Preparation of Carbon Aerogel Electrode for Electrosorption of Copper Ions in Aqueous Solution
Abstract
:1. Introduction
2. Materials and Methods
2.1. Preparation of CA
2.2. Characterization
2.3. Electrochemical and CDI Adsorption Test
2.4. Preset of the Copper Solution
3. Results and Discussion
3.1. Characteristics of CA
3.1.1. Structural Characterization
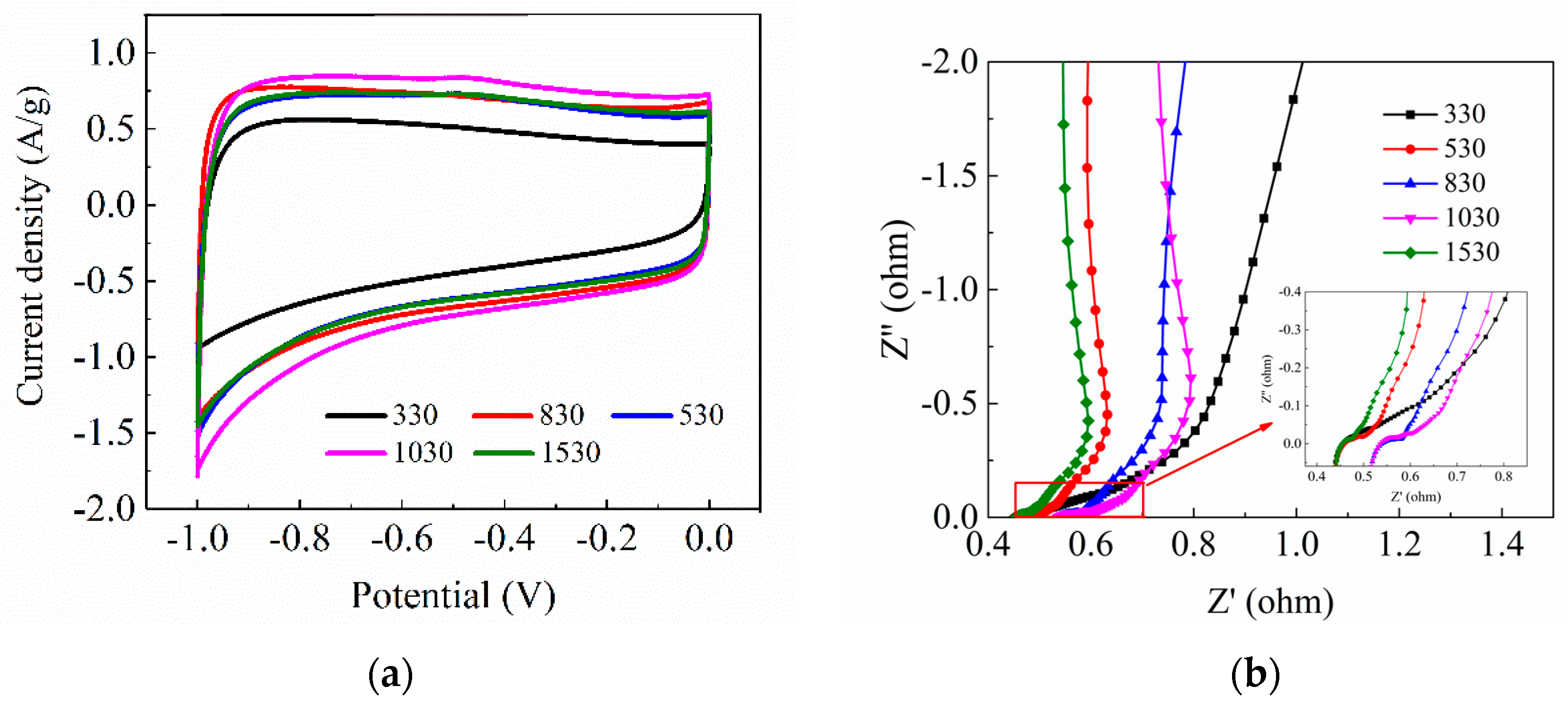
3.1.2. Electrochemical Tests
3.2. Adsorption Results of Cu2+
3.2.1. Effect of Anions on Adsorption Capacity
3.2.2. Effect of CA Structure on Adsorption Capacity
3.2.3. Effect of Applied Voltage and Cu2+ Concentration on Adsorption Capacity
4. Conclusions
Author Contributions
Funding
Conflicts of Interest
References
- Zhang, C.L.; Sun, N.N.; Xie, S.T.; Chen, Y.; Shen, S.B. Overview of heavy metal wastewater treatment technology and resource utilization. Mod. Chem. Ind. 2014, 34, 38–41. [Google Scholar]
- Oren, Y. Capacitive deionization (CDI) for desalination and water treatment—Past, present and future (a review). Desalination 2008, 228, 10–29. [Google Scholar] [CrossRef]
- Xue, H.; Fu, Y.J.; Luo, A.Y.; Shen, J.; Wu, G.M.; Zhou, B. Research Progress of Carbon Aerogels and Their Application in Deionization. Mater. Rev. 2006, 20, 137–139. [Google Scholar]
- Liu, D.; Shen, J.; Li, Y.J. Pore Structures of Carbon Aerogels and Their Effects on Electrochemical Supercapacitor Performance. Acta Phys.-Chim. Sin. 2012, 28, 843–849. [Google Scholar]
- Zhang, C.; Wang, X.D.; Wang, H.Q.; Wu, X.L.; Shen, J. A positive-negative alternate adsorption effect for capacitive deionization in nano-porous carbon aerogel electrodes to enhance desalination capacity. Desalination 2019, 458, 45–53. [Google Scholar] [CrossRef]
- Raut, P.; Liang, W.; Chen, Y.M.; Zhu, Y.; Jana, S.C. Syndiotactic Polystyrene-Based Ionogel Membranes for High Temperature Electrochemical Applications. ACS Appl. Mater. Interfaces 2017, 9, 30933–30942. [Google Scholar] [CrossRef] [PubMed]
- Kong, Y.; Shen, X.D.; Cui, S. Nano Materials of Aerogels. Mater. China 2016, 35, 568–576. [Google Scholar]
