Next Article in Journal
Effect of Ce Addition on Modifying the Microstructure and Achieving a High Elongation with a Relatively High Strength of As-Extruded AZ80 Magnesium Alloy
Previous Article in Journal
Effect of Oxygen Nonstoichiometry on Electrical Conductivity and Thermopower of Gd0.2Sr0.8FeO3−δ Ferrite Samples
 
 
Font Type:
Arial Georgia Verdana
Font Size:
Aa Aa Aa
Line Spacing:
Column Width:
Background:
Article

Thermal Decomposition Properties of Epoxy Resin in SF6/N2 Mixture

1
School of Electrical Engineering, Wuhan University, Wuhan 430072, China
2
Wuhan Branch, China Electric Power Research Institute Co., Ltd., Wuhan 430074, China
*
Author to whom correspondence should be addressed.
Materials 2019, 12(1), 75; https://doi.org/10.3390/ma12010075
Submission received: 3 December 2018 / Accepted: 11 December 2018 / Published: 26 December 2018
(This article belongs to the Section Advanced Materials Characterization)

Abstract

:
As a promising alternative for pure SF6, the mixture of SF6/N2 appears to be more economic and environment-friendly on the premise of maintaining similar dielectric properties with pure SF6. But less attention has been paid to the thermal properties of an SF6/N2 mixture, especially with insulation materials overheating happening simultaneously. In this paper, thermal decomposition properties of epoxy resin in SF6/N2 mixture with different SF6 volume rates were studied, and the concentrations of characteristic decomposition components were detected based on concentrations change of some characteristic gas components such as CO2, SO2, H2S, SOF2, and CF4. The results showed that thermal properties of 20% SF6/N2 (volume fraction of SF6 is 20%) mixture has faster degradation than 40% SF6/N2 mixture. As ratio of SF6 content decreases, thermal stability of the system decreases, and the decomposition process of SF6 is exacerbated. Moreover, a mathematical model was established to determine happening of partial overheating faults on the epoxy resin surface in SF6/N2 mixture. Also thermal decomposition process of epoxy resin was simulated by the ReaxFF force field to reveal basic chemical reactions in terms of bond-breaking order, which further verified that CO2 and H2O produced during thermal decomposition of epoxy resin can intensify degradation of SF6 dielectric property.

1. Introduction

SF6 gas is colorless, odorless and nontoxic, and is widely used as power equipment’s insulation material because of its excellent arc-extinguishing and insulating properties [1,2,3,4,5,6,7]. Its chemical property is so stable that it can stably remain in the atmosphere for 2300 years, and its global warming potential (GWP) is 2500 times that of CO2. Hence, it was listed as one of the six greenhouse gases in Kyoto Protocol in 1997. To reduce the use of SF6, researchers worldwide have developed new alternatives such as C4F7N, C5F10O, SF6/CO2, and SF6/N2 mixture as insulation gases and put them into practice [3,5,8,9,10]. Among these gases, an SF6/N2 mixture with low SF6 volume fraction has been widely used in electric equipment such as gas insulated transmission lines (GIL) [6,11,12,13,14]. In the 1970s, 420/550 kV transmission lines of 20% SF6/N2 (volume fraction of SF6 is 20%) were developed by SIMENS and put into use in Geneva, Switzerland, which proved to be of high economic benefits. The transmission lines of 10% SF6/N2 gases in Electricite De France (EDF) have been safely used up to the present.
When there happens to be an overloading problem in GIL, partial overheating failure is likely to occur at the insulation defects spots, especially in the poor contact surface, which would do harm to the dielectric properties of the insulation material, and the defects will aggravate partial overheating failure in return. The deterioration of insulation material will lead to serious consequences, such as the failure of some key part, or even a blackout at worst [15,16,17,18]. As a widely used insulation material, epoxy resin is often used together with SF6 in electrical equipment, such as supporting spacers in GIL. In order to detect partial overheating failure as early as possible, it has been proposed to detect the thermal decomposition components of SF6 (such as SO2, H2S, SOF2, SO2F2, CF4, CO2, and SOF4) in the presence of organic solid insulation materials [2,16,19]. When partial overheating failure happens temperature also can be estimated approximately based on the concentration change of the components. N2 molecules in the SF6/N2 mixture will make SF6 molecules burden uneven stress distribution, causing increase in the bonding energy of S-F [20,21,22,23,24]. The increase of intramolecular energy hinders system stability, which intensifies the impact of partial overheating. As an organic insulating material, the decomposition products of epoxy resin will also affect the development of partial overheating. The method for detecting thermal decomposition components in SF6/N2 mixture in the presence of epoxy resin has not been reported yet. Hence, this issue has been investigated in this paper.
Thermogravimetric analysis instrument was used to investigate the decomposition of epoxy resin in SF6/N2 mixture with SF6 ratio of 20%, 30%, and 40% respectively (20% SF6/N2, 30% SF6/N2, and 40% SF6/N2 in short). By analyzing TG/DSC curves and comparing them with those from epoxy resin decomposition under pure SF6 or N2, the effect of ratio of SF6 on the decomposition of epoxy resin was obtained. The variation of SF6 characteristic decomposition component concentration with temperature in three different proportions of mixed gases was observed by Shimadzu QP2010 Ultra GC/MS. Types of gases that could be used as the characteristic components to detect the partial overheating failure in the presence of epoxy resin have been determined. Also the criterion of sharp weight loss of epoxy resin is established based on the change of characteristic components ratio.

