Mechanical Properties of High-Performance Steel-Fibre-Reinforced Concrete and Its Application in Underground Mine Engineering
Abstract
1. Introduction
2. Experimental Methods
2.1. Mix Proportion
2.1.1. Raw Materials
2.1.2. Mix Proportion Test
2.2. Mechanical Properties’ Test
2.2.1. Specimens Preparation
2.2.2. Test Method and Equipment
2.3. Model Test of Shaft Lining Structure
2.3.1. Model Test Design
2.3.2. Preparation of Model Specimens
2.3.3. Equipment and Test Methods
3. Results and Discussion
3.1. Compressive Strength Test
3.2. Flexural Strength Test
3.3. Split Tensile Strength Test
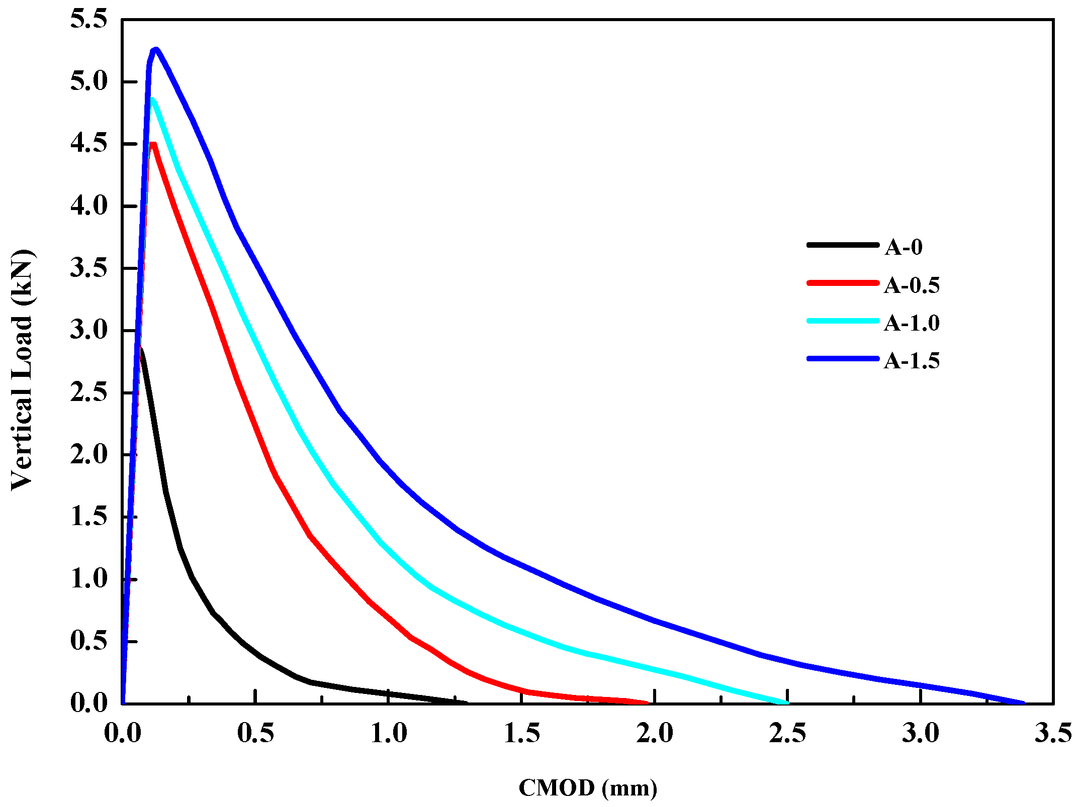
3.4. Bending Test
3.5. Wedge Splitting Test
3.6. Ultimate Bearing Capacity of Shaft Lining Structure
3.6.1. Deformation of Model
3.6.2. Failure Form of the Model
3.6.3. Stress Distribution of the Model
4. Engineering Application
5. Conclusions
- (1)
- The mechanical property tests showed that the compressive, flexural, and tensile strengths of HPSFRC were 9%, 71%, and 53% higher than those of ordinary concrete, respectively. Adding steel fiber can evidently improve the tensile and flexural strengths of ordinary concrete but has little effect on compressive strength.
