Magnetoresistance of Ultralow-Hole-Density Monolayer Epitaxial Graphene Grown on SiC
Abstract
1. Introduction
2. Materials and Methods
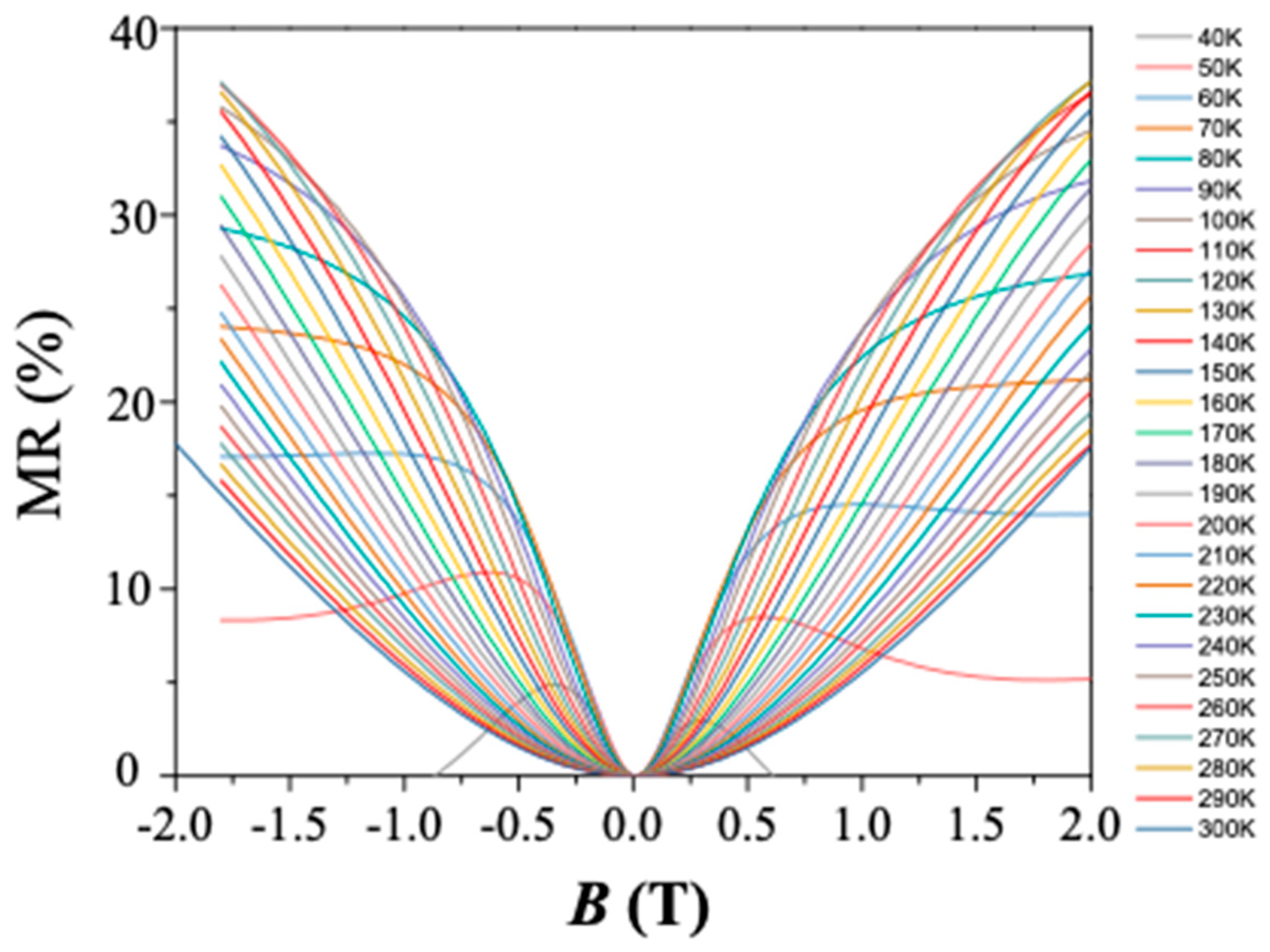
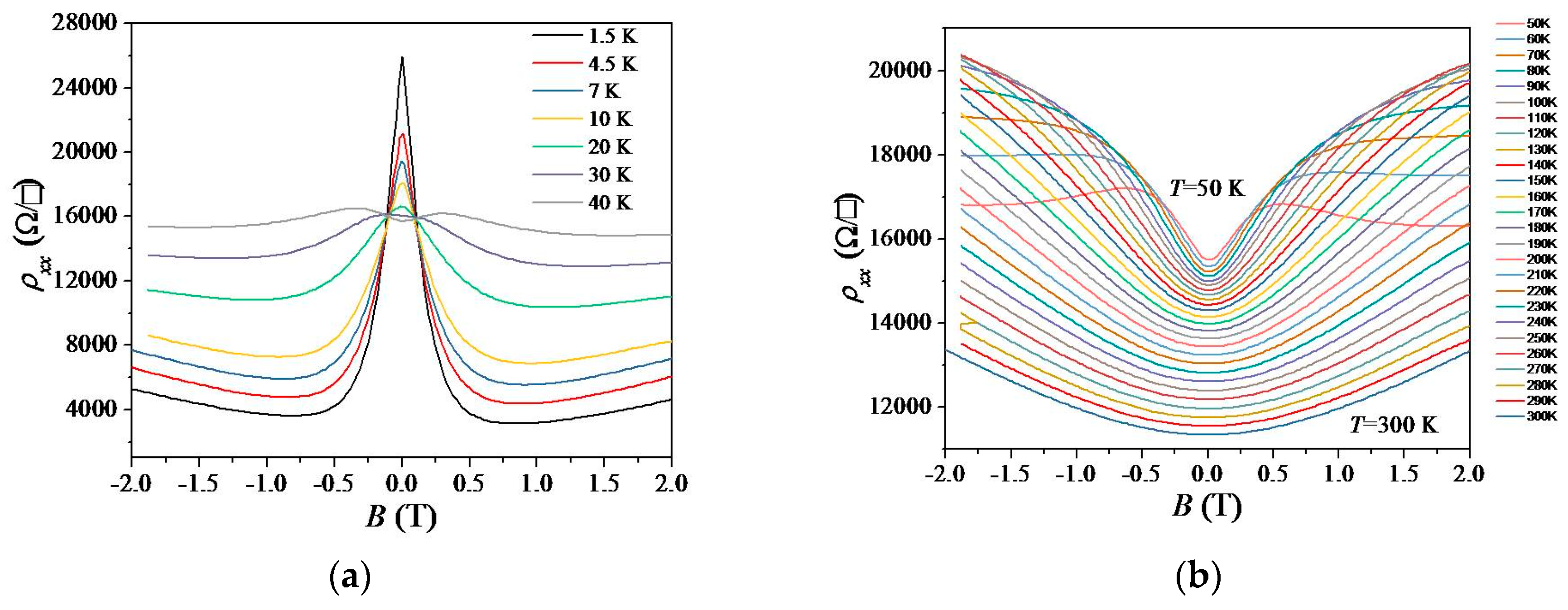
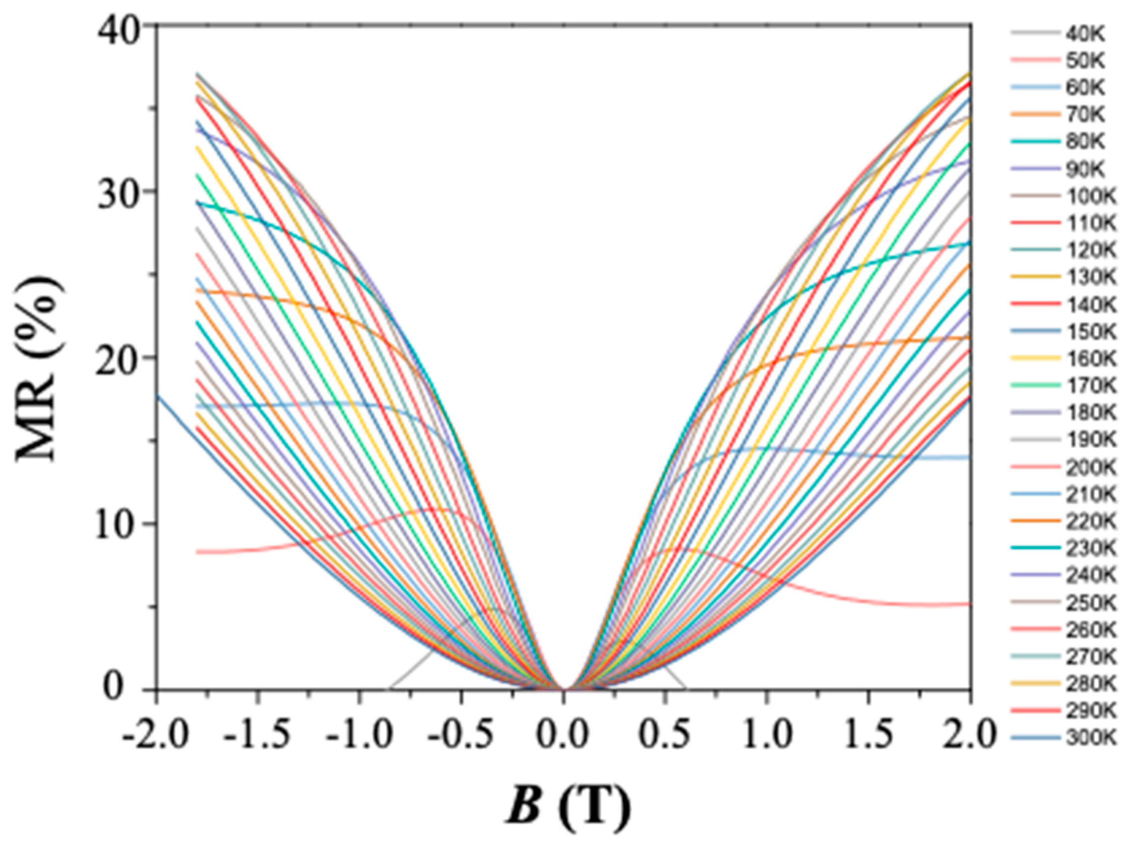
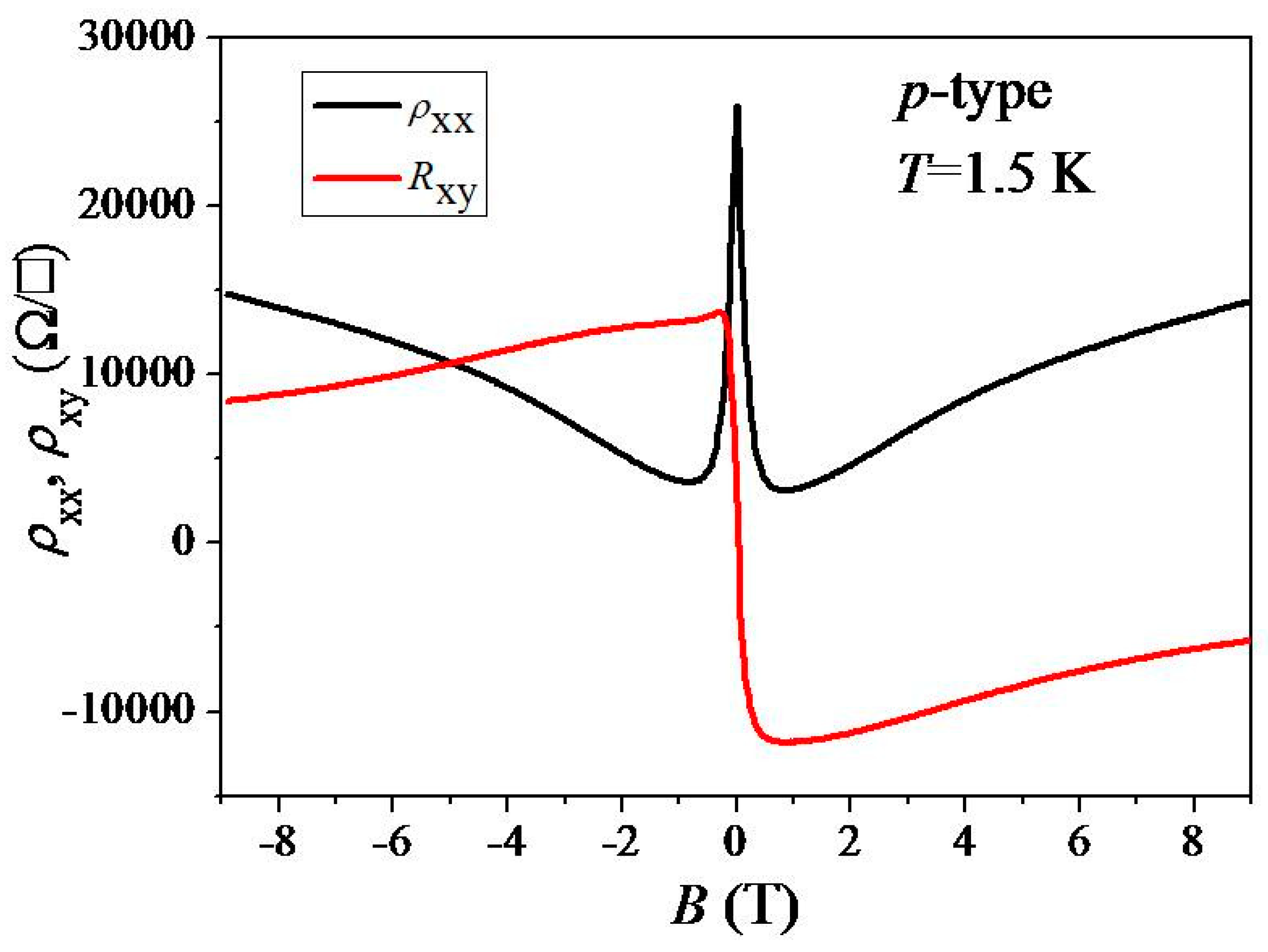
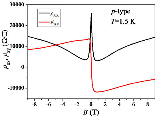
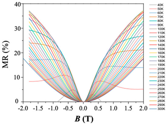
3. Experimental Results
4. Conclusions
Author Contributions
Funding
Conflicts of Interest
References
- Kamiyama, S.; Iwaya, M.; Takeuchi, T.; Akasaki, I.; Yakimova, R.; Syvajarvi, M. White light-emitting diode based on fluorescent SiC. Thin Solid Films 2012, 522, 23–25. [Google Scholar] [CrossRef]
- Tripathi, S.; Upadhyay, C.; Nagaraj, C.P.; Venkatesan, A.; Devan, K. Effect of electron and proton irradiation on the electrical characteristics of the SiC-based fast neutron detectors. J. Instrum. 2019, 14, P02002. [Google Scholar] [CrossRef]
- Xun, Q.; Xun, B.Y.; Li, Z.X.; Wang, P.L.; Cai, Z.D. Application of SiC power electronic devices in secondary power source for aircraft. Renew. Sustain. Energy Rev. 2017, 70, 1336–1342. [Google Scholar] [CrossRef]
- Liu, M.; Li, K.; Kong, F.M.; Zhao, J.; Zhao, S.L.; Meng, H.T. Analysis of the light-extraction efficiency of SiC substrate-based flip-chip vertical light-emitting diodes with embedded photonic crystals. Jpn. J. Appl. Phys. 2016, 11, 112101. [Google Scholar] [CrossRef]