2. Materials and Methods

2.1. Materials

In the experiment, the bisphenol-A epoxy resin E51 was purchased from Wuxi Lan-Star Petrochemical Co., Ltd. (Wuxi, China). Epoxy resin was cured by an amine curing agent dubbed as type 593, supplied by Wuhan Shen Chemical Reagents and Equipments Co., Ltd. (Wuhan, China). High-precision SF6/N2 mixture gas was supplied by Wuhan Newradar Gas Co., Ltd. (Wuhan, China). The mixture gas was prepared according to the reference material number GBW(E)061516 in China, so the original percentage content of O2 and H2O in the mixture gas were too low to be took into consideration. Therefore, the main resource of H2O in the heating process may come from the thermal decomposition of epoxy resin.

2.2. Parameters in the Experiment

In order to obtain the TG/DSC curves of epoxy resin decomposition in SF6/N2 mixture, TGA/DSC 3+ thermogravimetric analyzer of Mettler Toledo company was used in the experiment. At first three parameters including thermal conductivity, density and specific heat capacity were calculated in order to keep the accuracy of experiments after filling them in the sheet of parameters of TG/DSC instrument.

2.2.1. Density of SF6/N2 Gas Mixture

The instrument uses gas density at 0 °C under standard atmospheric pressure. The density of SF6/N2 mixture is given by:
ρ 0 = ρ 1 ρ 2 ρ 2 m 1 + ρ 1 m 2
where ρ 1 is the density of SF6; ρ 2 is the density of N2, m 1 and m 2 are mass percentages of SF6 and N2 respectively in per mole of mixture. The calculation results are shown in Table 1.

2.2.2. Specific Heat Capacity of SF6/N2 Gas Mixture

The instrument uses heat capacity at 25 °C under standard atmospheric pressure. The heat capacity of SF6/N2 gas mixture is calculated as follows:
C P = C P 1 * m 1 + C P 2 * m 2
where C P 1 and C P 2 represent the specific heat capacity of SF6 and N2 gas under constant pressure respectively; m 1 and m 2 are mass percentages of SF6 and N2 in per mole of mixture respectively. The calculation results are shown in Table 2.

2.2.3. Thermal Conductivity of SF6/N2 Gas Mixture

The instrument uses thermal conductivity at 0 °C under standard atmospheric pressure. The thermal conductivity of SF6/N2 gas mixture λ is given by:
λ = λ 1 y 1 y 1 + A 12 y 2 + λ 2 y 2 y 2 + A 21 y 1
where λ 1 and λ 2 represent the thermal conductivity of SF6 and N2 under atmospheric pressure, y 1 and y 2 are the molar fractions of SF6 and N2 in the mixture respectively, A 12 and A 21 are constants given by:
A 12 = 1 4 { 1 + [ ( u 1 u 2 ) ( M 2 M 1 ) 3 4 ( 1 + 1.5 T b 1 T 1 + 1.5 T b 2 T ) ] 1 2 } 2 ( 1 + S 12 T ) ( 1 + 1.5 T b 1 T )
A 12 = 1 4 { 1 + [ ( u 1 u 2 ) ( M 2 M 1 ) 3 4 ( 1 + 1.5 T b 1 T 1 + 1.5 T b 2 T ) ] 1 2 } 2 ( 1 + S 12 T ) ( 1 + 1.5 T b 1 T )
where u 1 and u 2 represent the viscosity of SF6 and N2 under atmospheric pressure (kg·s/m2), M 1 and M 2 are relative mass fractions of SF6 and N2, T b 1 and T b 2 are the boiling points of SF6 and N2 under atmospheric pressure (K), T is the constant of 273.15 (K), S 12 and S 21 are given by:
S 12 = S 21 = 2.25 T b 1 T b 2
The calculated values of thermal conductivities are shown in Table 3.

2.3. Experiment Process

In this paper, SF6/N2 mixture gas with the SF6 volume ratio from 20% to 40% were used in experiment, and the results were compared with those from pure SF6 and N2. The sample mass of cured epoxy resin was 20 mg. The gas flow rate was set as 20 mL/min, the heating rate as 10 °C/min heating in the temperature range from 250 °C to 650 °C.

