Fuzzy Multi-SVR Learning Model for Reliability-Based Design Optimization of Turbine Blades
Abstract
1. Introduction
2. Theory and Method
2.1. Fuzzy Multi-SVR Learning Method
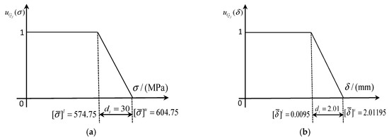
2.1.1. Fuzzy Multi-SVR Learning Model
2.1.2. Multi-Objective Genetic Algorithm
2.2. RBDO Model with Fuzzy Multi-SVR Learning Method
2.3. Flowchart of RBDO with Fuzzy Multi-SVR Learning Method
3. Fuzzy Reliability-Based Design of Multi-Failure Turbine Blade
3.1. Deterministic Analysis of Turbine Blade
3.2. Modeling for Fuzzy Multi-SVR Learning Method
3.3. RBDO of Multi-Failure Turbine Blade
3.4. Fuzzy Multi-SVR Learning Method Validation
4. Conclusions
- (1)
- From the RBDO of a turbine blade with deformation and stress failures with the presented fuzzy multi-SVR learning method, we gain that the stress and deformation of the blade under operation reduced by 92.38 MPa and 0.09838 mm, in the promise of acceptable computational precision and efficiency, which is promising to improve the reliability of turbine blade.
- (2)
- With regard to the probabilistic failure analysis of the bladed disk, we find that the developed fuzzy multi-SVR learning method does not only costs a small amount of analytical time and high computational efficiency relative to the Monte Carlo (MC) method and the SVM method, but also has an acceptable computational precision in the reliability degree as its optimization results are almost consistent with that of the FE method based on MC simulations. Moreover, the strengths of the proposed fuzzy multi-SVR learning method in modeling and simulation become more obvious with the increasing simulations.
- (3)
- In terms of the fuzzy RBDO of the multi-failure blade, it is illustrated that the developed fuzzy multi-SVR learning method is more workable than the MC method and SVM method. The reason is that the optimal parameters including design parameters and optimization objects are preferable as larger reductions and higher reliability degree.
Author Contributions
Funding
Conflicts of Interest
References
- Hahn, Y.; Cofer, J.I., IV. Design study of dovetail geometries of turbine blades using abaqus and isight. In Proceedings of the ASME Turbo Expo 2012: Turbine Technical Conference and Exposition, Copenhagen, Denmark, 11–15 June 2012; Volume 7, pp. 11–20. [Google Scholar] [CrossRef]
- Zhang, C.-Y.; Lu, C.; Fei, C.-W.; Jing, H.-Z.; Li, C.-W. Dynamic probabilistic design technique for multi-component system with multi-failure modes. J. Cent. South Univ. 2018, 25, 2688–2700. [Google Scholar] [CrossRef]
- Lu, C.; Feng, Y.-W.; Fei, C.-W. Weighted regression-based extremum response surface method for structural dynamic fuzzy reliability analysis. Energies 2019, 12, 1588. [Google Scholar] [CrossRef]
- Bai, G.C.; Fei, C.W. Distributed collaborative response surface method for mechanical dynamic assembly reliability design. Chin. J. Mech. Eng. 2013, 26, 1160–1168. [Google Scholar] [CrossRef]
- Lu, C.; Feng, Y.-W.; Liem, R.P.; Fei, C.-W. Improved kriging with extremum response surface method for structural dynamic reliability and sensitivity analyses. Aerosp. Sci. Technol. 2018, 76, 164–175. [Google Scholar] [CrossRef]
- Alinejad, F.; Botto, D. Innovative adaptive penalty in surrogate-assisted robust optimization of blade attachments. Acta Mech. 2019, 230, 2735–2750. [Google Scholar] [CrossRef]