- Berger, C.; Song, Z.M.; Li, T.B.; Li, X.B.; Ogbazghi, A.Y.; Feng, R.; Dai, Z.T.; Marchenkov, A.N.; Conrad, E.H.; First, P.N.; et al. Ultrathin epitaxial graphite: 2D electron gas properties and a route toward graphene-based nanoelectronics. J. Phys. Chem. B 2004, 108, 19912–19916. [Google Scholar] [CrossRef]
- Wu, Y.-F.; Kapolnek, D.; Ibbetson, J.P.; Parikh, P.; Keller, B.P.; Mishra, U.K. Very-high power density AlGaN/GaN HEMTs. IEEE Trans. Electron Devices 2001, 48, 586–590. [Google Scholar]
- Novoselov, K.S.; Geim, A.K.; Morozov, S.V.; Jiang, D.; Katsnelson, M.I.; Grigorieva, I.V.; Dubonos, S.V.; Firsov, A.A. Two-dimensional gas of massless Dirac fermions in graphene. Nature 2005, 438, 197–200. [Google Scholar] [CrossRef] [PubMed]
- Zhang, Y.; Tan, Y.W.; Stormer, H.L.; Kim, P. Experimental observation of the quantum Hall effect and Berry’s phase in graphene. Nature 2005, 438, 201–204. [Google Scholar] [CrossRef] [PubMed]
- Geim, A.K.; Novoselov, K.S. The rise of graphene. Nat. Mater. 2007, 6, 183–191. [Google Scholar] [CrossRef]
- Novoselov, K.S.; Geim, A.K.; Morozov, S.V.; Jiang, D.; Zhang, Y.; Dubonos, S.V.; Grigorieva, I.V.; Firsov, A.A. Electric field effect in atomically thin carbon films. Science 2004, 306, 666–669. [Google Scholar] [CrossRef]
- Li, X.; Cai, W.; An, J.; Kim, S.; Nah, J.; Yang, D.; Piner, R.; Velamakanni, A.; Jung, I.; Tutuc, E.; et al. Large-area synthesis of high-quality and uniform graphene films on copper foils. Science 2009, 324, 1312–1314. [Google Scholar] [CrossRef] [PubMed]