3. Results and Discussion

3.1. TG Curve Analysis of Epoxy Resin Decomposition

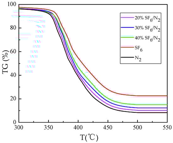
Figure 1 shows the TG curves of epoxy resin decomposed under different experimental gases. As can be seen that the main weight loss of epoxy resin happened in the temperature range from 330 °C to 470 °C, which are not affected by the type of gas in reaction. But it is noteworthy that the weight-loss ratio of epoxy resin varied with the type of gas in reaction, such as under N2 condition, the decomposition of epoxy resin is most violent, with remaining mass of 1.59 mg, accounting for 7.97% of the total weight of experimental sample, while under SF6 condition, the amount of remaining mass of decomposed epoxy resin was 4.53 mg, accounting for 22.73% of the total weight of experimental sample. The decomposition extent of epoxy resin in three mixed gases follows: 20% SF6/N2 > 30% SF6/N2 > 40% SF6/N2, that is to say, in the mixture of 20% SF6/N2, weight loss of epoxy resin was more severe than in the mixture of 40% SF6/N2.
As the reaction gas, thermal conductivity of SF6 is lower than that of N2, therefore, the poor thermal conductivity of SF6 is not conducive to the decomposition of epoxy resin. However, N2 has higher thermal stability due to its large molecular bond energy of 946 kJ/mol. So N2 will not decompose or react with epoxy resin in the experimental temperature range. In pure SF6, SF6 begins to decompose at about 260 °C, and reaction between SF6 and epoxy resin would help add to the whole weight of the residue. The decrease of SF6 content in gas mixture will reduce the thermal stability of the system, making epoxy resin easier to react with SF6.

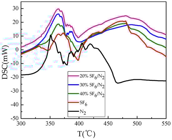
3.2. DSC Curve Analysis of Epoxy Resin Decomposition

In the DSC curve, the convex peak represents an increase in enthalpy(exothermic) and the concave peak represents a decrease in enthalpy(endotherm). Figure 2 is the DSC curves of epoxy resin decomposed under different experimental gas conditions. As can be seen from Figure 2, the decomposition process of epoxy resin is complicated. Within the main weight loss range of 340 °C–470 °C, there are obvious characteristic peaks of heat absorption and release. The process is divided into three reaction stages: melting, exothermic behavior (solidification, oxidation, reaction, crosslinking), decomposition, and gasification. The peak area of heat absorption indicates the reaction energy level. By integrating the endothermic peak area in the main weight loss interval, the endothermic peak energy is obtained and shown in Table 4. The value arranged from big to small in the following order: 20% SF6/N2 > 30% SF6/N2 > 40% SF6/N2 > SF6 > N2.
During the exothermic behavior stage, the peak temperature at this stage is greatly affected by SF6. In pure SF6, the temperature at the exothermic peak is about 370 °C versus 350 °C in pure N2. Besides, in the pure N2, around 400 °C there are also existing some exothermic peaks representing the intrinsic thermal decomposition of epoxy resin. With the amount of SF6 increasing, some consecutive small peaks showed up at about 385 °C. Thermal decomposition of epoxy resin is actually the process of breaking and regenerating chemical bonds. In epoxy resin, C-O bond and C-H bond account for the major chemical bonds, and they are easy to break due to low bond energy. After breaking, free C, H and O atoms are formed, and further combined to form small molecules such as H2O and CO2. As a highly thermal stable gas, chemical bonds in N2 do not break to form N atoms under experimental temperature conditions, therefore, epoxy resin has intrinsic bond breakage in N2. SF6 decomposes at 260 °C in the presence of organic insulating solids [2]. And SF6 decomposes continuously throughout the weight-losing temperature range, a continuous exothermic peaks were shown on the DSC curve, causing the peak values to shift to the high temperature zone compared with the results in N2, indicating that the exothermic behavior is affected by SF6 decomposition.
Decomposition of SF6 is exacerbated with temperature increasing, and more free S and F atoms exist in the reaction gas to form a large amount of sulfides and fluorides resulting in increase of the exothermic peak area. It also confirms the conclusion that the smaller volume fraction of SF6 in the mixture would result in lower thermal stability, although it proved that 20% SF6/N2 has better dielectric property than 40% SF6/N2 [16]. Better dielectric property of 20% SF6/N2 cannot guarantee a better thermal property.

3.3. Effect of Epoxy Resin on the Decomposition Components of SF6/N2 Gas Mixture

In this study, 20% SF6/N2, 30% SF6/N2, and 40% SF6/N2 gas mixtures were selected as experimental gases and the heating temperature was in the range of 200 °C–650 °C. In order to detect the formation temperature of characteristic components as accurately as possible, small heating increment of 2 °C/min was selected, and time interval for continuous gas collection was 15 min, meaning that temperature rose by 30 °C. The volume of collected gas was about 0.3 L and the gas component concentration was detected by GC/MS instrument quickly. The average component concentration in 15 min reflects the component formation rate.