- Wang, X.B.; Luan, Z.Q.; Li, K.; Li, L.; Tang, T.F. Progress in Application of Aerogels as Adsorbents for Gas Purification. Mater. Rev. 2018, 32, 2214–2222, 2240. [Google Scholar]
- Zhang, C.; Wang, X.D.; Wang, H.Q.; Wu, X.L.; Shen, J. Ambient Pressure-Dried Graphene–Composite Carbon Aerogel for Capacitive Deionization. Processes 2019, 7, 29. [Google Scholar] [CrossRef]
- Qin, R.X.; Shen, J.; Xue, H.; Wu, G.M.; Zhou, B. Carbon aerogel electrode for the capacitive desalination of NaCl solution. Water Treat. Technol. 2005, 31, 53–55. [Google Scholar]
- Meena, A.K.; Mishra, G.K.; Rai, P.K.; Rajagopal, C.; Nagar, P.N. Removal of heavy metal ions from aqueous solutions using carbon aerogel as an adsorbent. J. Hazard. Mater. 2005, 122, 161–170. [Google Scholar] [CrossRef] [PubMed]
- Gabelich, C.J.; Tran, T.D.; Suffet, I.H. Electrosorption of inorganic salts from aqueous solution using carbon aerogels. Environ. Sci. Technol. 2002, 36, 3010–3019. [Google Scholar] [CrossRef] [PubMed]
- Ying, T.Y.; Yang, K.L.; Yiacoumi, S.; Tsouris, C. Electrosorption of ions from aqueous solutions by nanostructured carbon aerogel. J. Colloid Interface Sci. 2002, 250, 18–27. [Google Scholar] [CrossRef] [PubMed]
- Raut, P.; Swanson, N.; Kulkarni, A.; Pugh, C.; Jana, C.S. Exploiting arene-perfluoroarene interactions for dispersion of carbon black in rubber compounds. Polymer 2018, 148, 247–258. [Google Scholar] [CrossRef]
- Li, J.; Wang, X.; Wang, H.; Wang, S.; Hayat, T.; Alsaedi, A.; Wang, X. Functionalization of biomass carbonaceous aerogels and their application as electrode materials for electro-enhanced recovery of metal ions. Environ. Sci. Nano 2017, 4, 1114–1123. [Google Scholar] [CrossRef]
- Wang, H.; Zhang, D.; Yan, T.; Wen, X.; Zhang, J.; Shi, L.; Zhong, Q. Three-dimensional macroporous graphene architectures as high performance electrodes for capacitive deionization. J. Mater. Chem. A 2013, 1, 11778–11789. [Google Scholar] [CrossRef]
- Noked, M.; Avraham, E.; Soffer, A.; Aurbach, D. The Rate-Determining Step of Electroadsorption Processes into Nanoporous Carbon Electrodes Related to Water Desalination. J. Phys. Chem. C 2009, 113, 237–246. [Google Scholar] [CrossRef]