- Reina, A.; Jia, X.; Ho, J.; Nezich, D.; Son, H.; Bulovic, V.; Dresselhaus, M.S.; Kong, J. Large area, few-layer graphene films on arbitrary substrates by chemical vapor deposition. Nano Lett. 2009, 9, 30–35. [Google Scholar] [CrossRef] [PubMed]
- Huang, W.-H.; Lin, C.-H.; Lin, B.-S.; Sun, C.-L. Low-temperature CVD graphene nanostructures on Cu and their corrosion properties. Materials 2018, 11, 1989. [Google Scholar] [CrossRef] [PubMed]
- Berger, C.; Song, Z.; Li, X.; Wu, X.; Brown, N.; Naud, C.; Mayou, D.; Li, T.; Hass, J.; Marchenkov, A.N.; et al. Electronic confinement and coherence in patterned epitaxial graphene. Science 2006, 312, 1191–1196. [Google Scholar] [CrossRef] [PubMed]
- Tzalenchuk, A.; Lara-Avila, S.; Kalaboukhov, A.; Paolillo, S.; Syväjärvi, M.; Yakimova, R.; Kazakova, O.; Janssen, T.J.B.M.; Fal’ko, V.; Kubatkin, S. Towards a quantum resistance standard based on epitaxial graphene. Nat. Nanotechnol. 2010, 5, 186–189. [Google Scholar] [CrossRef] [PubMed]
- Car, S.; Liu, Z.; Zhong, N.; Liu, S.; Liu, X. Effect of growth pressure on epitaxial graphene grown on 4H-SiC substrates by using ethene chemical vapor deposition. Materials 2015, 8, 5586–5596. [Google Scholar]
- Yang, Y.; Huang, L.-I.; Fukuyama, Y.; Liu, F.-H.; Real, M.A.; Barbara, P.; Liang, C.-T.; Newell, D.B.; Elmquist, R.E. Low carrier density epitaxial graphene devices on SiC. Small 2015, 11, 90–95. [Google Scholar] [CrossRef] [PubMed]
- Lin, Y.M.; Dimitrakopoulos, C.; Jenkins, K.A.; Farmer, D.B.; Chiu, H.Y.; Grill, A.; Avouris, P. 100-GHz transistors from wafer-scale epitaxial graphene. Science 2010, 327, 622. [Google Scholar] [CrossRef]
