky 1,2-diarylimidazole cyclometalating ligands. Dalton Trans. 2018, 47, 16524–16533. [Google Scholar] [CrossRef]
- Daniel, R.E.; Culham, S.; Hunter, M.; Durrant, M.C.; Probert, M.R.; Clegg, W.; Williams, J.A.G.; Kozhevnikov, V.N. When two are better than one: Bright phosphorescence from non-stereogenic dinuclear iridium(III) complexes. Dalton Trans. 2016, 45, 6949–6962. [Google Scholar] [CrossRef]
- An, B.-K.; Kwon, S.-K.; Jung, S.-D.; Park, Y. Enhanced emission and its switching in fluorescent organic nanoparticles. J. Am. Chem. Soc. 2002, 124, 14410–14415. [Google Scholar] [CrossRef]
- Li, G.; Wu, Y.; Shan, G.; Che, W.; Zhu, D.; Song, B.; Yan, L.; Su, Z.; Bryce, M.R. New ionic dinuclear Ir(III) schiff base complexes with aggregation-induced phosphorescent emission (AIPE). Chem. Commun. 2014, 50, 6977–6980. [Google Scholar] [CrossRef]
- Neve, F.; Crispini, A.; Serroni, S.; Loiseau, F.; Campagna, S. Novel dinuclear luminescent compounds based on iridium(III) cyclometalated chromophores and containing bridging ligands with ester-linked chelating sites. Inorg. Chem. 2011, 40, 1093–1101. [Google Scholar] [CrossRef]
- Nast, R. Coordination chemistry of metal alkynyl compounds. Coord. Chem. Rev. 1982, 47, 89–124. [Google Scholar] [CrossRef]
- Juris, A.; Balzani, V.; Barigelletti, F.; Campagna, S.; Belser, P.; von Zelewsky, A. Ru(II) polypyridine complexes, photophysics, photochemistry, electrochemistry and chemiluminescence. Coord. Chem. Rev. 1988, 84, 85–277. [Google Scholar] [CrossRef]































© 2019 by the author. Licensee MDPI, Basel, Switzerland. This article is an open access article distributed under the terms and conditions of the Creative Commons Attribution (CC BY) license (http://creativecommons.org/licenses/by/4.0/).
Share and Cite
Adeloye, A.O. Exploration of the Structural and Photophysical Characteristics of Mono- and Binuclear Ir(III) Cyclometalated Complexes for Optoelectronic Applications. Materials 2019, 12, 2734. https://doi.org/10.3390/ma12172734
Adeloye AO. Exploration of the Structural and Photophysical Characteristics of Mono- and Binuclear Ir(III) Cyclometalated Complexes for Optoelectronic Applications. Materials. 2019; 12(17):2734. https://doi.org/10.3390/ma12172734
Chicago/Turabian StyleAdeloye, Adewale Olufunsho. 2019. "Exploration of the Structural and Photophysical Characteristics of Mono- and Binuclear Ir(III) Cyclometalated Complexes for Optoelectronic Applications" Materials 12, no. 17: 2734. https://doi.org/10.3390/ma12172734
APA StyleAdeloye, A. O. (2019). Exploration of the Structural and Photophysical Characteristics of Mono- and Binuclear Ir(III) Cyclometalated Complexes for Optoelectronic Applications. Materials, 12(17), 2734. https://doi.org/10.3390/ma12172734

