Electronic Percolation Threshold of Self-Standing Ag-LaCoO3 Porous Electrodes for Practical Applications
Abstract
1. Introduction
2. Experimental
2.1. Materials and Reagents
2.2. Solid-State Synthesis of LaCoO Perovskite
2.3. Preparation of Composite Ag-LaCoO Mixtures
2.4. Sintering of Composite Ag-LaCoO Pellets
2.5. Characterization Techniques
3. Results and Discussion
3.1. Structural and Morphological Characterization
3.2. Pre-Sintering of Composite Ag-LaCoO Pellets
3.3. Effective Medium Approach for Metal-Semiconductor Composite
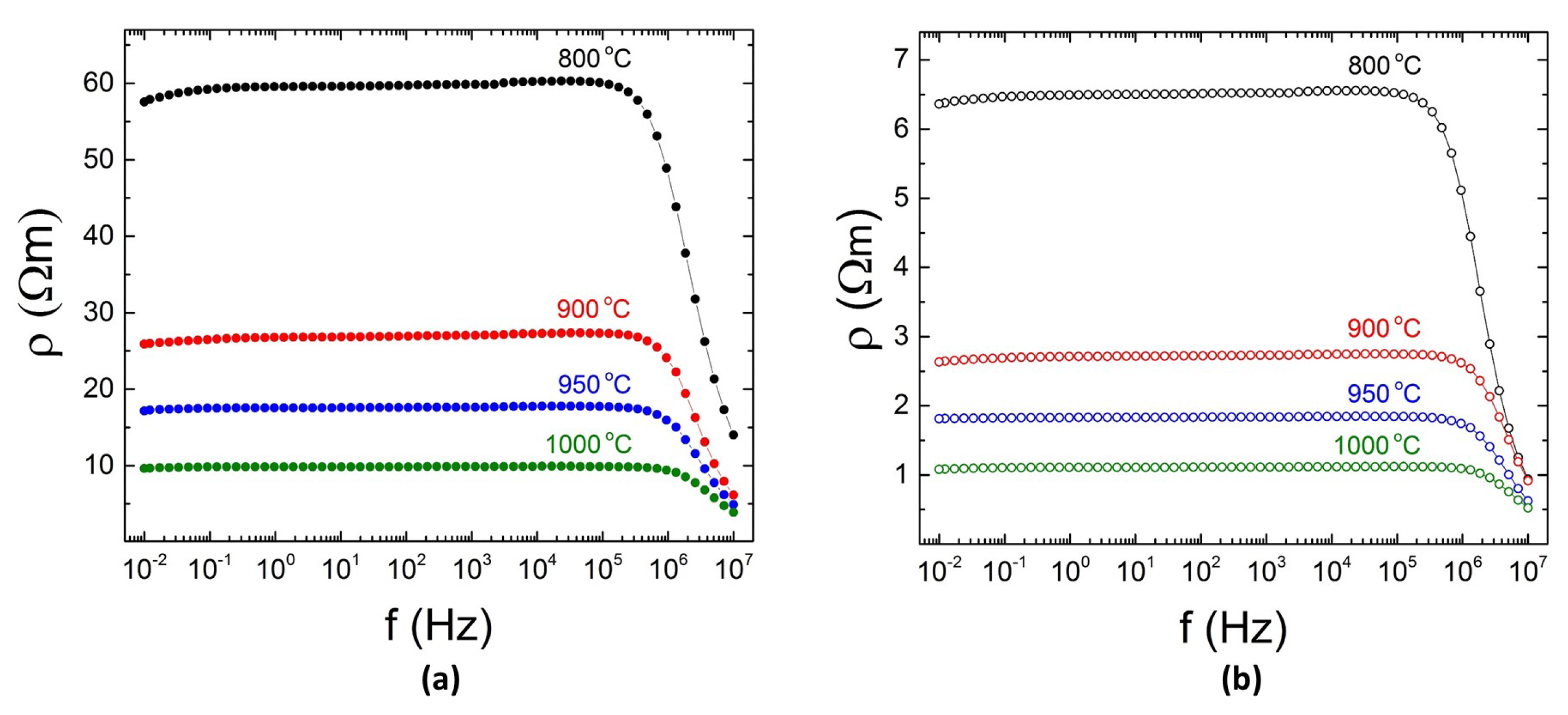
3.4. Electronic Transport in Composite Ag-LaCoO Media
4. Conclusions
Author Contributions
Funding
Conflicts of Interest
References
- Rossel, C. Perovskites: A Class of Materials with Multiple Functionalities and Applications. Europhys. News 2018, 49, 10–14. [Google Scholar] [CrossRef]
- Von Helmolt, R.; Wecker, J.; Holzapfel, B.; Schultz, L.; Samwer, K. Giant negative magnetoresistance in perovskitelike La2/3Ba1/3MnOx ferromagnetic films. Phys. Rev. Lett. 1993, 71, 2331–2333. [Google Scholar] [CrossRef] [PubMed]
- Cohen, R.E. Origin of ferroelectricity in perovskite oxides. Nature 1992, 358, 136–138. [Google Scholar] [CrossRef]
- Wang, J.; Zhang, C.; Liu, H.; MacLaughlin, R.; Zhai, Y.; Vardeny, S.R.; Liu, X.; McGill, S.; Semenov, D.; Guo, H.; et al. Spin-optoelectronic devices based on hybrid organic-inorganic trihalide perovskites. Nat. Commun. 2019, 10, 1–6. [Google Scholar] [CrossRef] [PubMed]
- Bhalla, A.S.; Guo, R.; Roy, R. The perovskite structure—A review of its role in ceramic science and technology. Mat. Res. Innov. 2000, 4, 3–26. [Google Scholar] [CrossRef]
- Munoz, A.; Casais, M.T.; Alonso, A.; Martinez-Lope, M.J.; Martinez, J.L.; Fernandez-Diaz, M.T. Complex Magnetism and Magnetic Structures of the Metastable HoMnO3 Perovskite. Inorg. Chem. 2001, 40, 1020–1028. [Google Scholar]
- Hertz, L.M. Charge-Carrier Dynamics in Organic-Inorganic Metal Halide Perovskites. Ann. Rev. Phys. Chem. 2016, 67, 65–89. [Google Scholar] [CrossRef]
- Tripathy, A.; Pramanik, S.; Manna, A.; Bhuyan, S.; Shah, N.F.A.; Redzi, Z.; Osman, N.A.A. Design and Development for Capacitive Humidity Sensor Applications of Lead-Free Ca,Mg,Fe,Ti-Oxides-Based Electro-Ceramics with Improved Sensing Properties via Physisorption. Sensors 2016, 16, 1135. [Google Scholar] [CrossRef]
- Yang, G.; Jung, W.; Ahn, S.J.; Lee, D. Controlling the Oxygen Electrocatalysis on Perovskite and Layered Oxide Thin Films for Solid Oxide Fuel Cell Cathodes. Appl. Sci. 2019, 9, 1030. [Google Scholar] [CrossRef]