3.3.1. Variation of Characteristic Decomposition Components with Temperature

Seven SF6 decomposition characteristic gases including CO2, SO2, H2S, SOF2, SO2F2, CF4, and CS2 were detected in our study. If the measured characteristic gas concentration is less than 0.05 ppm, it is considered to be below the detection limit of the instrument, meaning the gas is not generated. Judging by the above principle, in the entire temperature range of the experiment, no CS2 or SO2F2 was detected. Therefore, five gases including CO2, SO2, H2S, SOF2, and CF4 were selected as the characteristic decomposition components of overheating failure on epoxy resin surface.
Figure 3 shows the formation of CO2 with temperature. It can be seen that the initial temperature of CO2 formation was always 275 °C under three gas mixtures with different proportions and the rate of CO2 formation increased before 450 °C and the generation rate of CO2 was fastest in the 20% SF6/N2. The formation rate of CO2 tended to become constant during a small temperature range after 450 °C. Finally, the CO2 formation rates of all three gases began to decrease from 515 °C.
Figure 4 shows the pattern of CF4 generation with temperature. The initial temperature of CF4 formation was 455 °C under three different ratios of gas mixtures, and the formation rate of CF4 increased exponentially with the increase of temperature. The relationship of the initial formation concentration shows in the order: 20% SF6/N2 > 30% SF6/N2 > 40% SF6/N2, that is to say, CF4 has fastest formation rate in the 20% SF6/N2 mixture.
The initial formation temperature of CO2 and CF4 in the presence of epoxy resin in mixed gas is the same as the results in pure SF6 [2]. By observing the gas formation of CO2 and CF4, it can be concluded that the formation rate of CO2 became constant when CF4 started to be generated, and the rate of CO2 formation started to decrease versus the increase of CF4 generation rate, which is likely to be caused by the fact that C atom preferentially binds with F atom above 450 °C, which affects the formation rate of CO2.
Figure 5 shows the formation of SO2 and SOF2 with temperature respectively. The initial formation temperature of SO2 and SOF2 was 275 °C under three gas mixtures with different ratios. The formation rates of SO2 and SOF2 increased exponentially with the increase of temperature, and the relationship of the initial formation concentration shows in the order: 20% SF6/N2 > 30% SF6/N2 > 40% SF6/N2. With temperature increasing, the formation rate of SO2 was bigger than that of SOF2.
Compared with the decomposition of epoxy resin in SF6 atmosphere, the formation temperature of SO2 and SOF2 in the presence of epoxy resin is lower [2]. SOF2 reacts with H2O to form SO2. Therefore, it can be seen that the formation of SO2 is greatly affected by H2O. During the decomposition of epoxy resin, more H2O is produced because of the dehydration condensation during elimination reaction within the molecule, which objectively enhances the hydrolysis of SOF2 and the formation of SO2.
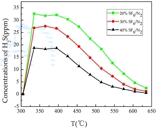
Figure 6 shows the formation of H2S with temperature. The initial formation temperature of H2S in three gas mixtures with different ratios was about 335 °C. The H2S formation rate tended to be constant between 335 °C and 395 °C, and started to decrease above 425 °C. The formation of H2S and CF4 indicates that epoxy resin has entered the stage of rapid decomposition and weight loss. Early detection of this stage can effectively help avoid the serious consequences of further aggravation of overheating fault.

3.3.2. Main Criteria for Determining Weight Loss of Epoxy Resins

It can be seen from the TG curves that the main weight loss temperature range of epoxy resin was 330 °C–470 °C. In this range, under SF6/N2 gas mixture conditions, main criteria for determining weight loss of epoxy resins can be concluded based on the concentration change of the characteristic components, such as H2S mainly generated in the range of 320 °C–350 °C while CF4 generated in the range of 440 °C–470 °C, the initial concentrations of H2S and CF4 had an obvious difference.
In order to obtain the standard for detecting the occurrence of an overheating fault, during heating samples of epoxy resin, concentrations of five characteristic components of CO2, SO2, H2S, SOF2, and CF4 were measured in the interval of 15 °C. Statistically the proportion of H2S and CF4 was used to determine whether the epoxy resin began to lose weight rapidly. When CF4 was not detected, the variation of H2S ratio was used as the criterion. Table 5 shows that the concentrations of H2S at different temperature range during the decomposition of epoxy resin under three gas mixtures. By the way, the concentrations represent the measured value at every interval rather than a cumulative value, reflecting formation rate of H2S. The formation rate of H2S decreased with temperature.
To obtain a mathematical principle for detecting the sharp weight-losing of epoxy resin, the concentrations of H2S in Table 5 should sum up. Because heating rate was 2 °C/min, the sum of concentrations from 320 °C to 440 °C was concentration in one hour. The total concentration of the five characteristic components generated in an hour is set as C(T), as shown in Table 6. C(H2S) represents the concentration of H2S. Before the occurrence of the CF4, the following criteria for determining the weight loss of epoxy resin can be obtained:
C(H2S)/C(T) > 0.01
On the other hand, CF4 began to form from 440 °C. Table 7 shows concentrations of CF4 formed at different temperature range during the decomposition of epoxy resin under three gas mixtures. The formation rate of CF4 increases exponentially with the increase of temperature.
The appearance of CF4 indicates that the rapid weight loss of epoxy resin has come to the late stage, and serious overheating fault has occurred. Setting the total concentration of five characteristic components as C(T), and C(CF4) as the concentration of CF4, the following criteria can be obtained for determining the weight loss range of epoxy resin.
C(CF4)/C(T) > 0.001
Epoxy resin in SF6-infused electrical equipment are designed to have high thermal and dielectric properties. To assess the operating condition of the sealed equipment based on the concentration of characteristic gases change would help find the overheating fault at an early stage. Equation (7) reflects the decomposition of epoxy resin at an early stage and Equation (8) represents the severe condition that epoxy resin enters sharp weight-losing stage. Once partial overheating faults happen on the surface of insulating material, usually it would be a lasting process to cumulate heat slowly so carbonization of epoxy resin in a small defect spot need to be analyzed both by Equations (7) and (8).

