Fracture Properties and Softening Curves of Steel Fiber-Reinforced Slag-Based Geopolymer Mortar and Concrete
Abstract
:1. Introduction
2. Experiment Program
2.1. Constituent Materials
2.2. Mix Proportion
2.3. Sample Preparation
2.4. Testing Procedure
2.4.1. Compressive and Splitting Tensile Strength Tests
2.4.2. Three-Point Bending (TPB) Test
3. Testing Results and Discussion
3.1. Experimental Phenomena
3.2. Compressive and Splitting Tensile Strengths
3.3. Load-Deflection Curves and Ultimate Load
3.4. Load Fracture Properties
3.4.1. Fracture Energy
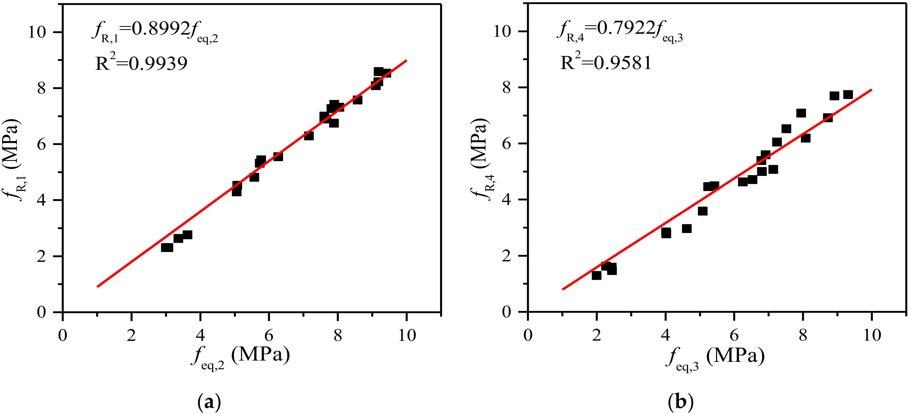
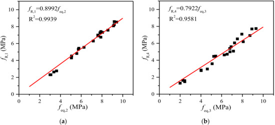
3.4.2. Equivalent and Residual Flexural Strengths
3.4.3. Fracture Toughness
- (1)
- Calculate the Young’s modulus E using Equations (10) and (11) according to the initial cracking load Pini and the corresponding CMOD;
- (2)
- Insert the measured maximum load Pu and the corresponding CMODc, and the Young’s modulus E into Equation (10) to calculate the critical crack length ac;
- (3)
- Substitute the measured maximum load Pu and the evaluated ac into Equation (8) to obtain the fracture toughness.
3.4.4. Softening Curves
4. Conclusions
- (1)
- The inclusion of steel fibers increases both the compressive strength and the splitting tensile strength of SGM and SGC, while the reinforcing efficiency is more significant on the splitting tensile strength. The enhancements of the compressive and splitting tensile strengths increase with the fiber volume contents for SGM, while SGC has an optimal fiber volume content of 1.5%. In addition, the existing formula for steel fiber-reinforced PCC underestimates the splitting tensile strengths of steel fiber-reinforced SGC and SGM.
- (2)
- The equivalent flexural strength feq,2 of both SGM and SGC is higher than their other equivalent flexural strength feq,3, and a linear trend between them is found. The residual flexural strength fR,4 is about 79% of the other residual flexural strength fR,1. A strong correlation between the equivalent and residual flexural strengths is also observed.
- (3)
- The addition of steel fiber significantly improves the fracture energy of SGM and SGC. For SGM, the enhancement of fracture energy increases with the fiber volume content. The fracture energy of SGC reaches the largest value when the fiber volume content is 1.5%. The fracture toughness increases significantly with the fiber incorporation and the improvement can be more than four times for SGM with the fiber volume dosage of 2.0%.
- (4)
- The trilinear strain-softening diagram can be used to predict the load-displacement curves of steel fiber-reinforced SGM and SGC.