- (2)
- With the increase of the steel fiber content, the fracture toughness and fracture energy of HPSFRC increased. When the steel fiber content reached 1.5%, the fracture toughness reached 0.42 which was 75% higher than that of the ordinary concrete, and the fracture energy reached 2003.9 N/m which was 16 times that of the ordinary concrete. The improvement effect was remarkable. Steel fibers in HPSFRC have shown excellent crack resistance in various tests, and HPSFRC shows remarkable ductility characteristics.
- (3)
- The model test showed that adding a certain amount of steel fiber to the concrete of the shaft lining structure had a significant effect on improving the bearing capacity of the shaft lining, even if resisting non-uniform loads.
- (4)
- In the shaft lining model test under a non-uniform load, the stress and strain of the outer surface in the direction of a large load and the inner surface in the direction of a small load were evidently larger than those in other directions or surfaces. Further, the tensile characteristics appeared in the inner surface of the large load at the initial stage of loading, which posed a hidden danger to the failure of the shaft lining model in the later stage.
- (5)
- Due to the poor ductility of ordinary concrete, the fracture of the shaft lining model of ordinary concrete was sudden and without any warning. However, the steel fiber in the HPSFRC shaft lining improved the brittleness and ductility of the concrete. When the shaft lining lost its ultimate bearing capacity, the fracture surface was still connected by steel fibers. Therefore, under complex engineering geological conditions, HPSFRC can greatly delay deformation, even if the lining cracks. The characteristics of HPSFRC can greatly improve the safety of shaft lining structures.
- (6)
- It has been proved by practice that the strain of HPSFRC tends to be stable, and the strain value is far less than the failure value of its material. The structure operates safely due to HPSFRC remaining intact and reliable. It avoids damage to the shaft lining, as with other deep wells under complex conditions with faults or high crustal stress. Thus, this new type of support structure has definite application value in deep wells.
Author Contributions
Funding
Conflicts of Interest
Nomenclature
| A0 | Envelope area of F-δ curve or F-CMOD curve |
| a0 | Notch depth of beam |
| ac | Critical fracture length |
| CMOD | Crack opening displacement |
| CMODc | Critical value of crack opening displacement |
| ci | Reciprocal slope of the straight line segment in the F-CMOD curve ascent |
| E | Modulus of elasticity |
| F | Load |
| FV | Vertical load |
| FVmax | Peak vertical load |
| FH | Horizontal load. |
| FHmax | Peak horizontal load |
| fc | Compressive strength |
| ff | Flexural strength |
| ft | Tensile strength |
| Gf | Fracture energy |
| h | Height of specimen |
| hr | Ligament height |
| h0 | Thickness of the thin steel plate of the clip extensometer |
| KIC | Fracture toughness |
| L | Span between two supports of beam |
| M | Torque |
| Mmax | Sum of maximum load and bending moment produced by the dead weight of beam |
| m | Dead weight of support section of beam |
| m0 | Dead weight of auxiliary device for loading |
| t | Thickness |
| tr | Ligament thickness |
| Y | Shape parameter |
| y | Distance from the ligament center to the horizontal loading point |
| δ | Distance from the ligament center to the horizontal loading point |
| δmax | Deflection of beam |
References
- He, M.C.; Xie, H.P.; Peng, S.P.; Jiang, Y.D. Study on rock mechanics in deep mining engineering. Chin. J. Rock Mech. Eng. 2005, 24, 2803–2813. [Google Scholar]
- Kang, H.P. Support technologies for deep and complex roadways in underground coal mines. Int. J. Coal Sci. Technol. 2014, 1, 261–277. [Google Scholar] [CrossRef]
- Yao, Z.S.; Cheng, H.; Ju, X.B. Research and application of high strength steel fiber concrete compound shaft lining with inner steel plate in deep alluvium shaft repair. J. China Coal Soc. 2017, 42, 2295–2301. [Google Scholar]
- Yao, Z.S.; Cheng, H.; Yang, Z.H.; Zou, A.G. Failure mechanism, analysis and repair of mine ventilation shaft lining in Qujiang. Coal Sci. Technol. 2002, 30, 12–14. [Google Scholar]
- Gao, J.M.; Sun, W.; Morino, K. Mechanical properties of steel fiber-reinforced, high-strength, lightweight concrete. Cem. Concr. Compos. 1996, 18, 307–313. [Google Scholar] [CrossRef]
- Wang, Q.S.; Li, X.B.; Zhao, G.Y.; Shao, P.; Yao, J.R. Experiment on mechanical properties of steel fiber reinforced concrete and application in deep underground engineering. J. China Univ. Min. Technol. 2008, 18, 64–66. [Google Scholar] [CrossRef]
- Gao, D.Y.; Zhang, L.J.; Nokken, M. Mechanical behavior of recycled coarse aggregate concrete reinforced with steel fibers under direct shear. Cem. Concr. Compos. 2017, 79, 1–8. [Google Scholar] [CrossRef]
- Standard for Soil Test Method; Chinese National Standard GT/T50123-1999; China Planning Press: Beijing, China, 1999.