3.4. XPS Analysis

Figure 7 shows XPS spectrum of burnt residue of epoxy resin in air and in SF6 atmosphere. Figure 7a shows the XPS spectrum of the epoxy resin in air. It can be seen that the peak intensity of the oxygen element and the carbon element are relatively high.
In Figure 7b, the elemental peaks of F1s and S2p are found in the residue of the epoxy resin after pyrolysis in SF6, indicating that some of the fluoride and sulfide are present in the residue. It is highly probable that fluorine is adsorbed in the form of CF4 by strong hydrogen bonds formed by carbonization of epoxy resin and the specific molecular structure deserves further study. The content of sulfur element is lower than that of fluorine element, indicating that the sulfur element interacts with the epoxy resin as long as it is released as SO2 gas. The chemical reaction mechanism of epoxy resin and SF6 gas also deserves further study.

3.5. Simulation of Decomposition Mechanism of Epoxy Resin

As to the intrinsic decomposition mechanism of epoxy resin at high temperature, the simulation analysis was carried out by using ReacFF force field in Materials Studio software to study the formation of small molecular gases such as CO2 and H2O. Firstly, the molecular model of the bisphenol A epoxy resin after curing was constructed as shown in Figure 8. In the figure, ①, ②, ③, ④, ⑤, ⑥, and ⑦ represent C-O bonds at different positions respectively. The unit cell models of 15 epoxy resin molecules were created by using the Construction function in the tool of Amorphous Cell.
The steps are summarized as follows: Single epoxy resin molecule shown in Figure 8 was constructed, and an initial density of 0.5 g/cm3 was applied. After 300 ps NPT ensemble simulation followed by 1000 ps structural optimization, the final unit cell model with the density of 1.14 g/cm3 was obtained, which is shown in Figure 9. After that, the ReaxFF force field was employed to simulate the decomposition process of the unit cell model at a maximum temperature of 1300 K during local discharge.
Figure 10 is a schematic diagram of the simulated bond breaking process. Figure 10a represents an epoxy resin molecule with the chemical formula of C57H70O14. The decomposition of epoxy resin starts with the cleavage of the C-O bond at locations ① and ② in Figure 8, which have the lowest activation energy, as shown in Figure 10b. After the cleavage the CO2 molecule is directly generated, as shown in Figure 10c. Following that, the C-O bond at location ⑦ in Figure 8 is cleaved, and ethylene radicals and CH2O are formed, as shown in Figure 10d. The C-O bonds at locations ⑤ and ⑥ in Figure 8 are cleaved to form free hydroxyl groups, which generate H2O when encountering highly active H ions, as shown in Figure 10e. Finally, propylene radicals and active bisphenol ions appear in Figure 10f.
Figure 11 shows the decomposition products of the epoxy resin unit cell model as a function of time. It can be seen that CO2 appears around 70 ps, followed by CH2O, and finally H2O. The concentration of CO2 is higher than that of H2O. CO2 mainly comes from the cleavage of the ester bond connecting the epoxy group, and H2O mainly comes from the elimination reaction of macromolecular ions and the dehydration condensation reaction between molecules.
It is conventionally stipulated that the maximum concentration of H2O in the main air chamber of the SF6 gas-insulated equipment to be put into operation should not exceed 500 ppm and the air content should not exceed 1%. Therefore, when there is an early latent insulation fault inside the equipment, the content of each component produced by the decomposition of SF6 will increase with the duration of discharge and overheating, and then the rate of increase will gradually slow down, and finally will reach a state of dynamic equilibrium until further increase happens due to aggravated fault. The presence of organic insulating material is one of the factors that accelerate the deterioration. At high temperature, SF6 is decomposed into low fluorides such as SF4 and SF5, which then react with H2O and O2 molecules. The decomposition process is shown in Equations 9–15.
SF 2 + O 2 SO 2 F 2
SF 4 + H 2 O SOF 2 + 2 HF
2 SF 5 + H 2 O 2 SOF 4 + 2 HF
SOF 4 + H 2 O SO 2 F 2 + 2 HF
SOF 2 + H 2 O SO 2 + 2 HF
SF 6 S * + 6 F
S * + 2 H H 2 S
The H2O molecules generated by epoxy resin due to heating will react with SF6 to form SO2F2, SOF2, SO2 and other gases, which greatly affects the concentrations of decomposition components of SF6. By detecting the changes in concentration of each type of gas and comparing that with the thermal decomposition components of pure SF6, the rule of concentration change of the characteristic gases of the SF6 thermal decomposition components in the presence of epoxy resin can be summarized, and a basic method for judging whether there is a thermal decomposition fault of the epoxy resin in the electrical equipment can be proposed.