Author Contributions
Funding
Conflicts of Interest
References
- Ding, Y.; Yu, J.T.; Yu, K.Q.; Xu, S.L. Basic mechanical properties of ultra-high ductility cementitious composites: From 40 MPa to 120 MPa. Compos. Struct. 2018, 185, 634–645. [Google Scholar] [CrossRef]
- Ding, Y.; Yu, K.Q.; Yu, J.T.; Xu, S.L. Structural behaviors of ultra-high performance engineered cementitious composites (UHP-ECC) beams subjected to bending-experimental study. Constr. Build. Mater. 2018, 177, 102–115. [Google Scholar] [CrossRef]
- Yu, K.; Li, L.; Yu, J.; Xiao, J.; Ye, J.; Wang, Y. Feasibility of using ultra-high ductility cementitious composites for concrete structures without steel rebar. Eng. Struct. 2018, 170, 11–20. [Google Scholar] [CrossRef]
- Wang, S.D.; Scrivener, K.L.; Pratt, P.L. Factors affecting the strength of alkali-activated slag. Cem. Concr. Res. 2014, 24, 1033–1043. [Google Scholar] [CrossRef]
- Palomo, A.; Grutzeck, M.W.; Blanco, M.T. Alkali-activated fly ashes: A cement for the future. Cem. Concr. Res. 1999, 29, 1323–1329. [Google Scholar] [CrossRef]
- Roy, D.M. Alkali-activated cements opportunities and challenges. Cem. Concr. Res. 1999, 29, 249–254. [Google Scholar] [CrossRef]
- Hardjito, D.; Wallah, S.E.; Sumajouw, D.M.; Rangan, B.V. On the development of fly ash-based geopolymer concrete. ACI Mater. J. 2004, 101, 467–472. [Google Scholar]
- Purdon, A.O. The action of alkalis on blast-furnace slag. J. Soc. Chem. Ind. 1940, 59, 191–202. [Google Scholar]
- Shi, C.; Roy, D.; Krivenko, P. Alkali-Activated Cements and Concretes; CRC press: Boca Raton, FL, USA, 2006. [Google Scholar]
- Ding, Y.; Dai, J.G.; Shi, C.J. Mechanical properties of alkali-activated concrete: A state-of-the-art review. Constr. Build. Mater. 2016, 127, 68–79. [Google Scholar] [CrossRef]
- Wang, S.D.; Pu, X.C.; Scrivener, K.L.; Pratt, P.L. Alkali-activated slag cement and concrete: A review of properties and problems. Adv. Cem. Res. 1995, 7, 93–102. [Google Scholar] [CrossRef]
- Collins, F.G.; Sanjayan, J.G. Workability and mechanical properties of alkali activated slag concrete. Cem. Concr. Res. 1999, 29, 455–458. [Google Scholar] [CrossRef]
- Collins, F.G.; Sanjayan, J.G. Cracking tendency of alkali-activated slag concrete subjected to restrained shrinkage. Cem. Concr. Res. 2000, 30, 791–798. [Google Scholar] [CrossRef]
- Collins, F.G.; Sanjayan, J.G. Microcracking and strength development of alkali activated slag concrete. Cem. Concr. Compos. 2001, 23, 345–352. [Google Scholar] [CrossRef]
- Atiş, C.D.; Bilim, C.; Çelik, O.; Karahan, O. Influence of activator on the strength and drying shrinkage of alkali-activated slag mortar. Constr. Build. Mater. 2009, 23, 548–555. [Google Scholar] [CrossRef]
- Bernal, S.; Mejía de Gutierrez, R.; Rodriguez, E.; Delvasto, S.; Puertas, F. Mechanical behavior of steel fibre-reinforced alkali activated slag concrete. Mater. Constr. 2009, 59, 53–62. [Google Scholar]
- Bernal, S.; De Gutierrez, R.; Delvasto, S.; Rodriguez, E. Performance of an alkali-activated slag concrete reinforced with steel fibers. Constr. Build. Mater. 2010, 24, 208–214. [Google Scholar] [CrossRef]
- Aydın, S.; Baradan, B. The effect of fiber properties on high performance alkali-activated slag/silica fume mortars. Compos. Part B Eng. 2013, 45, 63–69. [Google Scholar] [CrossRef]
- Puertas, F.; Gil-Maroto, A.; Palacios, M.; Amat, T. Alkali-activated slag mortars reinforced with AR glassfibre. Performance and properties. Mater. Constr. 2006, 56, 79–90. [Google Scholar]