- Lee, K.J.; Wang, L.W.; Chiang, T.K.; Wang, Y.H. Effects of Electrodes on the Switching Behavior of Strontium Titanate Nickelate Resistive Random Access Memory. Materials 2015, 8, 7191–7198. [Google Scholar] [CrossRef]
- Odenthal, P.; Talmadge, W.; Gundlach, N.; Wang, R.; Zhang, C.; Sun, D.; Yu, Z.G.; Vardeny, Z.V.; Li, Y.S. Spin-polarized exciton quantum beating in hybrid organic-inorganic perovskites. Nat. Phys. 2017, 13, 894–899. [Google Scholar] [CrossRef]
- Kanhere, P.; Chen, Z. A Review on Visible Light Active Perovskite-Based Photocatalysts. Molecules 2014, 19, 19995–20022. [Google Scholar] [CrossRef] [PubMed]
- She, Z.; Jayatissa, A.H. Perovskites-Based Solar Cells: A Review of Recent Progress, Materials and Processing Methods. Materials 2018, 11, 729. [Google Scholar] [CrossRef] [PubMed]
- Hu, J.; Zhao, S.; Zhao, X.; Chen, Z. Strategies of Anode Materials Design towards Improved Photoelectrochemical Water Splitting Efficiency. Coatings 2019, 9, 309. [Google Scholar] [CrossRef]
- Haeussler, A.; Abanades, S.; Jouannaux, J.; Julbe, A. Non-Stoichiometric Redox Active Perovskite Materials for Solar Thermochemical Fuel Production: A Review. Catalysts 2018, 8, 611. [Google Scholar] [CrossRef]
- Kim, C.H.; Qi, G.; Dahlberg, K.; Li, W. Strontium-Doped Perovskites Rival Platinum Catalysts for Treating NOx in Simulated Diesel Exhaust. Science 2010, 327, 1624–1627. [Google Scholar] [CrossRef] [PubMed]
- Labhasetwar, N.; Saravanan, G.; Megarajan, S.K.; Manwar, N.; Khobragade, R.; Doggali, P.; Grasset, F. Perovskite-type catalytic materials for environmental applications. Sci. Technol. Adv. Mater 2015, 16, 036002–036015. [Google Scholar] [CrossRef] [PubMed]
- Seo, M.H.; Park, H.W.; Lee, D.U.; Park, M.G.; Chen, Z. Design of Highly Active Perovskite Oxides for Oxygen Evolution Reaction by Combining Experimental and ab Initio Studies. ACS Catal. 2015, 5, 4337–4344. [Google Scholar] [CrossRef]
- Marcel Risch, Perovskite Electrocatalysts for the Oxygen Reduction Reaction in Alkaline Media. Catalysts 2017, 7, 154. [CrossRef]
- Sapountzi, F.M.; Garcia, J.M.; Weststrate, C.J.; Fredriksson, H.O.A.; Niemantsverdriet, J.W. Electrocatalysts for the generation of hydrogen, oxygen and synthesis gas. Progr. Energ. Comb. Sci. 2017, 58, 1–35. [Google Scholar] [CrossRef]
- Lu, Y.; Ma, A.; Yu, Y.; Tan, R.; Liu, C.; Zhang, P.; Liu, D.; Gui, J. Engineering Oxygen Vacancies into LaCoO3 Perovskite for Efficient Electrocatalytic Oxygen Evolution. ACS Sustain. Chem. Eng. 2019, 7, 2906–2910. [Google Scholar] [CrossRef]