- Ribeiro-Palau, R.; Lafont, F.; Brun-Picard, J.; Kazazis, D.; Michon, A.; Cheynis, F.; Couturaud, O.; Consejo, C.; Jouault, B.; Poirier, W.; et al. Quantum Hall resistance standard in graphene devices under relaxed experimental conditions. Nat. Nanotechnol. 2015, 10, 965–971. [Google Scholar] [CrossRef]
- Yang, Y.; Cheng, G.; Mende, P.; Calizo, I.G.; Feenstra, R.M.; Chuang, C.; Liu, C.-W.; Liu, C.-I.; Jones, G.R.; Walker, A.R.H.; et al. Epitaxial graphene homogeneity and quantum Hall effect in millimeter-scale devices. Carbon 2017, 115, 229–236. [Google Scholar] [CrossRef]
- Chuang, C.; Yang, Y.; Elmquist, E.R.; Liang, C.-T. Linear magnetoresistance in monolayer epitaxial graphene grown on SiC. Mater. Lett. 2016, 174, 118–121. [Google Scholar] [CrossRef]
- Pallecchi, E.; Ridene, M.; Kazazis, D.; Lafont, F.; Schopfer, F.; Poirier, W.; Goerbig, M.O.; Mailly, D.; Ouerghi, A. Insulating to relativistic quantum Hall transition in disordered graphene. Sci. Rep. 2013, 3, 1791. [Google Scholar] [CrossRef]
- Huang, L.-I.; Yang, Y.; Elmquist, R.E.; Lo, S.-T.; Liu, F.-H.; Liang, C.-T. Insulator-quantum Hall transition in monolayer epitaxial graphene. RSC Adv. 2016, 6, 71977–71982. [Google Scholar] [CrossRef] [PubMed]
- Liu, F.-H.; Hsu, C.-S.; Chuang, C.; Woo, T.-P.; Huang, L.-I.; Lo, S.-T.; Fukuyama, Y.; Yang, Y.; Elmquist, E.R.; Liang, C.-T. Dirac fermion heating, current scaling, and direct insulator-quantum Hall effect transition in multilayer epitaxial graphene. Nano. Rev. Lett. 2013, 8, 360. [Google Scholar] [CrossRef] [PubMed]