- Ding, Y.; Bai, Y.L. Fracture properties and softening curves of steel fiber-reinforced slag-based geo-polymer mortar and concrete. Materials 2018, 11, 1445. [Google Scholar] [CrossRef] [PubMed]
- Standard for Test Method of Mechanical Properties in Ordinary Concrete; Chinese National Standard GT/B50081-2002; China Architecture and Building Press: Beijing, China, 2003.
- Technical Specification for Application of Fiber Reinforced Concrete; Chinese Industry Standard JG/T221-2010; China Architecture and Building Press: Beijing, China, 2010.
- Segura-Castillo, L.; Monte, R.; Figueiredo, A.D. Characterization of the tensile constitutive behavior of fiber-reinforced concrete: A new configuration for the wedge splitting Test. Constr. Build. Mater. 2018, 192, 731–741. [Google Scholar] [CrossRef]
- Wei, X.X.; Lai, Y.M. Principle and Application of Similarity Method; Lan Zhou University Press: Lan Zhou, China, 2001. [Google Scholar]
- Code for Design of Coal Mine Shaft and Chamber; Chinese National Standard GB50384-2007; China Planning Press: Beijing, China, 2007.
- Yazıcı, Ş.; İnan, G.; Tabak, V. Effect of aspect ratio and volume fraction of steel fiber on the mechanical properties of SFRC. Constr. Build. Mater. 2007, 21, 1250–1253. [Google Scholar] [CrossRef]
- Liu, C.; Chen, H.N.; Zhao, Y.B.; Sun, J.M.; Cai, Q. Experimental study on fracture properties of concrete based on three point bending tests. Bull. Chin. Ceram. Soc. 2016, 35, 4191–4211. [Google Scholar]
- Yao, D.; Dai, J.G.; Shi, C.J. Fracture properties of alkali-activated slag and ordinary Portland cement concrete and mortar. Constr. Build. Mater. 2018, 165, 310–320. [Google Scholar]
- Grégoire, D.; Rojas-Solano, L.B.; Pijaudier-Cabot, G.; Pijaudier-Cabot, G. Failure and size effect for notched and unnotched concrete beams. Int. J. Numer. Anal. Methods Geomech. 2013, 37, 1434–1452. [Google Scholar]
- Sucharda, O.; Pajak, M.; Tomasz, P.; Petr, K. Identification of mechanical and fracture properties of self-compacting concrete beams with different types of steel fibres using inverse analysis. Constr. Build. Mater. 2017, 138, 263–275. [Google Scholar] [CrossRef]
- Xu, S.L. The calculation approaches of Double-K fracture parameters of concrete and a possible coding standard test method for determining them. J. China Three Gorges Univ. (Nat. Sci.) 2002, 24, 1–8. [Google Scholar]
- Wu, Z.M.; Zhao, G.P.; Huang, C.K. Fracture toughness and fracture energy for different concrete strength. J. Dalian Univ. Technol. 1993, 33, 73–77. [Google Scholar]
- Code for Design of Concrete Structure; Chinese National Standard GT/B50010-2010; China Architecture and Building Press: Beijing, China, 2010.