- Alcaide, J.S.; Alcocel, E.G.; Puertas, F.; Lapuente, R.; Garcés, P. Carbon fibre-reinforced, alkali-activated slag mortars. Mater. Constr. 2007, 57, 33–48. [Google Scholar]
- Zegardło, B.; Szeląg, M.; Ogrodnik, P. Ultra-high strength concrete made with recycled aggregate from sanitary ceramic wastes-The method of production and the interfacial transition zone. Constr. Build. Mater. 2016, 122, 736–742. [Google Scholar] [CrossRef]
- Del Bosque, I.S.; Zhu, W.; Howind, T.; Matías, A.; de Rojas, M.S.; Medina, C. Properties of interfacial transition zones (ITZs) in concrete containing recycled mixed aggregate. Cem. Concr. Compos. 2017, 81, 25–34. [Google Scholar] [CrossRef]
- Siddique, S.; Shrivastava, S.; Chaudhary, S. Lateral force microscopic examination of interfacial transition zone in ceramic concrete. Constr. Build. Mater. 2017, 155, 688–725. [Google Scholar] [CrossRef]
- Wang, X.H.; Jacobsen, S.; He, J.Y.; Zhang, Z.L.; Lee, S.F.; Lein, H.L. Application of nanoindentation testing to study of the interfacial transition zone in steel fiber reinforced mortar. Cem. Concr. Res. 2009, 39, 701–715. [Google Scholar] [CrossRef]
- Shi, C.; Xie, P. Interface between cement paste and quartz sand in alkali-activated slag mortars. Cem. Concr. Res. 1998, 28, 887–896. [Google Scholar] [CrossRef]
- San Nicolas, R.; Provis, J.L. Interfacial transition zone in alkali-activated slag concrete. In Proceeding of the 12th International Conference on Recent Advances in Concrete Technology and Sustainability Issues; American Concrete Institute (ACI): Prague, Czech Republic, 2012. [Google Scholar]
- Castel, A.; Foster, S.J. Bond strength between blended slag and Class F fly ash geopolymer concrete with steel reinforcement. Cem. Concr. Res. 2015, 72, 48–53. [Google Scholar] [CrossRef]
- Nataraja, M.C.; Dhang, N.; Gupta, A.P. Stress–strain curves for steel-fiber reinforced concrete under compression. Cem. Concr. Compos. 1999, 21, 383–390. [Google Scholar] [CrossRef]
- Zollo, R.F. Fiber-reinforced concrete: An overview after 30 years of development. Cem. Concr. Compos. 1997, 19, 107–122. [Google Scholar] [CrossRef]
- Bhutta, A.; Borges, P.H.; Zanotti, C.; Farooq, M.; Banthia, N. Flexural behavior of geopolymer composites reinforced with steel and polypropylene macro fibers. Cem. Concr. Compos. 2017, 80, 31–40. [Google Scholar] [CrossRef]
- RILEM, FMC1. Determination of the Fracture Energy of Mortar and Concrete by Means of Three-Point Bend Tests on Notched Beams, RILEM Technical Recommendations for the Testing and Use of Construction Materials, E and FN SPON; Taylor/Francis: London, UK, 1994; pp. 99–101. [Google Scholar]
- Ding, Y.; Dai, J.G.; Shi, C.J. Fracture properties of alkali-activated slag and ordinary Portland cement concrete and mortar. Constr. Build. Mater. 2018, 165, 310–320. [Google Scholar] [CrossRef]
- Ding, Y.; Dai, J.G.; Shi, C.J. Mechanical Properties of Alkali-Activated Concrete Subjected to Impact Load. J. Mater. Civ. Eng. 2018, 30, 04018068. [Google Scholar] [CrossRef]
- Brough, A.R.; Atkinson, A. Sodium silicate-based, alkali-activated slag mortars: Part I. Strength, hydration and microstructure. Cem. Concr. Res. 2002, 32, 865–879. [Google Scholar] [CrossRef]
- Standard for Test Method of Mechanical Properties in Ordinary Concrete; Chinese National Standard GT/B 50081-2002; China Architecture and Building Press: Beijing, China, 2003.