- Chuang, C.; Lin, L.-H.; Aoki, N.; Ouchi, T.; Mahjoub, A.M.; Woo, T.-P.; Bird, J.P.; Ochiai, Y.; Lo, S.-T.; Liang, C.-T. Experimental evidence for direct insulator-quantum Hall transition in multi-layer graphene. Nano. Rev. Lett. 2013, 8, 214. [Google Scholar] [CrossRef] [PubMed]
- Liu, C.-W.; Chuang, C.; Yang, Y.; Elmquist, R.E.; Ho, Y.-J.; Lee, H.-Y.; Liang, C.-T. Temperature dependence of electron density and electron-electron interactions in monolayer epitaxial graphene grown on SiC. 2D Mater. 2017, 4, 025007. [Google Scholar] [CrossRef] [PubMed]
- Chuang, C.; Woo, T.-P.; Mahjoub, A.M.; Ouchi, T.; Hsu, C.-S.; Chin, C.-P.; Aoki, N.; Lin, L.-H.; Ochiai, Y.; Liang, C.-T. Weak localization and universal conductance fluctuations in multi-layer graphene. Curr. Appl. Phys. 2014, 14, 108. [Google Scholar] [CrossRef]
- Schumann, T.; Friedland, K.-J.; Oliveria, M.H., Jr.; Tahraoui, A.; Lopes, M.J.; Riechert, H. Anisotropic quantum Hall effect in epitaxial graphene on stepped SiC surfaces. Phy. Rev. B 2012, 85, 235402. [Google Scholar] [CrossRef]
- Giannazzo, F.; Deretzis, I.; La Magna, A.; Roccaforte, F.; Yakimova, R. Electronic transport at monolayer-bilayer junctions in epitaxial graphene on SiC. Phy. Rev. B 2012, 86, 235422. [Google Scholar] [CrossRef]
- Nicotra, G.; Ramasse, Q.M.; Deretzis, I.; La Magna, A.; Spinella, C.; Giannazzo, F. Delaminated Graphene at Silicon Carbide Facets: Atomic Scale Imaging and Spectroscopy. ACS Nano 2013, 7, 3045. [Google Scholar] [CrossRef]