- Cheng, Q.G. Theory and Application of Steel Fiber Concrete; China Railway Press: Beijing, China, 1999. [Google Scholar]
- Shen, M.R.; Chen, J.F. Rock Mechanics; Tongji University Press: Shanghai, China, 2013. [Google Scholar]
- Yang, J.J.; Liu, Q.L.; Zhen, G.S.; Hu, H.J. Shaft Lining Structure Model Test. Coal Sci. Technol. 1996, 24, 14–16. [Google Scholar]

















| Length (mm) | Equivalent Diameter (mm) | Length–Diameter Ratio | Density (kg/m3) | Tensile Strength (MPa) |
|---|---|---|---|---|
| 60 | 0.90 | ≥65 | 7800 | ≥1000 |
| Cement | Sand | Gravel | Water | Plasticizer | Admixture | Slag |
|---|---|---|---|---|---|---|
| 400 | 667.2 | 1088.5 | 164.3 | 7.2 | 105 | 25 |
| External Diameter (mm) | Internal Diameter (mm) | Thickness (mm) | Height (mm) | Reinforcement Ratio (%) |
|---|---|---|---|---|
| 3200 | 2666.6 | 266.7 | 210 | 0.56 |
| Specimen Group | Compressive Strength (MPa) | Relative Increase (%) |
|---|---|---|
| A-0 | 64.3 | 0 |
| A-0.5 | 69.6 | 8.2 |
| A-1.0 | 69.3 | 7.8 |
| A-1.5 | 70.0 | 8.8 |
| Specimen Group | Flexural Strength (MPa) | Relative Increase (%) |
|---|---|---|
| A-0 | 6.1 | 0 |
| A-0.5 | 7.7 | 26.2 |
| A-1.0 | 9.2 | 50.8 |
| A-1.5 | 10.4 | 70.5 |
| Specimen Group | Tensile Strength (MPa) | Relative Increase (%) |
|---|---|---|
| A-0 | 3.67 | 0 |
| A-0.5 | 4.93 | 34.3 |
| A-1.0 | 5.23 | 42.5 |
| A-1.5 | 5.62 | 53.1 |
| Specimen Group | Ultimate Bearing Load (kN) | Relative Increase (%) | Peak Deflection (mm) | KIC | Gf (N/m) |
|---|---|---|---|---|---|
| A-0 | 9.6 | 0 | 0.1300 | 0.24 | 126.3 |
| A-0.5 | 11.0 | 14.6 | 0.1562 | 0.28 | 1061.0 |
| A-1.0 | 14.7 | 53.1 | 0.2182 | 0.37 | 1540.3 |
| A-1.5 | 16.8 | 75.0 | 0.2231 | 0.42 | 2003.9 |
| Specimen Group | Wedge Splitting Tensile Strength (MPa) | Relative Increase (%) | Gf (N/m) | |
|---|---|---|---|---|
| A-0 | 2.4 | 0 | 1.60 | 120.9 |
| A-0.5 | 3.6 | 50.0 | 2.47 | 407.3 |
| A-1.0 | 3.9 | 62.5 | 2.66 | 580.3 |
| A-1.5 | 4.2 | 75.0 | 2.95 | 819.6 |
| Model Specimen | Steel Fiber Content (kg/m3) | Bearing Capacity (kN) | |
|---|---|---|---|
| Large Load | Small Load | ||
| S1 | 0 | 7271.7 | 6098.9 |
| S2 | 0 | 7154.4 | 5864.3 |
| S3 | 39 | 7975.4 | 6568.0 |
| S4 | 39 | 8210.0 | 6919.9 |
© 2019 by the authors. Licensee MDPI, Basel, Switzerland. This article is an open access article distributed under the terms and conditions of the Creative Commons Attribution (CC BY) license (http://creativecommons.org/licenses/by/4.0/).
Share and Cite
Li, X.; Xue, W.; Fu, C.; Yao, Z.; Liu, X. Mechanical Properties of High-Performance Steel-Fibre-Reinforced Concrete and Its Application in Underground Mine Engineering. Materials 2019, 12, 2470. https://doi.org/10.3390/ma12152470
Li X, Xue W, Fu C, Yao Z, Liu X. Mechanical Properties of High-Performance Steel-Fibre-Reinforced Concrete and Its Application in Underground Mine Engineering. Materials. 2019; 12(15):2470. https://doi.org/10.3390/ma12152470
Chicago/Turabian StyleLi, Xiang, Weipei Xue, Cao Fu, Zhishu Yao, and Xiaohu Liu. 2019. "Mechanical Properties of High-Performance Steel-Fibre-Reinforced Concrete and Its Application in Underground Mine Engineering" Materials 12, no. 15: 2470. https://doi.org/10.3390/ma12152470
APA StyleLi, X., Xue, W., Fu, C., Yao, Z., & Liu, X. (2019). Mechanical Properties of High-Performance Steel-Fibre-Reinforced Concrete and Its Application in Underground Mine Engineering. Materials, 12(15), 2470. https://doi.org/10.3390/ma12152470