4. Conclusions

The thermal decomposition characteristics of epoxy resin in SF6/N2 mixture were studied. The concentration of characteristic decomposition components was detected. The following conclusions are drawn:
  • The TG curve shows that the main weight loss range of epoxy resin is 330 °C–470 °C. The degree of weight loss follows: N2 > 20% SF6/N2 > 30% SF6/N2 > 40% SF6/N2 > SF6. The DSC curves show that the decomposition of epoxy resin under SF6 condition is a series of complex chemical reactions. Epoxy resin decomposition in the 20% SF6/N2 is more severe than in 40% SF6/N2.
  • During heating from 200 °C to 650 °C, the five gases of CO2, SO2, H2S, SOF2, and CF4 are selected as the characteristic decomposition components of SF6. CO2, SO2 and SOF2 are all formed at 275 °C and the formation rate increases exponentially, but the formation rate of CO2 gradually decreases after CF4 has been generated. The formation rate of SO2 is higher than that of SOF2. The reason is that the decomposition of epoxy resin produces H2O, promoting hydrolysis of SOF2.
  • When epoxy resin was heated in the gas mixture, the initial generation temperature of H2S was lower than in the pure SF6, and CF4 generation rate also relatively increased. Concentration change of H2S and CF4 can be used as the criteria for judging the sudden weight loss caused by overheating fault happening on the surface of epoxy resin. 20% SF6/N2, 30% SF6/N2, and 40% SF6/N2 share the same judging standard: When there is no CF4 generation, H2S is used as the criterion depicted as follow: C(H2S)/C(T) > 0.01; when CF4 is generated, CF4 is used as the criterion depicted as follow: C(CF4)/C(T) > 0.001, among which C(T) represents the total decomposition gas concentration.
  • Thermal decomposition process of epoxy resin was simulated by the ReaxFF force field to reveal basic chemical reactions in terms of bond-breaking order, which further verified that CO2 and H2O produced during thermal decomposition of epoxy resin can intensify degradation of SF6 dielectric property. To judge the operation situation of SF6-infused electrical equipment, the problem of overheating faults involving epoxy resin decomposition should draw more attention.

Author Contributions

Data curation, H.W.; Formal analysis, H.W., R.X. and Y.W.; Methodology, H.W., Z.Y. and Y.W.; Project administration, H.W., X.Z., R.X., Z.Y. and Y.W.; Supervision, X.Z. and R.X.; Writing—original draft, H.W.; Writing—review & editing, H.W. and X.Z.

Funding

This research was funded by The National Key and Development Plan in China. Grant number: 2017YFB0903805.

Conflicts of Interest

The authors declare no conflicts of interest.