- Ristein, J.; Mammadov, S.; Seyller, T. Origin of Doping in Quasi-Free-Standing Graphene on Silicon Carbide. Phys. Rev. Lett. 2012, 108, 246104. [Google Scholar] [CrossRef] [PubMed]
- Chua, C.; Connolly, M.; Lartsev, A.; Yager, T.; Lara-Avila, S.; Kubatkin, S.; Kopylov, S.; Fal’ko, V.; Yakimova, R.; Pearce, R.; et al. Quantum Hall effect and Quantum Point Contact in Bilayer-patched Epitaxial Graphene. Nano Lett. 2014, 14, 3369. [Google Scholar] [CrossRef] [PubMed]
- Connolly, M.R.; Chiou, K.L.; Smith, C.G.; Anderson, D.; Jones, G.A.C.; Lombardo, A.; Fasoli, A.; Ferrari, A.C. Scanning gate microscopy of current-annealed single layer graphene. Appl. Phys. Lett. 2010, 96, 113501. [Google Scholar] [CrossRef]
- Chen, J.-H.; Lin, J.-Y.; Tsai, J.-K.; Park, H.; Kim, G.-H.; Ahn, J.; Cho, H.-I.; Lee, E.-J.; Lee, J.-H.; Liang, C.-T.; et al. Experimental evidence for Drude-Boltzmann-like transport in a two-dimensional electron gas in an AlGaN/GaN heterostructure. J. Korean Phys. Soc. 2006, 48, 1539–1543. [Google Scholar] [CrossRef]
- Juang, J.R.; Huang, T.-Y.; Chen, T.-M.; Lin, M.-G.; Kim, G.-H.; Lee, Y.; Liang, C.-T.; Hang, D.R.; Chen, Y.F.; Chyi, J.-I. Transport in a gated Al0.18Ga0.82N/GaN electron system. J. Appl. Phys. 2003, 94, 3181–3184. [Google Scholar] [CrossRef]
- Melinda, E.; Han, Y.; Brant, J.C.; Kim, P. Electron transport in disordered graphene nanoribbons. Phys. Rev. Lett. 2010, 104, 056801. [Google Scholar]