- Song, L.K.; Bai, G.C.; Fei, C.W.; Wen, J. Probabilistic LCF life assessment of turbine discs using DC-based wavelet neural network regression. Int. J. Fatigue 2019, 119, 204–219. [Google Scholar] [CrossRef]
- Fei, C.W.; Tang, W.Z.; Bai, G.C. Novel method and model for dynamic reliability optimal design of turbine blade deformation. Aerosp. Sci. Technol. 2014, 39, 588–595. [Google Scholar] [CrossRef]
- Fei, C.W.; Bai, G.C.; Tang, W.Z.; Choy, Y.S. Transient reliability optimization for turbine disk radial deformation. J. Cent. South Univ. 2016, 23, 344–352. [Google Scholar] [CrossRef]
- Fei, C.W.; Tang, W.Z.; Bai, G.C. Study on the theory, method and model for mechanical dynamic assembly reliability optimization. Proc. IME Part C J. Mech. Eng. Sci. 2014, 228, 3019–3038. [Google Scholar] [CrossRef]
- Fei, C.-W.; Choy, Y.-S.; Hu, D.-Y.; Bai, G.-C.; Tang, W.-Z. Dynamic probabilistic design approach of high-pressure turbine blade-tip radial running clearance. Nonlinear Dyn. 2016, 86, 205–223. [Google Scholar] [CrossRef]
- Song, L.K.; Fei, C.W.; Wen, J.; Bai, G.C. Multi-objective reliability-based design optimization approach of complex structure with multi-failure modes. Aerosp. Sci. Technol. 2017, 64, 52–62. [Google Scholar] [CrossRef]
- Song, C.Y.; Lee, J.; Choung, J.M. Reliability-based design optimization of an FPSO riser support using moving least squares response surface meta-models. Ocean Eng. 2011, 38, 304–318. [Google Scholar] [CrossRef]
- Youn, B.D.; Choi, K.K. A new response surface methodology for reliability-based design optimization. Comput. Struct. 2004, 82, 241–256. [Google Scholar] [CrossRef]
- Eyke, H. Fuzzy methods in machine learning and data mining: Status and prospects. Fuzzy Sets Syst. 2005, 156, 387–406. [Google Scholar]
- Song, W.; Keane, A.; Rees, J.; Bhaskar, A.; Bagnall, S. Turbine blade fir-tree root design optimisation using intelligent CAD and finite element analysis. Comput. Struct. 2002, 80, 1853–1867. [Google Scholar] [CrossRef]
- Song, W.; Keane, A.J. An efficient evolutionary optimisation framework applied to turbine blade firtree root local profiles. Struct. Multidiscip. Optim. 2005, 29, 382–390. [Google Scholar] [CrossRef]
- Brabanker, K.D.; Brabanter, J.D.; Suykens, J.A.; Moor, B.D. Approximate confidence and prediction intervals for least squares support vector regression. IEEE Trans. Neural Netw. 2010, 22, 110–120. [Google Scholar] [CrossRef] [PubMed]
- Song, H.; Choi, K.K.; Lee, I.; Zhao, L. Adaptive virtual support vector machine for reliability analysis of high-dimensional problems. Struct. Multidiscip. Optim. 2013, 47, 479–491. [Google Scholar] [CrossRef]
- Meng, Z.; Zhou, H.; Li, G.; Hu, H. A hybrid sequential approximate programming method for second-order reliability-based design optimization approach. Acta Mech. 2017, 228, 1965–1978. [Google Scholar] [CrossRef]
- Zhu, P.; Pan, F.; Chen, W.; Zhang, S. Use of support vector regression in structural optimization: Application to vehicle crashworthiness design. Math. Comput. Simul. 2012, 86, 21–31. [Google Scholar] [CrossRef]
- Liu, Y.L.; Chen, W.L.; Ding, L.P.; Wang, X.P. Response surface methodology based on support vector regression for polygon blank shape optimization design. Int. J. Adv. Manuf. Technol. 2013, 66, 1397–1405. [Google Scholar] [CrossRef]