References

  1. Chu, F.Y. SF6 Decomposition in Gas-Insulated Equipment. IEEE Trans. Electr. Insul. 1986, 21, 693–725. [Google Scholar] [CrossRef]
  2. Tang, J.; Liu, F.; Zhang, X.; Ren, X.; Fan, M. Characteristics of the Concentration Ratio of SO2F2 to SOF2 as the Decomposition Products of SF6 Under Corona Discharge. IEEE Trans. Plasma. Sci. 2012, 40, 56–62. [Google Scholar] [CrossRef]
  3. Stoller, P.C.; Doiron, C.B.; Tehlar, D.; Simka, P.; Ranjan, N. Mixtures of CO2 and C5F10O perfluoroketone for high voltage applications. IEEE Trans. Dielectr. Electr. Insul. 2017, 24, 2712–2721. [Google Scholar] [CrossRef]
  4. Resnik, M.; Zaplotnik, R.; Mozetic, M.; Vesel, A. Comparison of SF6 and CF4 Plasma Treatment for Surface Hydrophobization of PET Polymer. Materials 2018, 11, 311. [Google Scholar] [CrossRef] [PubMed]
  5. Zhang, X.; Li, Y.; Chen, D.; Xiao, S.; Tian, S.; Tang, J.; Zhuo, R. Reactive molecular dynamics study of the decomposition mechanism of the environmentally friendly insulating medium C3F7CN. Rsc. Adv. 2017, 7, 50663–50671. [Google Scholar] [CrossRef]
  6. Qu, B.; Yang, Q.; Li, Y.; Malekian, R.; Li, Z. A New Concentration Detection System for SF6/N2 Mixture Gas in Extra/Ultra High Voltage Power Transmission Systems. IEEE Sens. J. 2018, 99. [Google Scholar] [CrossRef]
  7. Albano, M.; Haddad, A.; Griffiths, H.; Coventry, P. Environmentally Friendly Compact Air-Insulated High-Voltage Substations. Energies 2018, 11, 2492. [Google Scholar] [CrossRef]
  8. Chen, K.S.; Yeh, R.Z.; Wu, C.H. Kinetics of Thermal Decomposition of Epoxy Resin in Nitrogen-Oxygen Atmosphere. J. Environ. Eng. 1997, 123, 1041–1046. [Google Scholar] [CrossRef]
  9. Sun, W.; Li, Y.; Zheng, D.S.; Guo, R.Y.; Du, X.H. Insulation characteristics of SF6/N2 gas mixtures and applied researches. Electr. Insul. Dielectr. Phenom. 2014. [Google Scholar] [CrossRef]
  10. Guo, C.; Zhang, Q.; You, H.; Ma, J.; Li, Y.; Wen, T.; Qin, Y. Influence of electric field non-uniformity on breakdown characteristics in SF6/N2 gas mixtures under lightning impulse. IEEE Trans. Dielectr. Electr. Insul. 2017, 24, 2248–2258. [Google Scholar] [CrossRef]
  11. Han, S.U.; Yong, S.B.; Song, K.B.; Choi, E.H.; Ryu, H.Y.; Lee, J. Analytical investigation of electrical breakdown properties in a nitrogen-SF6 mixture gas. Phys. Plasmas. 2010, 17, 1291. [Google Scholar] [CrossRef]
  12. Hoshina, Y.; Sato, M.; Murase, H.; Toyada, M.; Kobayashi, A. Dielectric properties of SF6/N2 gas mixtures on a full scale model of the gas-insulated busbar. IEEE Power Eng. Soc. Winter Meet. 2000. [Google Scholar] [CrossRef]
  13. Piemontesi, M.; Koenig, F.; Niemeyer, L.; Heitz, C. Insulation performance of 10% SF6/90% N2 mixture. In Proceedings of the 1999 Annual Report Conference on Electrical Insulation and Dielectric Phenomena (Cat. No.99CH36319), Austin, TX, USA, 17–20 October 1999. [Google Scholar] [CrossRef]
  14. Rokunohe, T.; Yagihashi, Y.; Endo, F.; Oomori, T. Fundamental insulation characteristics of air; N2, CO2, N2/O2, and SF6/N2 mixed gases. Electr. Eng. Jpn. 2010, 155, 9–17. [Google Scholar] [CrossRef]
  15. Vial, L.; Casanovas, A.M.; Diaz, J.; Coll, I.; Casanovas, J. Decomposition of high-pressure (400 kPa) SF6 and SF6/N2 (10:90) mixtures submitted to negative or 50 Hz ac corona discharges in the presence of water vapour and/or oxygen. J. Phys. D Appl. Phys. 2001, 34, 2037. [Google Scholar] [CrossRef]
  16. Casanovas, A.-M.; Vial, L.; Coll, I.; Storer, M.; Casanovas, J.; Clavreul, R. Decomposition of SF6 Under AC and DC Corona Discharges in High-Pressure SF6 and SF6/N2 (10–90%) Mixtures. Gaseous Dielectr. 1998. [Google Scholar] [CrossRef]
  17. Kamath, B.R.; Sundararajan, J. Study of metallic particle induced partial discharge activity in 10:90 SF6-N2 gas mixtures. In Proceedings of the IEEE International Conference on the Properties and Applications of Dielectric Materials, Icpadm 2009, Harbin, China, 19–23 July 2009. [Google Scholar] [CrossRef]
  18. Imano, A.M.; Feser, K. Flashover behavior of conducting particle on the spacer surface in compressed N2, 90%N2+10%SF6 and SF6 under lightning impulse stress. In Proceedings of the Conference Record of the 2000 IEEE International Symposium on Electrical Insulation (Cat. No.00CH37075), Anaheim, CA, USA, 5 April 2000. [Google Scholar] [CrossRef]
  19. Gong, G.; Zhang, P.; Dong, G.Y.; Dong, Z. The influence of SF6 and SF6/N2 dissociating products on the electrical performance of several insulating varnishes. In Proceedings of the International Symposium on Electrical Insulating Materials, Tokyo, Japan, 17–20 September 1995. [Google Scholar] [CrossRef]
  20. Stankovic, K.; Alimpijevic, M.; Vujisic, M.; Osmokrovic, P. Numerical Generation of a Statistic Sample of the Pulse Breakdown Voltage Random Variable in SF6 Gas with Homogenous and Nonhomogenous Electric Field. IEEE Trans. Plasma. Sci. 2014, 42, 3508–3519. [Google Scholar] [CrossRef]
  21. Osmokrovic, P.; Vujisic, M.; Stankovic, K.; Vasic, A.; Loncar, B. Mechanism of electrical breakdown of gases for pressures from 10−9 to 1 bar and inter-electrode gaps from 0.1 to 0.5 mm. Plasma. Sources. Sci. Technol. 2007, 16, 643. [Google Scholar] [CrossRef]
  22. Wang, C.; Tu, Y.; Li, X.; Tan, R. Performance of flashover on the resin spacer surface in N2/SF6 and SF6/air gas mixture under AC power frequency. In Proceedings of the Conference Record of the 2012 IEEE International Symposium on Electrical Insulation, San Juan, PR, USA, 10–13 June 2012. [Google Scholar] [CrossRef]