| CAs | SBET 1 (m2/g) | Smic (m2/g) | Vt (cm3/g) | Vmic (cm3/g) | Dave (nm) |
|---|---|---|---|---|---|
| 330 | 832 | 416 | 0.36 | 0.21 | 3.5 |
| 530 | 2177 | 819 | 3.0 | 0.41 | 8.6 |
| 830 | 1496 | 928 | 1.77 | 0.46 | 11.3 |
| 1030 | 2057 | 1083 | 3.41 | 0.55 | 13.3 |
| 1530 | 2188 | 920 | 2.87 | 0.45 | 9.4 |
| Sample (R/C) | Specific Capacitance/(F·g−1) | ||
|---|---|---|---|
| 10 mV·s−1 | 50 mV·s−1 | 100 mV·s−1 | |
| 330 | 93 | 75 | 65 |
| 530 | 132 | 115 | 106 |
| 830 | 141 | 128 | 118 |
| 1030 | 156 | 135 | 123 |
| 1530 | 133 | 115 | 103 |
| Anion Species | SO42− | NO3− | Cl− |
|---|---|---|---|
| Concentration (mg/L) | 100 | 100 | 100 |
| Total SAC at 1.2 V (mg/g) | 7.24 | 5.50 | 5.27 |
| Voltage (V) | SAC (mg/g) | η (%) |
|---|---|---|
| 0.4 | 15.97 | 31.7 |
| 0.6 | 17.36 | 64.3 |
| 0.8 | 22.99 | 61.5 |
| 1.0 | 17.86 | 72.6 |
| 1.2 | 29.70 | 72.8 |
| 1.5 | 25.78 | 85.4 |
© 2019 by the authors. Licensee MDPI, Basel, Switzerland. This article is an open access article distributed under the terms and conditions of the Creative Commons Attribution (CC BY) license (http://creativecommons.org/licenses/by/4.0/).
Share and Cite
Cao, Z.; Zhang, C.; Yang, Z.; Qin, Q.; Zhang, Z.; Wang, X.; Shen, J. Preparation of Carbon Aerogel Electrode for Electrosorption of Copper Ions in Aqueous Solution. Materials 2019, 12, 1864. https://doi.org/10.3390/ma12111864
Cao Z, Zhang C, Yang Z, Qin Q, Zhang Z, Wang X, Shen J. Preparation of Carbon Aerogel Electrode for Electrosorption of Copper Ions in Aqueous Solution. Materials. 2019; 12(11):1864. https://doi.org/10.3390/ma12111864
Chicago/Turabian StyleCao, Ziling, Chen Zhang, Zhuoxin Yang, Qing Qin, Zhihua Zhang, Xiaodong Wang, and Jun Shen. 2019. "Preparation of Carbon Aerogel Electrode for Electrosorption of Copper Ions in Aqueous Solution" Materials 12, no. 11: 1864. https://doi.org/10.3390/ma12111864
APA StyleCao, Z., Zhang, C., Yang, Z., Qin, Q., Zhang, Z., Wang, X., & Shen, J. (2019). Preparation of Carbon Aerogel Electrode for Electrosorption of Copper Ions in Aqueous Solution. Materials, 12(11), 1864. https://doi.org/10.3390/ma12111864