- Zhang, J.; Wang, K.; Zhu, W.; Zhong, P. Least Squares Fuzzy One-class Support Vector Machine for Imbalanced Data. Int. J. Signal Process. Image Process. Pattern Recognit. 2015, 8, 299–308. [Google Scholar] [CrossRef]
- Deb, K.; Pratap, A.; Agarwal, S.; Meyarivan, T. A fast and elitist multiobjective genetic algorithm: NSGA-II. IEEE Trans. Evol. Comput. 2002, 6, 182–197. [Google Scholar] [CrossRef]
- Luo, J.; Liu, Q.; Yang, Y.; Li, X.; Chen, M.R.; Cao, W.M. An artificial bee colony algorithm for multi-objective optimization. Appl. Soft Comput. 2017, 50, 235–251. [Google Scholar] [CrossRef]
- Fei, C.-W.; Bai, G.-C.; Tang, W.-Z.; Ma, S. Quantitative Diagnosis of Rotor Vibration Fault Using Process Power Spectrum Entropy and Support Vector Machine Method. Shock Vib. 2014, 2014, 1–9. [Google Scholar] [CrossRef]
- Fei, C.W.; Bai, G.C. Nonlinear dynamic probabilistic analysis for turbine casing radial deformation based on extremum response surface method-based support vector machine. J. Comput. Nonlinear Dyn. 2013, 8, 041004. [Google Scholar] [CrossRef]
- Fei, C.W.; Bai, G.C. Wavelet correlation feature scale entropy and fuzzy support vector machine approach for aeroengine whole-body vibration fault diagnosis. Shock Vib. 2013, 20, 341–349. [Google Scholar] [CrossRef]
- Zhai, X.; Fei, C.W.; Bai, G.C.; Wang, J.J. Reliability sensitivity analysis of HPT blade-tip radial running clearance using multiply response surface model. J. Cent. South Univ. 2014, 21, 4368–4377. [Google Scholar] [CrossRef]
- Zhang, C.Y.; Song, L.K.; Fei, C.W.; Lu, C.; Xie, Y.M. Advanced multiple response surface method for reliability sensitivity analysis of turbine blisk with multi-physics coupling. Chin. J. Aeronaut. 2016, 29, 962–971. [Google Scholar] [CrossRef]
- Zhi, P.; Li, Y.; Chen, B.; Li, M.; Liu, G. Fuzzy optimization design-based multi-level response surface of bogie frame. Int. J. Struct. Integr. 2019, 10, 134–148. [Google Scholar] [CrossRef]
- Titli, A.; Lefèvre, T.; Richetin, M. Multilevel optimization methods for non-separable problems and application. Int. J. Syst. Sci. 1973, 4, 865–880. [Google Scholar] [CrossRef]
- Bai, G.; Gao, H. Reliability analysis on resonance for low-pressure compressor rotor blade based on least squares support vector machine with leave-one-out cross-validation. Adv. Mech. Eng. 2015, 7, 1687814015578351. [Google Scholar]
- Zhao, P.; Cui, H.L. Simulation of resonant tunneling structures: Origin of the I–VI–V hysteresis and plateau-like structure. J. Appl. Phys. 2000, 87, 1337–1349. [Google Scholar] [CrossRef]
- Helton, J.C.; Davis, F.J. Latin hypercube sampling and the propagation of uncertainty in analyses of complex systems. Reliab. Eng. Syst. Saf. 2003, 81, 23–69. [Google Scholar] [CrossRef]
- Zhao, R.G.; Li, Q.B.; Jiang, Y.Z.; Luo, X.Y.; Liu, Y.F.; Yan, Y.; Cai, P.; Chen, Y. Research on Transition from Short to Long Fatigue Crack Propagation of GH4133B Superalloy Used in Turbine Disk of Aero-Engine. Key Eng. Mater. 2016, 697, 664–669. [Google Scholar] [CrossRef]
- Fei, C.W.; Bai, G.C. Extremum selection method of random variables for nonlinear dynamic reliability analysis of turbine blade deformation. Propuls. Power Res. 2012, 1, 58–63. [Google Scholar] [CrossRef]