- Carmo, M.; Fritz, D.L.; Mergel, J.; Stolten, D. A comprehensive review on PEM water electrolysis. Int. J. Hidr. Energ. 2013, 38, 4901–4934. [Google Scholar] [CrossRef]
- Schmidtab, O.; Gambhira, A.; Staffellb, I.; Hawkesc, A.; Nelsona, J.; Fewa, S. Future cost and performance of water electrolysis: An expert elicitation study. Int. J. Hidr. Energ. 2017, 42, 30470–30492. [Google Scholar] [CrossRef]
- Colli, A.N.; Girault, H.H.; Battistel, A. Non-Precious Electrodes for Practical Alkaline Water Electrolysis. Materials 2019, 12, 1336. [Google Scholar] [CrossRef] [PubMed]
- Atta, N.F.; Galal, A.; El-Ads, L.H. Perovskite Nanomaterials-Synthesis, Characterization, and Applications. In Perovskite Materials-Synthesis, Characterisation, Properties, and Applications; Pan, L., Zhu, G., Eds.; IntechOpen: London, UK, 2016; pp. 107–151. [Google Scholar]
- Wu, H.; Zhu, X. Perovskite Oxide Nanocrystals-Synthesis, Characterization, Functionalization, and Novel Applications. In Perovskite Materials-Synthesis, Characterisation, Properties, and Applications; Pan, L., Zhu, G., Eds.; IntechOpen: London, UK, 2016; pp. 153–183. [Google Scholar]
- Dong, B.; Li, Z.; Li, Z.; Xu, X.; Song, M.; Zheng, W.; Wang, C.; Al-Deyab, S.S.; El-Newehy, M. Highly Efficient LaCoO3 Nanofibers Catalysts for Photocatalytic Degradation of Rhodamine B. J. Am. Ceram. Soc. 2010, 93, 3587–3590. [Google Scholar] [CrossRef]
- Li, F.; Yu, X.; Chen, L.; Pan, H.; Xin, X. Solid-State Synthesis of LaCoO3 Perovskite Nanocrystals. J. Am. Ceram. Soc. 2004, 85, 2177–2180. [Google Scholar] [CrossRef]
- Sompecha, S.; Srionb, A.; Nuntyiac, A. Synthesis of perovskite-type lanthanum cobalt oxide powders by mechanochemical activation method. Sci. Asia 2012, 38, 102–107. [Google Scholar] [CrossRef]
- Armelao, L.; Bandoli, G.; Barreca, D.; Bettinelli, M.; Botarro, G.; Caneschi, A. Synthesis and characterization of nanophasic LaCoO3 powders. Surf. Interface Anal. 2002, 34, 112–115. [Google Scholar] [CrossRef]
- Hwang, H.J.; Awano, M. Preparation of LaCoO3 catalytic thin film by the sol-gel process and its NO decomposition characteristics. J. Eur. Ceram. Soc. 2001, 22, 2103–2107. [Google Scholar] [CrossRef]
- Chandradassa, J.; Kim, H.; Momade, F.W.Y. Effect of different solvents in the synthesis of LaCoO3 nanopowders prepared by the co-precipitation method. Adv. Powder. Tech. 2014, 25, 1834–1838. [Google Scholar] [CrossRef]
- Carrillo, T.L.; Morales, E.A.; Centeno, P.A.; Anota, C.E.; Ramirez, S.J.F.; Apreza, L.E.; Gutierrez, G.J. Preparation of Nanosized LaCoO3 through Calcination of a Hydrothermally Synthesized Precursor. J. Nanomater. 2016, 2016, 1–7. [Google Scholar] [CrossRef]