- Bharatkumar, B.H.; Raghuprasad, B.K.; Ramachandramurthy, D.S.; Narayanan, R.; Gopalakrishnan, S. Effect of fly ash and slag on the fracture characteristics of high performance concrete. Mater. Struct. 2005, 38, 63–72. [Google Scholar] [CrossRef]
- Rilem, T.C. 162-TDF. Test and design methods for steel fibre reinforced concrete. Mater. Struct. 2002, 35, 579–582. [Google Scholar] [CrossRef]
- Shah, S.P. Determination of fracture parameters (K Ic s and CTOD c) of plain concrete using three-point bend tests. Mater. Struct. 1990, 23, 457–460. [Google Scholar] [CrossRef]
- Sahmaran, M.; Yaman, I.O. Hybrid fiber reinforced self-compacting concrete with a high-volume coarse fly ash. Constr. Build. Mater. 2007, 21, 150–156. [Google Scholar] [CrossRef]
- Dawood, E.T.; Ramli, M. High strength characteristics of cement mortar reinforced with hybrid fibres. Constr. Build. Mater. 2011, 25, 2240–2247. [Google Scholar] [CrossRef]
- Song, P.S.; Hwang, S. Mechanical properties of high-strength steel fiber-reinforced concrete. Constr. Build. Mater. 2004, 18, 669–673. [Google Scholar] [CrossRef]
- Xu, B.W.; Shi, H.S. Correlations among mechanical properties of steel fiber reinforced concrete. Constr. Build. Mater. 2009, 23, 3468–3474. [Google Scholar] [CrossRef]
- Sarker, P.K. Bond strength of reinforcing steel embedded in fly ash-based geopolymer concrete. Mater. Struct. 2011, 44, 1021–1030. [Google Scholar] [CrossRef]
- Ozalp, F.; Akkaya, Y.; Sengul, C.; Akcay, B.; Tasdemir, M.A.; Kocaturk, A.N. Curing Effects on Fracture of High Performance Cement Based Composites With Hybrid Steel Fibers. In Proceedings of the 6th International Conference on Fracture Mechanics of Concrete and Concrete Structures; Taylor & Francis, Ltd.: New York, NY, USA, 2007; pp. 17–22. [Google Scholar]
- Lin, T.; Jia, D.; He, P.; Wang, M.; Liang, D. Effects of fiber length on mechanical properties and fracture behavior of short carbon fiber reinforced geopolymer matrix composites. Mater. Sci. Eng. A 2008, 497, 181–185. [Google Scholar] [CrossRef]
- Barros, J.A.; Cunha, V.M.; Ribeiro, A.F.; Antunes, J.A. Post-cracking behaviour of steel fibre reinforced concrete. Mater. Struct. 2005, 38, 47–56. [Google Scholar] [CrossRef]
- Rosenbusch, J.; Teutsch, M. Shear design with “σ-ε-Method”. In International RILEM Workshop on Test and Design Methods for Steelfibre Reinforced Concrete; Schnütgen, B., Vandewalle, L., Eds.; RILEM Publications SARL: Paris, France, 2003; pp. 105–117. [Google Scholar]
- Tada, H.; Paris, P.C.; Irwin, G.R. The Stress Analysis of Cracks Handbook; ASME press: New York, NY, USA, 2000. [Google Scholar]
- Dias, D.P.; Thaumaturgo, C. Fracture toughness of geopolymeric concretes reinforced with basalt fibers. Cem. Concr. Compos. 2005, 27, 49–54. [Google Scholar] [CrossRef]
- Nematollahi, B.; Sanjayan, J.; Shaikh, F.U.A. Comparative deflection hardening behavior of short fiber reinforced geopolymer composites. Constr. Build. Mater. 2014, 70, 54–64. [Google Scholar] [CrossRef]
- Kizilkanat, A.B.; Kabay, N.; Akyüncü, V.; Chowdhury, S.; Akça, A.H. Mechanical properties and fracture behavior of basalt and glass fiber reinforced concrete: An experimental study. Constr. Build. Mater. 2015, 100, 218–224. [Google Scholar] [CrossRef]