- Mott, N.F. Conduction in non-crystalline materials III. Localized states in a pseudogap and near extremities of conduction and valence bands. Philos. Mag. A J. Theor. Exp. Appl. Phys. 1968, 19, 835–852. [Google Scholar]
- Efros, A.L.; Shklovskii, B.I. Coulomb gap and low temperature conductivity of disordered systems. J. Phys. C: Solid State Phys. 1975, 8, L49–L51. [Google Scholar] [CrossRef]
- Uren, M.J.; Davies, R.A.; Kaveh, M.; Pepper, M. Logarithmic corrections to two-dimensional transport in silicon inversion layers. J. Phys. C: Solid State Phys. 1981, 14, 5737–5762. [Google Scholar] [CrossRef]
- McCann, E.; Kechedzhi, K.; Fal’ko, V.I.; Suzuura, H.; Ando, T.; Altshuler, B.L. Weak-localization magnetoresistance and valley symmetry in graphene. Phys. Rev. Lett. 2006, 97, 146805. [Google Scholar] [CrossRef]
- Hughes, R.J.F.; Nicholls, J.T.; Frost, J.E.F.; Linfield, E.H.; Pepper, M.; Ford, C.J.B.; Ritchie, D.A.; Jones, G.A.C.; Kogan, E.; Kaveh, M. Magnetic-field-induced insulator-quantum Hall-insulator transition in a disordered two-dimensional electron gas. J. Phys. Condens. Matter 1994, 6, 4763–4770. [Google Scholar] [CrossRef]
- Parish, M.M.; Littlewood, P.B. Non-saturating magnetoresistance in heavily disordered semiconductors. Nature 2003, 426, 162–165. [Google Scholar] [CrossRef] [PubMed]
- Chuang, C.; Liang, C.-T.; Kim, G.-H.; Elmquist, R.E.; Yang, Y.; Hsieh, Y.P.; Patel, K.D.; Watanabe, K.; Taniguchi, T.; Aoki, N. Large, non-saturating magnetoresistance in single layer chemical vapor deposition graphene with an h-BN capping layer. Carbon 2018, 136, 211–216. [Google Scholar] [CrossRef]