- Frikha, K.; Limousy, L.; Bouaziz, J.; Chaari, K.; Josien, L.; Nouali, H.; Michelin, L.; Vidal, L.; Gerreau, S.H.; Bennici, S. Binary Oxides Prepared by Microwave-Assisted Solution Combustion: Synthesis, Characterization and Catalytic Activity. Materials 2019, 12, 910. [Google Scholar] [CrossRef] [PubMed]
- Predoana, L.; Malic, B.; Crisan, D.; Dragan, N.; Amastasescu, M.; Moreno, J.C.; Scurtu, R.; Zaharescu, M. LaCoO3 ceramics obtained from reactive powders. Ceram. Int. 2012, 38, 5433–5443. [Google Scholar] [CrossRef]
- Liu, Y.; Dai, H.; Deng, J.; Zhang, L.; Zhao, Z.; Li, X.; Wang, Y.; Xie, S.; Yang, H.; Guo, G. Controlled Generation of Uniform Spherical LaMnO3, LaCoO3, Mn2O3, and Co3O4 Nanoparticles and Their High Catalytic Performance for Carbon Monoxide and Toluene Oxidation. Inorg. Chem. 2013, 52, 8665–8676. [Google Scholar] [CrossRef] [PubMed]
- Wang, Y.; Ren, J.; Wang, J.; Zhang, F.; Liu, X.; Guo, L.; Lu, G. Nanocasted Synthesis of Mesoporous LaCoO3 Perovskite with Extremely High Surface Area and Excellent Activity in Methane Combustion. J. Phys. Chem. C 2008, 112, 15293–15298. [Google Scholar] [CrossRef]
- Cheng, X.; Fabbri, E.; Yamashita, Y.; Castelly, I.E.; Kim, B.; Uchida, M.; Haumont, R.; Orench, I.P.; Schmidt, T.J. Oxygen Evolution Reaction on Perovskites: A Multieffect Descriptor Study Combining Experimental and Theoretical Methods. ACS Catal. 2018, 8, 9567–9578. [Google Scholar] [CrossRef]
- Risch, M.; Grimaud, A.; May, K.J.; Stoerzinger, A.; Chen, T.J.; Mansour, A.N.; Horn, Y.S. Structural Changes of Cobalt-Based Perovskites upon Water Oxidation Investigated by EXAFS. J. Phys. Chem. C 2013, 117, 8628–8635. [Google Scholar] [CrossRef]
- Kim, J.; Chen, X.; Shish, P.C.; Yang, H. Porous Perovskite-Type Lanthanum Cobaltite as Electrocatalysts toward Oxygen Evolution Reaction. ACS Sustain. Chem. Eng. 2017, 5, 10910–10917. [Google Scholar] [CrossRef]
- Hong, W.T.; Stoerzinger, K.A.; Lee, Y.L.; Giordano, L.; Grimaud, A.; Johnson, A.M.; Hwang, J.; Crumlin, E.J.; Yange, W.; Horn, Y.S. Charge-transfer-energy-dependent oxygen evolution reaction mechanisms for perovskite oxides. Energy Environ. Sci. 2017, 10, 2190–2200. [Google Scholar] [CrossRef]
- Jayapandia, S.; Lakshmib, D.; Premkumarc, S.; Packiyarajd, P.; Anithaa, K. Augmented photocatalytic and electrochemical activities of Ag tailored LaCoO3 perovskite semiconductor. Mater. Lett. 2018, 218, 205–208. [Google Scholar] [CrossRef]
- Park, S.A.; Lee, E.K.; Song, H.; Kim, Y.T. Bifunctional enhancement of oxygen reduction reaction activity on Ag catalysts due to water activation on LaMnO3 supports in alkaline media. Sci. Rep. 2015, 5, 13552–13566. [Google Scholar] [CrossRef] [PubMed]