- Hillerborg, A.; Modéer, M.; Petersson, P.E. Analysis of crack formation and crack growth in concrete by means of fracture mechanics and finite elements. Cem. Concr. Res. 1976, 6, 773–781. [Google Scholar] [CrossRef]
- Kazemi, M.T.; Fazileh, F.; Ebrahiminezhad, M.A. Cohesive crack model and fracture energy of steel-fiber-reinforced-concrete notched cylindrical specimens. J. Mater. Civ. Eng. 2007, 19, 884–890. [Google Scholar] [CrossRef]
- Kang, S.T.; Lee, Y.; Park, Y.D.; Kim, J.K. Tensile fracture properties of an Ultra High Performance Fiber Reinforced Concrete (UHPFRC) with steel fiber. Compos. Struct. 2010, 92, 61–71. [Google Scholar] [CrossRef]
- Park, K.; Paulino, G.H.; Roesler, J. Cohesive fracture model for functionally graded fiber reinforced concrete. Cem. Concr. Res. 2010, 40, 956–965. [Google Scholar] [CrossRef]
- Roelfstra, P.E.; Wittmann, F.H. Numerical method to link strain softening with failure of concrete. In Fracture Toughness and Fracture energy of Concrete; Wittmann, F.H., Ed.; Elsevier Science Publishers: New York, NY, USA, 1986; pp. 163–175. [Google Scholar]
- Yu, K.; Yu, J.; Lu, Z. Determination of the softening curve and fracture toughness of high-strength concrete exposed to high temperature. Eng. Fract. Mech. 2015, 149, 156–169. [Google Scholar] [CrossRef]
- Yu, K.Q.; Yu, J.; Lu, Z. Fracture properties of high-strength/high-performance concrete (HSC/HPC) exposed to high temperature. Mater. Struct. 2016, 49, 4517–4532. [Google Scholar] [CrossRef]
- Villmann, B.; Villmann, T.; Slowik, V. Determination of softening curves by backward analyses of experiments and optimization using an evolutionary algorithm. In Proceedings of the 5th International Conference on Fracture Mechanics of Concrete and Concrete Structures; FRAMCOS: Vail, CO, USA, 2004; pp. 439–445. [Google Scholar]
- Slowik, V.; Villmann, B.; Bretschneider, N.; Villmann, T. Computational aspects of inverse analyses for determining softening curves of concrete. Comput. Methods Appl. Mech. Eng. 2006, 195, 7223–7236. [Google Scholar] [CrossRef]














| Chemical Content (% by weight) | CaO | Al2O3 | SiO2 | SO3 | P2O5 | MgO | Na2O | K2O | TiO2 |
| 33.3 | 16.9 | 33.4 | 2.35 | 3.77 | 7.0 | 2.0 | 0.16 | 0.61 |
| Fiber Properties | Length (mm) | Diameter (μm) | Aspect Ratio | Tensile Strength (MPa) | Elastic Modulus (GPa) | Fiber Configuration![]() |
| 13 | 212 | 60 | 2850 | 210 |
| Mix Type | n (%) | Ms | Slag kg/m3 | Fine Aggregate kg/m3 | Coarse Aggregate kg/m3 | Water kg/m3 | Alkali Activator | w/b | Sand Ratio | |
|---|---|---|---|---|---|---|---|---|---|---|
| Sodium Silicate Solution kg/m3 | Sodium Hydroxide kg/m3 | |||||||||
| SGC | 4.5 | 2.0 | 420 | 694 | 1041 | 117 | 117 | 11 | 0.45 | 0.40 |
| SGM | 5.0 | 1.5 | 783 | 1174 | - | 254 | 182 | 30 | 0.44 | - |
| Mortar/Concrete | Vf (%) | fc (MPa) | Relative fc (%) | fst (MPa) | Relative fst (%) |
|---|---|---|---|---|---|
| SGM | - | 69.2 ± 3.7 | 100 | 5.03 ± 1.7 | 100 |
| SGM-SF1.0 | 1.0 | 78.0 ± 2.3 | 113 | 9.34 ± 1.1 | 186 |
