Model of the Magnetostrictive Hysteresis Loop with Local Maximum
Abstract
1. Introduction
2. Principles of Modeling the Magnetostrictive Hysteresis Loops
3. The Proposed Model of the Magnetostrictive Hysteresis Loop with Local Maxima
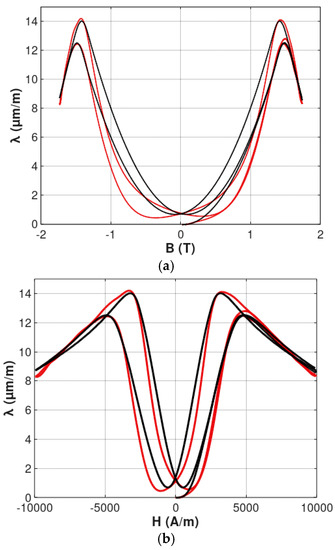
4. Validation of the Model
4.1. Materials and the Method of Measurements
4.2. Identification of the Parameters of the Model
5. Conclusions
Funding
Conflicts of Interest
References
- Seco, F.; Martin, J.M.; Jimenez, A.R. Improving the Accuracy of Magnetostrictive Linear Position Sensors. IEEE Trans. Instrum. Meas. 2009, 58, 722–729. [Google Scholar] [CrossRef]
- Li, Y.; Sun, L.; Jin, S.; Sun, L.B. Development of Magnetostriction Sensor for on-line Liquid Level and Density Measurement. In Proceedings of the 6th World Congress on Intelligent Control and Automation, Dalian, China, 21–23 June 2006; pp. 5162–5166. [Google Scholar] [CrossRef]
- Chang, H.-C.; Liao, S.-C.; Hsieh, H.-S.; Wen, J.-H.; Lai, C.-H.; Fang, W. Magnetostrictive type inductive sensing pressure sensor. Sens. Actuators A Phys. 2016, 238, 25–36. [Google Scholar] [CrossRef]
- Li, P.; Liu, Q.; Li, S.; Wang, Q.; Zhang, D.; Li, Y. Design and numerical simulation of novel giant magnetostrictive ultrasonic transducer. Res. Phys. 2017, 7, 3946–3954. [Google Scholar] [CrossRef]
- Zhu, W.; Bian, L.X.; Cheng, L.; Rui, X.T. Non-linear compensation and displacement control of the bias-rate-dependent hysteresis of a magnetostrictive actuator. Precis. Eng. 2017, 50, 107–113. [Google Scholar] [CrossRef]
- Bieńkowski, A.; Kulikowski, J. The magneto-elastic Villari effect in ferrites. J. Magn. Magn. Mater. 1980, 19, 120–122. [Google Scholar] [CrossRef]
- Li, M.; Li, J.; Bao, X.; Mu, X.; Gao, X. Magnetostrictive Fe82Ga13.5Al4.5 wires with large Wiedemann twist over wide temperature range. Mater. Des. 2017, 135, 197–203. [Google Scholar] [CrossRef]
- Zhukov, A.; Ipatov, M.; Churyukanova, M.; Talaat, A.; Blanco, J.M.; Zhukova, V. Trends in optimization of giant magnetoimpedance effect in amorphous and nanocrystalline materials. J. Alloys Compd. 2017, 727, 887–901. [Google Scholar] [CrossRef]
- Dimitropoulos, P.D.; Avaritsiotis, J.N. A micro-fluxgate sensor based on the Matteucci effect of amorphous magnetic fibers. Sens. Actuators A Phys. 2001, 94, 165–176. [Google Scholar] [CrossRef]
- Dapino, M.J. On magnetostrictive materials and their use in adaptive structures. Struct. Eng. Mech. 2004, 17, 303–329. [Google Scholar] [CrossRef]
- Sablik, M.J.; Jiles, D.C. A model for hysteresis in magnetostriction. J. Appl. Phys. 1988, 64, 5402–5404. [Google Scholar] [CrossRef]
- Bieńkowski, A.; Szewczyk, R. Magnetostrictive Properties of Mn0.70Zn0.24Fe2.06O4 Ferrite. Materials 2018, 11, 1894. [Google Scholar] [CrossRef] [PubMed]
- Juś, A.; Nowak, P.; Gińko, O. Assessment of the Magnetostrictive Properties of the Selected Construction Steel. Acta Phys. Pol. A 2017, 131, 1084–1086. [Google Scholar] [CrossRef]
- Gińko, O.; Juś, A.; Szewczyk, R. Test Stand for Measuring Magnetostriction Phenomena Under External Mechanical Stress with Foil Strain Gauges. In Advances in Intelligent Systems and Computing, Proceedings of the Challenges in Automation, Robotics and Measurement Techniques (ICA 2016), Warsaw, Poland, 2–4 March 2016; Szewczyk, R., Zieliński, C., Kaliczyńska, M., Eds.; Springer: Berlin, Germany, 2017. [Google Scholar] [CrossRef]
- Bozorth, R.M. Ferromagnetism; Wiley-IEEE Press: New York, NY, USA, 1978. [Google Scholar]
- Jiles, D.C. Introduction to Magnetism and Magnetic Materials; CRC Press: Boca Raton, FL, USA, 2015. [Google Scholar]
- Calkins, F.T.; Smith, R.C.; Flatau, A.B. Energy-based hysteresis model for magnetostrictive transducers. IEEE Trans. Magn. 2000, 36, 429–439. [Google Scholar] [CrossRef]
- Hsu, C.-H.; Huang, Y.-M.; Hsieh, M.-F.; Fu, C.-M.; Adireddy, S.; Chrisey, D.B. Transformer sound level caused by core magnetostriction and winding stress displacement variation. AIP Adv. 2017, 7, 056681. [Google Scholar] [CrossRef]