- Enache, S.; Dragan, M.; Soare, A.; Ebrasu, D.I.; Zaulet, A.; Varlam, M.; Petrov, K. One step solid-state synthesis of lanthanum cobalt oxide perovskites as catalysts for oxygen evolution in alkaline media. Bulg. Chem. Commun. 2018, 50, 127–132. [Google Scholar]
- Dragan, M.; Enache, S.; Varlam, M.; Petrov, K. Perovskite-Type Lanthanum Cobaltite LaCoO3: Aspects of Processing Route toward Practical Applications. In Cobalt Compounds and Applications; Yıldız, Y., Manzak, A., Eds.; IntechOpen: London, UK, 2019; pp. 1–17. [Google Scholar]
- Fleming, R.; Farrell, R.A.; Holmes, J.D.; Morris, M.A. The Rapid Formation of La(OH)3 from La2O3 Powders on Exposureto Water Vapor. J. Am. Ceram. Soc. 2010, 93, 1187–1194. [Google Scholar] [CrossRef]
- Bruggeman, D.A.G. Berechnung verschiedener physikalischer Konstanten von heterogenen Substanzen. I. Dielektrizitätskonstanten und Leitfähigkeiten der Mischkörper aus isotropen Substanzen. Ann. Phys. 1935, 416, 636–664. [Google Scholar] [CrossRef]
- Enache, S.; Lohstroh, W.; Griessen, R. Temperature dependence of magnetoresistance and Hall effect in Mg2NiHx films. Phys. Rev. B 2004, 69, 115326–115338. [Google Scholar] [CrossRef]
- Siddiqui, M.U.; Arif, A.F.M. Generalized Effective Medium Theory for Particulate Nanocomposite Materials. Materials 2016, 9, 694. [Google Scholar] [CrossRef]






© 2019 by the authors. Licensee MDPI, Basel, Switzerland. This article is an open access article distributed under the terms and conditions of the Creative Commons Attribution (CC BY) license (http://creativecommons.org/licenses/by/4.0/).
Share and Cite
Enache, S.; Dragan, M.; Varlam, M.; Petrov, K. Electronic Percolation Threshold of Self-Standing Ag-LaCoO3 Porous Electrodes for Practical Applications. Materials 2019, 12, 2359. https://doi.org/10.3390/ma12152359
Enache S, Dragan M, Varlam M, Petrov K. Electronic Percolation Threshold of Self-Standing Ag-LaCoO3 Porous Electrodes for Practical Applications. Materials. 2019; 12(15):2359. https://doi.org/10.3390/ma12152359
Chicago/Turabian StyleEnache, Stanica, Mirela Dragan, Mihai Varlam, and Konstantin Petrov. 2019. "Electronic Percolation Threshold of Self-Standing Ag-LaCoO3 Porous Electrodes for Practical Applications" Materials 12, no. 15: 2359. https://doi.org/10.3390/ma12152359
APA StyleEnache, S., Dragan, M., Varlam, M., & Petrov, K. (2019). Electronic Percolation Threshold of Self-Standing Ag-LaCoO3 Porous Electrodes for Practical Applications. Materials, 12(15), 2359. https://doi.org/10.3390/ma12152359