| SGM-SF1.5 | 1.5 | 78.2 ± 4.5 | 113 | 10.8 ± 0.7 | 215 |
| SGM-SF2.0 | 2.0 | 84.6 ± 3.5 | 122 | 13.1 ± 1.3 | 261 |
| SGC | - | 69.9 ± 2.1 | 100 | 6.06 ± 0.9 | 100 |
| SGC-SF1.0 | 1.0 | 81.1 ± 5.6 | 116 | 7.47 ± 1.6 | 123 |
| SGC-SF1.5 | 1.5 | 85.6 ± 4.9 | 122 | 8.37 ± 0.6 | 138 |
| SGC-SF2.0 | 2.0 | 78.9 ± 4.2 | 113 | 8.06 ± 1.4 | 133 |
| Fracture Energy, GF (N/m) | SGM | SGM-SF1.0 | SGM-SF1.5 | SGM-SF2.0 |
| 97.4 | 994.9 | 2472.0 | 4750.8 | |
| 91.2 | 1368.2 | 2452.6 | 3542.2 | |
| 101.9 | 1341.3 | 2938.9 | 4585.3 | |
| 77.1 | 1148.1 | 2518.6 | 3873.6 | |
| Average GF (N/m) | 91.9 | 1213.1 | 2595.5 | 4188.0 |
| K* | 1 | 13.2 | 28.2 | 45.9 |
| Fracture Energy, GF (N/m) | SGC | SGC-SF1.0 | SGC-SF1.5 | SGC-SF2.0 |
| 207.4 | 4884.5 | 6626.3 | 6203.8 | |
| 203.0 | 3717.3 | 4874.0 | 5037.4 | |
| 213.6 | 4102.0 | 5626.6 | 5048.0 | |
| 207.4 | 3996.8 | 6373.9 | 5731.3 | |
| Average GF (N/m) | 207.9 | 4175.1 | 5875.2 | 5505. 1 |
| K* | 1 | 20.1 | 28.2 | 26.5 |
| Content | ff,L (MPa) | feq,2 (MPa) | feq,3 (MPa) | fR,1 (MPa) | fR,4 (MPa) |
|---|---|---|---|---|---|
| SGC-SF1.0 | 4.69 | 7.81 | 6.71 | 6.88 | 5.00 |
| SGC-SF1.5 | 5.55 | 9.22 | 8.76 | 8.35 | 7.13 |
| SGC-SF2.0 | 4.66 | 8.18 | 7.86 | 7.51 | 6.64 |
| SGM-SF1.0 | 1.23 | 3.27 | 2.29 | 2.50 | 1.49 |
| SGM-SF1.5 | 2.55 | 5.50 | 4.44 | 4.79 | 3.04 |
| SGM-SF2.0 | 4.23 | 6.76 | 6.07 | 6.29 | 4.83 |
| Mortar | KIC (MPa·m1/2) | FT | Concrete | KIC (MPa·m1/2) | FT |
|---|---|---|---|---|---|
| SGM | 1.01 | 1.00 | SGC | 1.71 | 1.00 |
| SGM-SF1.0 | 1.35 | 1.34 | SGC-SF1.0 | 4.79 | 2.80 |
| SGM-SF1.5 | 2.03 | 2.01 | SGC-SF1.5 | 5.92 | 3.46 |
| SGM-SF2.0 | 4.29 | 4.25 | SGC-SF2.0 | 5.24 | 3.06 |
| Mortar/Concrete | ft | ω0 | f1 | ω1 | f2 | ω2 |
|---|---|---|---|---|---|---|
| SGC-SF1.0% | 7.47 | 5.20 | 3.57 | 0.008 | 0.448 | 2.01 |
| SGC-SF1.5% | 8.37 | 16.47 | 4.36 | 0.006 | 0.134 | 2.88 |
| SGC-SF2.0% | 8.06 | 9.95 | 4.09 | 0.001 | 0.231 | 2.90 |
| SGM-SF1.0% | 9.34 | 10.05 | 1.12 | 0.008 | 0.109 | 2.01 |
| SGM-SF1.5% | 10.82 | 9.36 | 2.25 | 0.006 | 0.106 | 2.37 |
| SGM-SF2.0% | 13.14 | 9.08 | 3.04 | 0.001 | 0.128 | 2.82 |
© 2018 by the authors. Licensee MDPI, Basel, Switzerland. This article is an open access article distributed under the terms and conditions of the Creative Commons Attribution (CC BY) license (http://creativecommons.org/licenses/by/4.0/).
Share and Cite
Ding, Y.; Bai, Y.-L. Fracture Properties and Softening Curves of Steel Fiber-Reinforced Slag-Based Geopolymer Mortar and Concrete. Materials 2018, 11, 1445. https://doi.org/10.3390/ma11081445
Ding Y, Bai Y-L. Fracture Properties and Softening Curves of Steel Fiber-Reinforced Slag-Based Geopolymer Mortar and Concrete. Materials. 2018; 11(8):1445. https://doi.org/10.3390/ma11081445
Chicago/Turabian StyleDing, Yao, and Yu-Lei Bai. 2018. "Fracture Properties and Softening Curves of Steel Fiber-Reinforced Slag-Based Geopolymer Mortar and Concrete" Materials 11, no. 8: 1445. https://doi.org/10.3390/ma11081445
APA StyleDing, Y., & Bai, Y.-L. (2018). Fracture Properties and Softening Curves of Steel Fiber-Reinforced Slag-Based Geopolymer Mortar and Concrete. Materials, 11(8), 1445. https://doi.org/10.3390/ma11081445