  23. Rajan, J.S.; Dwarakanath, K.; Srinivasan, N. Surface flashover strength of different insulating materials in N2-SF6 gas mixtures under combined AC/DC voltages. In Proceedings of the International Symposium on Electrical Insulating Materials, Himeji, Japan, 22 November 2001. [Google Scholar] [CrossRef]
  24. Zheng, Y.; Zhou, W.; Yang, S.; Qiao, S.; Huang, J.; Qin, Z. Temperature effect on the insulation performance of SF6/N2 gas mixture at a constant volume. In Proceedings of the IEEE International Conference on High Voltage Engineering and Application, Chengdu, China, 19–22 September 2016. [Google Scholar] [CrossRef]
Figure 1. TG curve of epoxy resin decomposition under different experimental gases.
Figure 1. TG curve of epoxy resin decomposition under different experimental gases.
Materials 12 00075 g001
Figure 2. DSC curve of epoxy resin decomposed under different experimental gas conditions.
Figure 2. DSC curve of epoxy resin decomposed under different experimental gas conditions.
Materials 12 00075 g002
Figure 3. Formation of CO2 with temperature.
Figure 3. Formation of CO2 with temperature.
Materials 12 00075 g003
Figure 4. Formation of CF4 with temperature.
Figure 4. Formation of CF4 with temperature.
Materials 12 00075 g004
Figure 5. Formation of SO2 and SOF2 with temperature (a) SO2; (b) SOF2.
Figure 5. Formation of SO2 and SOF2 with temperature (a) SO2; (b) SOF2.
Materials 12 00075 g005
Figure 6. Formation of H2S with temperature.
Figure 6. Formation of H2S with temperature.
Materials 12 00075 g006
Figure 7. XPS spectrums of residues of pure epoxy after decomposition (a) in air (b) in SF6 heated after 500 °C.
Figure 7. XPS spectrums of residues of pure epoxy after decomposition (a) in air (b) in SF6 heated after 500 °C.
Materials 12 00075 g007
Figure 8. Single cured epoxy resin molecule.
Figure 8. Single cured epoxy resin molecule.
Materials 12 00075 g008
Figure 9. A unit cell model for epoxy resin.
Figure 9. A unit cell model for epoxy resin.
Materials 12 00075 g009
Figure 10. Schematic diagram of simulated bond-breaking process.
Figure 10. Schematic diagram of simulated bond-breaking process.
Materials 12 00075 g010
Figure 11. Theoretical byproduct numbers change during decomposition of epoxy resin cell over time.
Figure 11. Theoretical byproduct numbers change during decomposition of epoxy resin cell over time.
Materials 12 00075 g011
Table 1. Experimental gas densities at 0 °C under standard atmospheric pressure.
Table 1. Experimental gas densities at 0 °C under standard atmospheric pressure.
Type of GasSF6N220% SF6/N230% SF6/N240% SF6/N2
Density/(kg/m3)6.52001.25062.30462.83163.3586
Table 2. Specific heat capacity of experimental gases at constant pressure at 25 °C under standard atmospheric pressure.
Table 2. Specific heat capacity of experimental gases at constant pressure at 25 °C under standard atmospheric pressure.
Type of GasSF6N220% SF6/N230% SF6/N240% SF6/N2
Specific Heat Capacity/(J/kg·K)665.1801040.000827.893781.055748.910
Table 3. The calculated values of thermal conductivities at 0 °C under standard atmospheric pressure.
Table 3. The calculated values of thermal conductivities at 0 °C under standard atmospheric pressure.
Types of GasSF6N220% SF6/N230% SF6/N240% SF6/N2
Thermal Conductivity/(W/m·K)0.012060.025980.023780.022560.02129
Table 4. Experimental gas exothermic peak energy at 330 °C–470 °C.
Table 4. Experimental gas exothermic peak energy at 330 °C–470 °C.
Types of GasSF6N220% SF6/N230% SF6/N240% SF6/N2
Exothermic Peak Energy/mJ9359.286718.1711,648.3310,520.459587.56
Table 5. Concentrations of H2S at different temperature range in the interval of 15 °C (ppm).
Table 5. Concentrations of H2S at different temperature range in the interval of 15 °C (ppm).
Unit/%320 °C335 °C350 °C365 °C380 °C395 °C410 °C425 °C440 °C
20% SF6/N29.4410.129.017.635.384.973.942.801.24
30% SF6/N209.328.967.825.014.112.882.630.99
40% SF6/N2010.109.227.775.894.824.123.622.09
Table 6. Total concentration of five characteristic gases at different temperature range in the interval of 15 °C (ppm).
Table 6. Total concentration of five characteristic gases at different temperature range in the interval of 15 °C (ppm).
Unit/%350 °C365 °C380 °C395 °C410 °C425 °C440 °C455 °C470 °C
20% SF6/N21037.811440.821673.292152.992435.983367.674359.825167.275557.31
30% SF6/N2733.95908.331023.891332.361241.071996.002112.522985.673811.16
40% SF6/N2527.16727.37772.421051.191113.771554.411493.301596.542095.89
Table 7. Concentrations of CF4 at different temperature range in the interval of 15 °C (ppm).
Table 7. Concentrations of CF4 at different temperature range in the interval of 15 °C (ppm).
Unit/%440 °C455 °C470 °C
20% SF6/N20.100.100.11
30% SF6/N20.180.230.24
40% SF6/N20.280.310.32

Share and Cite

MDPI and ACS Style

Wen, H.; Zhang, X.; Xia, R.; Yang, Z.; Wu, Y. Thermal Decomposition Properties of Epoxy Resin in SF6/N2 Mixture. Materials 2019, 12, 75. https://doi.org/10.3390/ma12010075

AMA Style

Wen H, Zhang X, Xia R, Yang Z, Wu Y. Thermal Decomposition Properties of Epoxy Resin in SF6/N2 Mixture. Materials. 2019; 12(1):75. https://doi.org/10.3390/ma12010075

Chicago/Turabian Style

Wen, Hao, Xiaoxing Zhang, Rong Xia, Zilai Yang, and Yunjian Wu. 2019. "Thermal Decomposition Properties of Epoxy Resin in SF6/N2 Mixture" Materials 12, no. 1: 75. https://doi.org/10.3390/ma12010075

APA Style

Wen, H., Zhang, X., Xia, R., Yang, Z., & Wu, Y. (2019). Thermal Decomposition Properties of Epoxy Resin in SF6/N2 Mixture. Materials, 12(1), 75. https://doi.org/10.3390/ma12010075

Note that from the first issue of 2016, this journal uses article numbers instead of page numbers. See further details here.

Article Metrics

Back to TopTop