- Cheng, S.-J.; Liu, J.-J.; Chang, Y.-H.; Fu, C.-M.; Hsu, C.-H.; Lee, C.-Y.; Chang, C.-W. Correlation of magnetostriction variation on magnetic loss and noise for power transformer. J. Appl. Phys. 2015, 117, 17E716. [Google Scholar] [CrossRef]
- Sablik, M.J.; Jiles, D.C. Coupled magnetoelastic theory of magnetic and magnetostrictive hysteresis. IEEE Trans. Magn. 1993, 29, 2113–2123. [Google Scholar] [CrossRef]
- Bieńkowski, A.; Kaczkowski, Z. Major and minor magnetostriction hysteresis loops of Co–Cu–Ni ferrite. J. Magn. Magn. Mater. 2000, 215–216, 234–236. [Google Scholar] [CrossRef]
- Szewczyk, R.; Bieńkowski, A.; Kolano-Burian, A. Magnetostrictive properties of Fe40Ni38Mo4B18 alloy. Mater. Sci. Eng. A 2004, 375–377, 1137–1139. [Google Scholar] [CrossRef]
- Szewczyk, R. Modelling of the magnetic and magnetostrictive properties of high permeability Mn-Zn ferrites. PRAMANA J. Phys. 2006, 67, 1165–1171. [Google Scholar] [CrossRef]
- Ueda, Y.; Takahashi, M. Structure and magnetic properties in single-crystal iron film electrodeposited on a (110) copper crystal. J. Magn. Magn. Mater. 1988, 71, 212–218. [Google Scholar] [CrossRef]
- Gou, J.; Liu, X.; Wu, K.; Wang, Y.; Hu, S.; Zhao, H.; Xiao, A.; Ma, T.; Yan, M. Tailoring magnetostriction sign of ferromagnetic composite by increasing magnetic field strength. Appl. Phys. Lett. 2016, 109, 082404. [Google Scholar] [CrossRef]
- Bozorth, R.M.; Tilden, E.F.; Williams, A.J. Anisotropy and Magnetostriction of Some Ferrites. Phys. Rev. 1955, 99, 1788. [Google Scholar] [CrossRef]
- Piotrowski, L.; Chmielewski, M.; Augustyniak, B. On the correlation between magnetoacoustic emission and magnetostriction dependence on the applied magnetic field. J. Magn. Magn. Mater. 2016, 410, 34–40. [Google Scholar] [CrossRef]
- Tremolet, E. Magnetostriction; C.R.C. Press: London, UK, 1992. [Google Scholar]
- Mandl, F. Statistical Physics; John Wiley & Sons: Hoboken, NJ, USA, 2008. [Google Scholar]
- Bieńkowski, A. Some problems of measurement of magnetostriction in ferrites under stresses. J. Magn. Magn. Mater. 1992, 112, 143–145. [Google Scholar] [CrossRef]
- Atkinson, K.A. An Introduction to Numerical Analysis; John Wiley & Sons: Hoboken, NJ, USA, 1989. [Google Scholar]
- Nelder, J.A.; Mead, R. A simplex method for function minimization. Comput. J. 1965, 7, 308–313. [Google Scholar] [CrossRef]
- Biedrzycki, R.; Jackiewicz, D.; Szewczyk, R. Reliability and Efficiency of Differential Evolution Based Method of Determination of Jiles-Atherton Model Parameters for X30Cr13 Corrosion Resisting Martensitic Steel. J. Autom. Mob. Robot. Intell. Syst. 2014, 8, 63–68. [Google Scholar] [CrossRef]









| Parameter | Unit | Mn0.70Zn0.24Fe2.06O4 Ferrite | 13CrMo4-5 Steel |
|---|---|---|---|
| a1 | 8.10 | 6.73 | |
| a2 | −10.07 | −25.93 | |
| Bswitch | T | 0.312 | 1.338 |
| k | - | 0.039 | 0.101 |
| alift-off | 0.253 | 0.495 | |
| ahyst | 0.561 | 0.908 | |
| R2 | - | 0.995 | 0.985 |
© 2018 by the author. Licensee MDPI, Basel, Switzerland. This article is an open access article distributed under the terms and conditions of the Creative Commons Attribution (CC BY) license (http://creativecommons.org/licenses/by/4.0/).
Share and Cite
Szewczyk, R. Model of the Magnetostrictive Hysteresis Loop with Local Maximum. Materials 2019, 12, 105. https://doi.org/10.3390/ma12010105
Szewczyk R. Model of the Magnetostrictive Hysteresis Loop with Local Maximum. Materials. 2019; 12(1):105. https://doi.org/10.3390/ma12010105
Chicago/Turabian StyleSzewczyk, Roman. 2019. "Model of the Magnetostrictive Hysteresis Loop with Local Maximum" Materials 12, no. 1: 105. https://doi.org/10.3390/ma12010105
APA StyleSzewczyk, R. (2019). Model of the Magnetostrictive Hysteresis Loop with Local Maximum. Materials, 12(1), 105. https://doi.org/10.3390/ma12010105