- Devloo, P.R.B.; Rylo, E.C. Systematic and generic construction of shape functions for p-adaptive meshes of multidimensional finite elements. Comput. Methods Appl. Mech. Eng. 2009, 198, 1716–1725. [Google Scholar] [CrossRef]
- Hashiguchi, K. A basic formulation of elastoplastic constitutive equations. Mod. Approaches Plast. 1993, 9, 39–57. [Google Scholar]
- Foerch, R.; Besson, J.; Cailletaud, G.; Pilvin, P. Polymorphic constitutive equations in finite element codes. Comput. Methods Appl. Mech. Eng. 1997, 141, 355–372. [Google Scholar] [CrossRef]









| Random Variables | Mean | Standard Deviation | Distribution |
|---|---|---|---|
| Density ρ, kg/m3 | 8210 | 414.1934 | Normal |
| Rotor speed ω, rad/s | 1168 | 104.7138 | Normal |
| Temperature T, K | 1173.2 | 105.18 | Normal |
| Aerodynamic pressure P, MPa | 0.5 | 0.0448 | Normal |
| Gravity g, m/s2 | 9.8 | 0.294 | Normal |
| Upper and Lower Limit | [σ], MPa | [δ], mm | ω, rad/s | T, K | |
|---|---|---|---|---|---|
| Upper bound | Upper limit | 604.75 | 2.01195 | 1349.0 | 1355.0 |
| Lower limit | 574.75 | 0.00195 | 1284.8 | 1290.5 | |
| Lower bound | Upper limit | - | - | 1051.2 | 1055.9 |
| Lower limit | - | - | 735.84 | 739.13 | |
| Design Variables | Original Data | Optimization Results |
|---|---|---|
| ω, rad/s | 1168 | 1200.1 |
| T, K | 1173.2 | 1110.9 |
| Number of Samples | Computing Time, s | Reliability Degree, % | ||||
|---|---|---|---|---|---|---|
| MC Method | Traditional SVM | Fuzzy Multi-SVR Learning Method | MC Method | Traditional SVM | Fuzzy Multi-SVR Learning Method | |
| 102 | 54,000 | 0.0108 | 0.0062 | 99 | 97 | 98 |
| 103 | 339,200 | 0.329 | 0.156 | 99.5 | 98.3 | 99.2 |
| 104 | - | 0.789 | 0.468 | 99.34 | 98.65 | 99.29 |
| 105 | - | 2.013 | 1.232 | - | 98.791 | 99.782 |
| Objective Functions | Before Optimization | MC Method | Traditional SVM | Fuzzy Multi-SVR Learning Method | |||
|---|---|---|---|---|---|---|---|
| After Optimization | Reduction | After Optimization | Reduction | After Optimization | Reduction | ||
| σ, MPa | 583.75 | 552.59 | 31.16 | 530.23 | 53.52 | 491.37 | 92.38 |
| δ, mm | 1.0195 | 0.98814 | 0.03136 | 1.0001 | 0.0194 | 0.92112 | 0.09838 |
| R | 95.40 | 96.9 | - | 97.83 | - | 98.85 | - |
© 2019 by the authors. Licensee MDPI, Basel, Switzerland. This article is an open access article distributed under the terms and conditions of the Creative Commons Attribution (CC BY) license (http://creativecommons.org/licenses/by/4.0/).
Share and Cite
Zhang, C.-Y.; Wang, Z.; Fei, C.-W.; Yuan, Z.-S.; Wei, J.-S.; Tang, W.-Z. Fuzzy Multi-SVR Learning Model for Reliability-Based Design Optimization of Turbine Blades. Materials 2019, 12, 2341. https://doi.org/10.3390/ma12152341
Zhang C-Y, Wang Z, Fei C-W, Yuan Z-S, Wei J-S, Tang W-Z. Fuzzy Multi-SVR Learning Model for Reliability-Based Design Optimization of Turbine Blades. Materials. 2019; 12(15):2341. https://doi.org/10.3390/ma12152341
Chicago/Turabian StyleZhang, Chun-Yi, Ze Wang, Cheng-Wei Fei, Zhe-Shan Yuan, Jing-Shan Wei, and Wen-Zhong Tang. 2019. "Fuzzy Multi-SVR Learning Model for Reliability-Based Design Optimization of Turbine Blades" Materials 12, no. 15: 2341. https://doi.org/10.3390/ma12152341
APA StyleZhang, C.-Y., Wang, Z., Fei, C.-W., Yuan, Z.-S., Wei, J.-S., & Tang, W.-Z. (2019). Fuzzy Multi-SVR Learning Model for Reliability-Based Design Optimization of Turbine Blades. Materials, 12(15), 2341. https://doi.org/10.3390/ma12152341