- Chuang, C.; Yang, Y.; Pookpanratana, S.; Hacker, C.A.; Liang, C.-T.; Elmquist, R.E. Chemical-doping-driven crossover from graphene to “ordinary metal” in epitaxial graphene grown on SiC. Nanoscale 2017, 9, 11537–11544. [Google Scholar] [CrossRef] [PubMed]







© 2019 by the authors. Licensee MDPI, Basel, Switzerland. This article is an open access article distributed under the terms and conditions of the Creative Commons Attribution (CC BY) license (http://creativecommons.org/licenses/by/4.0/).
Share and Cite
Chuang, C.; Liu, C.-W.; Yang, Y.; Syong, W.-R.; Liang, C.-T.; Elmquist, R.E. Magnetoresistance of Ultralow-Hole-Density Monolayer Epitaxial Graphene Grown on SiC. Materials 2019, 12, 2696. https://doi.org/10.3390/ma12172696
Chuang C, Liu C-W, Yang Y, Syong W-R, Liang C-T, Elmquist RE. Magnetoresistance of Ultralow-Hole-Density Monolayer Epitaxial Graphene Grown on SiC. Materials. 2019; 12(17):2696. https://doi.org/10.3390/ma12172696
Chicago/Turabian StyleChuang, Chiashain, Chieh-Wen Liu, Yanfei Yang, Wei-Ren Syong, Chi-Te Liang, and Randolph E. Elmquist. 2019. "Magnetoresistance of Ultralow-Hole-Density Monolayer Epitaxial Graphene Grown on SiC" Materials 12, no. 17: 2696. https://doi.org/10.3390/ma12172696
APA StyleChuang, C., Liu, C.-W., Yang, Y., Syong, W.-R., Liang, C.-T., & Elmquist, R. E. (2019). Magnetoresistance of Ultralow-Hole-Density Monolayer Epitaxial Graphene Grown on SiC. Materials, 12(17), 2696. https://doi.org/10.3390/ma12172696
